Home / Publications / Monocarbonyl synthetic curcumin analogues with antitumour potential. Chemical and biological aspects

Monocarbonyl synthetic curcumin analogues with antitumour potential. Chemical and biological aspects

Share
Cite this
GOST
 | 
Cite this
GOST Copy
Neganova M. E. et al. [{"id":"QX-G2Eafvb","type":"paragraph","data":{"text":"Monocarbonyl synthetic curcumin analogues with antitumour potential. Chemical and biological aspects"}}] // Russian Chemical Reviews. 2025. Vol. 94. No. 10. RCR5189
GOST all authors (up to 50) Copy
Neganova M. E., Aleksandrova Y. R., Yudaev P. A., Brel V. K. [{"id":"QX-G2Eafvb","type":"paragraph","data":{"text":"Monocarbonyl synthetic curcumin analogues with antitumour potential. Chemical and biological aspects"}}] // Russian Chemical Reviews. 2025. Vol. 94. No. 10. RCR5189
RIS
 | 
Cite this
RIS Copy
TY - JOUR
DO - 10.59761/RCR5189
UR - https://rcr.colab.ws/publications/10.59761/RCR5189
TI - [{"id":"QX-G2Eafvb","type":"paragraph","data":{"text":"Monocarbonyl synthetic curcumin analogues with antitumour potential. Chemical and biological aspects"}}]
T2 - Russian Chemical Reviews
AU - Neganova, Margarita E.
AU - Aleksandrova, Yulia R.
AU - Yudaev, Pavel A.
AU - Brel, Valery K.
PY - 2025
DA - 2025/10/20
PB - ANO Editorial Board of the journal Uspekhi Khimii
SP - RCR5189
IS - 10
VL - 94
ER -
BibTex
 | 
Cite this
BibTex (up to 50 authors) Copy
@article{2025_Neganova,
author = {Margarita E. Neganova and Yulia R. Aleksandrova and Pavel A. Yudaev and Valery K. Brel},
title = {[{"id":"QX-G2Eafvb","type":"paragraph","data":{"text":"Monocarbonyl synthetic curcumin analogues with antitumour potential. Chemical and biological aspects"}}]},
journal = {Russian Chemical Reviews},
year = {2025},
volume = {94},
publisher = {ANO Editorial Board of the journal Uspekhi Khimii},
month = {Oct},
url = {https://rcr.colab.ws/publications/10.59761/RCR5189},
number = {10},
doi = {10.59761/RCR5189}
}
MLA
Cite this
MLA Copy
Neganova, Margarita E., et al. “[{"id":"QX-G2Eafvb","type":"paragraph","data":{"text":"Monocarbonyl synthetic curcumin analogues with antitumour potential. Chemical and biological aspects"}}].” Russian Chemical Reviews, vol. 94, no. 10, Oct. 2025, p. RCR5189. https://rcr.colab.ws/publications/10.59761/RCR5189.
Publication views
13

Keywords

antitumour agents
curcumin
curcuminoids
drug candidates
molecular targets
monocarbonyl analogues of curcumin
oncology

Abstract

The antitumour activity of curcumin has been studied in detail, but this natural compound has not found application in oncology due to its unacceptable pharmacological properties. Currently, monocarbonyl analogues of curcumin, particularly C5-curcuminoids, are considered the most promising for cancer therapy due to their satisfactory pharmacokinetic profile. This review provides a critical analysis of recent literature on the synthesis of monocarbonyl analogues of curcumin and the study of their antitumour activity. Unlike previously published reviews, it examines not only the synthesis methods and chemical properties of these compounds but also the mechanisms of their biological action. The key molecular targets that promote angiogenesis, proliferation, and growth of malignant tumours and regulate glycolysis in neoplastic cells are discussed. The information provided in this review may be of interest to specialists in organic and medicinal chemistry, as well as biochemistry and pharmacology.

The bibliography includes 168 references.

1. Introduction

Curcumin (1,7-bis(4-hydroxy-3-methoxyphenyl)hepta-1,6-diene-3,5-dione), a secondary metabolite of plants of the genus Curcuma of the ginger family (Zingiberaceae), began to be used as a physiologically active compound as early as the 19th century. The first mentions of the isolation and identification of this compound were found in a report by Vogel,[1] dated 1815, after which an era of improving the methods of its extraction from the plants Curcuma longa L. and Curcuma domestica L.[2] began. For a long time, curcumin was used in non-traditional Eastern (Ayurvedic) medicine for the prevention and treatment of various diseases, such as rheumatoid arthritis and osteoarthritis.[3] And only starting in 1913, when Lampe and Milobedzka[4] pioneered the synthesis of curcumin in its pure form by a five-step procedure and confirmed its structure, did a detailed study of the biological properties of this compound begin (Fig. 1). At present, curcumin has become an attractive object for a wide range of researchers, and on its basis, via various chemical transformations, a diversity of drugs has been obtained for the treatment of various diseases, including oncological[5][6] and neurodegenerative (such as Alzheimer’s and Parkinson’s diseases),[7-9] as well as bacterial[10][11] and fungal [12][13] infections and other types of pathologies.

Fig. 1
Key events in the history of curcumin research

Curcumin, in particular, has been found to enhance neuronal signalling and synaptic plasticity by modulating the pathways such as NF-κB transcription factor and PI3K/Akt (PI3K is a phosphoinositide 3-kinase, Akt is a kinase), and to reduce neuroinflammation and oxidative stress, thereby promoting synaptic integrity.[8] This compound also exhibits antibacterial activity against Mycobacteroides abscessus bacteria and can be used in photodynamic therapy for tuberculosis as a photosensitizer.[11] The antifungal activity of curcumin against Candida albicans fungi with a minimum inhibitory concentration of 250 μg mL–1 is due to changes in the membrane-associated properties of ATPase activity, ergosterol biosynthesis, and proteinase secretion.[13]

Currently, curcumin is most often used in medicine both as an independent dietary supplement to boost immunity and fight bacteria and viruses, and in combination with other drugs for cancer therapy. For example, curcumin has an inhibitory effect on the colorectal cancer cell (cell line CT26) growth. The IC50* values for curcumin are 23.52, 16.11, and 13.62 μM after 24, 48, and 72 h, respectively.[14] An in vivo study in mice showed a reduction in tumour volume when exposed to a curcumin dose of 15 mg kg–1. In turn, a combination of curcumin with paclitaxel demonstrated a synergistic antitumour effect on the MDA-MB 231 cell line (breast cancer),[15]which is reflected in an increase in the proportion of dead cancer cells from 34% (for curcumin) to 52% (for the combination of curcumin with paclitaxel).

The antitumour potential of curcumin is realized mainly due to the manifestation of antioxidant and anti-inflammatory properties. This leads to the modulation of various oncogenic signalling pathways due to the effect on certain intracellular molecular targets (Fig. 2), in particular many transcription factors (ERG-1,[16] ERE,[17] STAT-1,[18] STAT-3,[19] STAT-4,[20] STAT-5,[21] Notch-1,[22] NF-κB,[23] PPAR-γ,[24] WTG-1,[25] β-catenin [26]), protein kinases (MAPK,[27] EGFR,[28] ERK,[29] IL-1 RAK,[30] PKA(B,C),[31] JNK,[32] IKK [33]), proteins (Mcl-1,[34] Bcl family,[35] AP-1,[36] c-myc,[37] cyclin D1,[38] cytochrome С,[39] PARP,[40] Bax,[41] caspases,[42] FADD),[43] growth factors (FGF,[44] VEGF,[45] TGF-β1,[46] TF,[47] CTGF,[48] EGF [49]), cytokines (prostaglandins,[50] TNF,[51] IFN,[52] interkeukins,[53] COX-2,[54] MCP-1,[55] MIP[56]) and receptors (HER-2,[57] CXCR4,[58] EGFR,[59] H2R,[60] IL-8R,[61] LDL-R,[62] ITPR[63]). Another mechanism of curcumin’s antitumour action involves epigenetic regulation of cancer cell growth and proliferation. This is due to the fact that a fragment of curcumin can act as a ‘capping’ group in the structure of enzyme inhibitors involved in the deacetylation of proteins responsible for packaging cancer cell DNA.[64] Some of the most effective strategies for correcting the disadvantages of curcumin that hinder its use in oncology (e.g., poor water solubility and rapid metabolism)[65] include the production of its derivatives through chemical modification and the synthesis of its structural analogues. Structural modification, namely the introduction of physiologically active functionalities into the molecule,[66] conjugation with other pharmacophores,[67] and the development of curcumin-like compounds,[68] determines the improvement of pharmacological properties and enhanced biological activity. Currently, the most relevant trend is the chemical modification of curcumin. Its primary goal is to develop candidate drugs for the cancer therapy, which will undoubtedly pave the way for fully exploiting the therapeutic potential of this natural compound.

Fig. 2
Molecular mechanisms of curcumin’s antitumour action. The following abbreviations are used: transcription factors: Bax is Bcl-2-associated X protein, COX-2 is cyclooxygenase 2, CTGF is connective tissue growth factor, CXCR4 is C – X – C – chemokine receptor type 4, EGF is epidermal growth factor, EGFR is epidermal growth factor receptor, ERE is estrogen response element, ERK is extracellular signal regulated kinase, FADD is Fas-associated protein with death domain, FGF is fibroblast growth factor, H2R is histamine H2 receptor, HER-2 is human epidermal growth factor receptor 2, IFN is interferon, IKK is IκB kinase, IL-1 RAK is interleukin-1 receptor-associated kinase, IL-8R is interleukin 8 receptor, ITPR is inositol 1,4,5-trisphosphate receptor, JNK is c-Jun N-terminal kinase, LDL-R is low-density lipoprotein receptor, MAPK is mitogen-activated protein kinase, MCP-1 is monocyte chemoattractant protein 1, MIP is macrophage inflammatory protein, PKA(B,C) is protein kinase A(B,C), PPAR-γ is Peroxisome proliferator-activated receptor gamma, STAT-1(3,4,5) is signal transducer and activator of transcription 1(3,4,5), TF is transcription factor, TGF-β1 is transforming growth factor beta 1, TNF is tumour necrosis factor, VEGF is vascular endothelial growth.

This review summarizes and analyzes data on the synthesis of curcuminoids, which are structural analogues of curcumin with a single carbonyl group between the arylidene moieties, and their therapeutic potential. Carbo- and heterocyclic derivatives are considered, including 3,5-bis(arylidene)-4-piperidones as the most promising class. These compounds have the potential to be effective treatments for various cancers, as evidenced by studies of their specific molecular mechanisms of action in the occurrence and development of these pathologies. Unlike previously published review articles on similar topics,[69][70] we present the results of modern research on both the chemical synthesis and biological properties of such derivatives. The Section on chemistry considers methods for the synthesis and most typical transformations of monocarbonyl analogues of curcumin. In the biological part, special attention is paid to the antitumour effect of curcuminoids, in particular 3,5-bis­(arylidene)-4-piperidones with pharmacophore substituents, against tumour cells of various morphologies. Systematization of material on the methods for the synthesis and biological properties of structurally diverse curcuminoids can form a basis for planning work carried out by specialists in organic and medicinal chemistry and pharmacology. Furthermore, the information presented in this review may be of interest to a wider audience.

* IC50 is the half-maximal inhibitory concentration. The lower its value, the more effective the substance is in terms of cytotoxic activity.

2. Chemistry of monocarbonyl analogues of curcumin

[]

2.1. Structure, properties and methods for the synthesis

Curcumin is a β-dicarbonyl compound with a seven-carbon chain (C7) between two benzene rings (shown in blue in Fig. 3), which exists in tautomeric equilibrium with its enol form in solution. Over time, all natural metabolites of curcumin (curcuminoids) were believed to contain the C7 chain.[71] However, in 2012, along with curcumin, its analogue, C5-curcumin, containing one carbonyl group between arylidene moieties,* was isolated from the plants Curcuma longa and Curcuma domestica.[72]

Fig. 3
Structures of natural curcumins and their monocarbonyl analogues — cyclic and heterocyclic C5-curcuminoids

As noted in the Introduction, a significant drawback of natural C7-curcumin is its poor solubility in water (0.0004 mg mL–1 at pH 7.3) [65] because of its hydrophobicity and, consequently, low bioavailability (serum levels are < 60 nM).[73] Moreover, in aqueous solutions with acidic to neutral pH (gastric and intestinal conditions, respectively), the equilibrium is strongly shifted towards the keto form, which leads to poor solubility of curcumin at room temperature.[73]

There are two approaches to improving the water solubility and bioavailability of curcumin. The first involves encapsulation of curcumin into liposomes, micro- and nanoemulsions, as well as polymer complexes with poly(N-vinylpyrrolidone) and polymer nanoparticles. Such nanoparticles can be prepared using amphiphilic copolymers of N-vinylpyrrolidone and acrylic acid [74][75] or modified copolymers of lactic and glycolic acids.[76] Encapsulation of curcumin in nanosized carriers allows obtaining dosage forms that are stable under physiological conditions, capable of targeted delivery and highly potent. The mechanisms of interaction between drug-loaded nanoparticles and tumour cells are well studied and include endocytosis or membrane fusion,[75] which allows the active substance to be delivered to the endosomes and nucleus of the tumour cell. Despite the high efficiency of loading curcumin into nanoscale carriers and, consequently, significant improvement in curcumin biocompatibility, this approach has its drawbacks. For example, the size and shape of nanocarriers affect their stability, and the encapsulation method depends on the hydrophilicity (hydrophobicity) of the active molecule and affects its controlled release. Furthermore, mention should be made of the preparative difficulties and high production costs associated with the synthesis of nanocarriers, as well as the potential residual toxicity of solvents or surfactants (for nanoemulsions) and the high cost of such dosage forms.

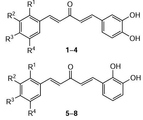
Another approach to circumventing the above-mentioned encapsulation issues is the use of synthetic curcumin analogues. In particular, biological studies of natural C5-curcumin and its monocarbonyl analogues (MACs) have shown that these compounds are highly soluble in water and possess cytostatic activity.[77] In particular, C5-curcuminoids 18 showed higher water solubility than natural curcumin (Table 1),[78] which is possibly due to the presence of polar hydroxy groups in the benzene rings. The cytostatic effect of MACs is associated with the presence of a conjugated dienone system in their structure, which acts as a pharmacophoric moiety. The plausible mechanism of the cytostatic action of MACs is their interaction with the sulfhydryl groups of thiols, in particular cysteine, in cancer cell receptors and in human topoisomerase IIα, an enzyme necessary for the proliferation and survival of cancer cells.[79] In turn, the amino groups in the nucleic acids of DNA of normal cells do not react with compounds of this class, which indicates the absence of genotoxicity.[80] This is a clear evidence of the advantage of MAC compared to commercial alkylating cytostatics, such as melphalan.

Table 1
\[ \]
Water solubility of curcumin and its analogues measured by the Dolai’s protocol.78
(1)
Structures 1 – 8

Another difference between MACs and curcumin is the higher stability of the former in the in vitro tests, which is associated with differences in their structure. The β-diketo group in the keto tautomer of natural C7-curcumin is a substrate for liver aldo-keto reductases, which likely contributes to its rapid metabolism in vivo. Due to the presence of a single carbonyl group, MAСs biodegrade much more slowly than C7-curcumin.[81] For example, the authors showed that after incubation in a 0.3% phosphate buffered sodium carboxy­methylcellulose solution at pH 7.4 for 75 h, >4% of curcumin and < 10% of derivatives 912 with a five-membered ring degraded.**

Structures 9 – 12

Synthetic acyclic and carbocyclic C5-analogues of curcumin have been tested for various biological activities. Table 2[82-88] gives examples of both types of MACs that have demonstrated significant antioxidant, anti-inflammatory, antibacterial, or antitumour activity.

Table 2
\[ \]
Biological activities of С5-curcuminoids
(2)

One of the first synthetic approaches to C5-curcuminoids, proposed[89] in 2009, was based on the oxidation of a secondary alcohol to a ketone followed by condensation with an aldehyde in toluene, catalyzed by the RhCl(PPh3)3 – BF3 · OEt2. As a result, dibenzylideneacetone (13) was obtained from isopropyl alcohol and benzaldehyde in 88% yield (Scheme 1). The authors showed that the reaction is extremely sensitive to the solvent used. For example, there is no reaction in tetrahydrofuran and acetonitrile, and in dichloromethane, the yield of product 13 drops to 52%.

Scheme 1

Despite the simplicity of the experiment and the high yield of the target product,[89] the expensive catalytic system significantly limits the laboratory and industrial application of this method. Acyclic and cyclic MACs are most often obtained through aldol/crotonic condensation involving aldehydes and ketones. Acetone serves as the ketone for the preparation of acyclic MACs 1320 (Scheme 2), while cyclic analogues 2136 are derived from cyclopentanone or cyclohexanone (Scheme 3, Scheme 4).[90-92] The catalyst in this reaction is NaOH, and the solvent is ethanol.

Scheme 2
Scheme 3
Scheme 4

In the study,[93] C5-curcuminoids 15, 16, and 20 were synthesized by condensing acetone with a substituted aldehyde, taken in a 1 : 2 molar ratio, also in the presence of NaOH in EtOH (Scheme 5). The yields of the reaction products ranged from 93% to 96%, with the highest yield observed for compound 20.

Scheme 5

To obtain heterocyclic C5-curcuminoid 37, the authors [93] used thiophene-2-carboxaldehyde; the product yield was 92% (Scheme 6).

Scheme 6

To compare the properties of chalcones, compounds 38 – 41 were prepared, which can be considered as unsymmetrical curcuminoids. In this case, an unsymmetrical ketone, such as acetophenone, was used in the reaction as a substrate in an equimolar ratio to the aldehyde (Scheme 7).[93]

Scheme 7

In recent years, particular attention has been paid to heterocyclic MACs based on piperidone. These compounds, unlike C5-curcuminoids and cyclic MACs, are promising basis for the design of cytostatic agents used in the treatment of malignant tumours. This is primarily due to the extensive potential for their structural modification, which can improve their pharmacokinetic parameters and enhance antitumour activity. In particular, modification of the nitrogen atom of the piperidone ring allows the introduction of amide, sulfonamide, nitroxide, and phosphonate groups into the molecule, which are part of many pharmaceutical preparations and are capable of certain interactions with the corresponding receptor.[94-96] For example, in the 1990s, N-acyl-3,5-bis(benzylidene)-4-piperidone (42) was shown to exhibit > 8 times higher cytotoxic activity against P388 leukemia cells compared to 3,5-bis(benzylidene)-4-piperidone (43),[97] its precursor without an acetyl group.

Structures 42, 43

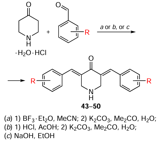
3,5-Bis(arylidene)-4-piperidones, which are cross-conjugated dienones, have found wide application in organic, organoelement and medicinal chemistry.[98] For example, compounds of this class have been used as precursors to new antiviral drugs, including those acting on drug targets of the SARS-CoV-2 coronavirus.[99] A promising trend is the study of the electro­chemical behaviour of 3,5-bis(arylidene)-4-piperidones, since it contributes to the understanding of electron transfer processes and the mechanism of pharmacological action of compounds of this class, as well as their possible use in biochemical sensors for neurotransmitters.[100]The synthesis of 3,5-bis(arylidene)-4-piperidones is based on the classical aldol/crotonic condensation of cyclic ketones with two equivalents of aromatic aldehydes. This condensation can be accomplished using 4-piperidone hydrochloride monohydrate and the corresponding aryl aldehyde (1 : 2 ratio) in acetic acid by bubbling dry gaseous HCl through the reaction mixture or by using strong bases and Lewis acids (Scheme 8). To isolate 3,5-bis(arylidene)-4-piperidones 4350 as free bases, the final step involves neutralizing the reaction mixture with a potassium carbonate solution in an acetone – water (5 : 1) mixture. The yields of these products and the conditions for their synthesis are presented in Table 3.[101-105]

Table 3
\[ \]
Reaction of 4-piperidone with benzaldehydes (see Scheme 8).101 – 105
(3)
Scheme 8

Although this method is quite in demand and widely used for the synthesis of 3,5-bis(arylidene)-4-piperidones, it has several limitations. First of all, it is not applicable to substrates containing labile groups, such as nitrile, phosphonate, and ester functionalities, or heterocyclic moieties (e.g., furanyl), in acidic or basic media. To address these limitations in the synthesis of compounds 4350, catalytic systems are used such as boron trifluoride etherate, MgBr2 Et2O – MeOH – Et3N (see[103]), iodotrimethylsilane,[106] ytterbium trifluoromethanesulfonate (triflate, OTf),[107]lithium perchlorate in the presence of amines,[108]as well as SmI3,[109] RuCl3 (see [110]) and FeCl3 (see [111]) salts in ionic liquids.

On the example of the condensation of 4-piperidone with p-fluorobenzaldehyde in the presence of Lewis acids and bases, Leonova et al.[103]showed that the use of Yb(OTf)3 or the MgBr2· Et2O – MeOH – Et3N catalytic system affords compound 47 in low yield (Scheme 9, Table 4). A solvent-free system based on lithium perchlorate and diethylamine also proved ineffective in this reaction, while BF3· Et2O in acetonitrile provided the target product 47 in high yield (84%).[103]

Table 4
\[ \]
Effect of the catalyst on the yield of product 47 (see Scheme 9).103
(4)
Scheme 9

Not only 4-piperidone, but also its derivative with the dioxolane-protected carbonyl group, 2,3-dioxa-8-azaspiro[4.5]­decane (51), can serve as a precursor for the synthesis of 3,5-bis(arylidene)-4-piperidones.[112]The reaction of this compound with 4-substituted benzaldehydes was carried out using BF3· OEt2 (4 equiv.) as the catalyst in dichloromethane or acetonitrile (Scheme 10). To convert the resulting tetrafluoroborate salts into free bases, the reaction mixture was treated with an aqueous solution of potassium carbonate in the final step. The yield of products 47, 52 – 54 decreased in the following order: 52 > 53 > 47 > 54. This fact indicates that the presence of electron-donating groups in the aromatic ring positively affects the yield of the target bis(arylidene)piperidone, unlike electron-withdrawing groups.[103][112]Thus, the yield of product 47 was as low as 55% after 14 h in boiling acetonitrile.

Scheme 10

The condensation of 4-piperidone with benzaldehydes can be carried out under 200 W min–1 pulsed microwave irradiation (MW) in an aqueous solution of potassium carbonate as a catalyst or in a solvent-free fashion in the presence of alumina-supported potassium fluoride.[113]The advantages of this synthetic approach to 3,5-bis(arylidene)-4-piperidones are the reaction rate (at most 10 min), high yields of the target products (> 90%), ease of their isolation, and eco-friendly conditions (absence of a solvent and acidic medium).[114]For example, 3,5-bis(arylidene)-4-piperidones 43, 45, 46, 48, 55, 56 were synthesized by microwave-assisted condensation of 4-piperidone with 4-substituted benzaldehydes within 10 min in yields exceeding 90% (Scheme 11).[114]

Scheme 11

It should be noted that the methods for producing 3,5-bis(arylidene)-4-piperidones using various catalytic systems are presented primarily in publications dated 2000 and earlier, while in studies from 2020 – 2025, such condensation processes are more often carried out in an acidic medium under microwave irradiation or ultrasonication. This is likely due to the unavailability and high cost of catalytic systems and low yields of the reaction products.

The next two Sections present the most popular chemical reactions for modifying 3,5-bis(arylidene)-4-piperidones. These are transformations involving the piperidine nitrogen atom, which can be roughly divided into two types: classical organic reactions and processes using click chemistry.

* Herein, this structural motif is designated as the C5 chain.

** Herein, the R group in an undefined position of the benzene ring can indicate a different number of substituents (from 1 to 5).

2.2. Classical organic reactions involving the 4-piperidone nitrogen atom

Conjugation of 3,5-bis(arylidene)-4-piperidones with two or more pharmacophoric moieties targeting multiple tumour cell signaling pathways can provide synergistic antitumour activity with a minimum number of side effects compared to single-target drugs. This Section discusses acylation and alkylation reactions that can be used to introduce a variety of substituents into the parent molecule.

The simplest method for modifying the nitrogen atom of piperidones is their acylation with carboxylic acid chlorides. The reaction run in the presence of triethylamine at room temperature in 1,2-dichloroethane (DCE) (Scheme 12).[115]In this way, products containing residues of saturated (butyric, dodecanoic, tetradecanoic, palmitic, stearic) and unsaturated (oleic) fatty acids at the nitrogen atom were derived from 3,5-bis(arylidene)-4-piperidones 43, 57 – 60. The yields of compounds 61 – 85 varied in the range of 19 – 89%.

Scheme 12

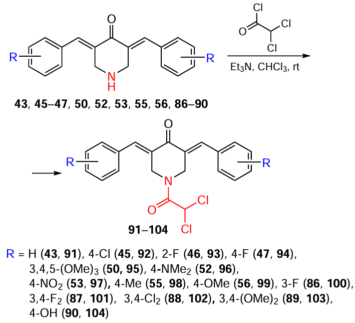
Dichloroacetyl chloride can be used as an acylating agent for NH-piperidone. In this case, the reaction is carried out in chloroform in the presence of triethylamine at room temperature (Scheme 13). As a result, bis(arylidene)-4-piperidones 43, 4547, 50, 52, 53, 55, 56, 8690 give rise to compounds 91104 containing a 2,2-dichloroacetyl moiety at the piperidine nitrogen atom in yields from 60 to 80%, depending on the nature of the substituent on the benzene ring.[116][117] Such products are highly soluble in water and 0.1 M phosphate buffer (at a concentration of 0.4 mg mL–1), making possible studies of their biodegradation in a simulator of the intestinal environment.

Scheme 13

N-Sulfonation of piperidones 50, 105 – 108 with sulfonyl chloride in dry tetrahydrofuran in the presence of triethylamine at 0°C gives N-arenesulfonyl-3,5-bis(arylidene)-4-piperidones 109 – 120 in 70 – 91% yields (Scheme 14).[118]

Scheme 14

To obtain piperidones containing quaternary ammonium groups in the N-acyl moiety, in the first step, piperidones were acylated with acryloyl chloride, then the corresponding intermediate products were treated with 4-piperidone oxime, followed by quaternization with methyl iodide (Scheme 15; the yields of the compounds in the last step are indicated).[119]As a result, salts 121 – 129 were obtained in good yields.

Scheme 15

121 – 129 met four of the five criteria (except molecular weight) of Lipinski’s rule,* which specifies the physicochemical properties required for acceptable oral bioavailability of drugs.[119]

Acylation of piperidone 47 with glutaric anhydride was carried out in the presence of triethylamine in dichloromethane at room temperature, and amides were obtained from intermediate 130 by condensing it with polyamines (diethylenetriamine and oligoamine 131) in dichloromethane (Scheme 16). In the former case, product 132 was obtained, and the use of oligoamine gave dendrimer 133.[120] The authors additionally used an ionic liquid, 2-(7-azabenzotriazol-1-yl)-N,N,N',N'-tetramethyluronium hexafluorophosphate (HATU), as a condensation catalyst, and N,N-diisopropylethylamine (DIPEA) served as a base. The yields of products 132 and 133 were 40 and 46%, respectively. When assessing the hydrophilicity of the amide-containing compounds, unusual results were obtained. The authors of the study [120] found that piperidones 132 and 133 are more hydrophilic (log Po/w from 1 to 3) than the intermediate piperidone 130 (log Po/w > 3). Consequently, these compounds will be more soluble in water and characterized by higher bioavailability.

Scheme 16

Piperidones bearing a hydrocarbon chain with terminal bisphosphonate groups at the nitrogen atom were obtained through a multistep transformation sequence. As the starting compound, the protected 4-piperidone 51 was used, which was first alkylated with 2-chloroethanol and then converted to the chloroethyl derivative 134. The key step was based on its reaction with tetraethyl ethylidenebisphosphonate, followed by crotonic condensation of intermediate 135 with aromatic aldehydes and pyridine-4-carbaldehyde (Scheme 17).[121]However, in this case, target products 136 – 139 were formed in low yields (£ 30%) due to hydrolysis of the ethoxy groups at the phosphorus atom.

Scheme 17

Despite the interest of researchers in classical methods of modifying piperidones, such methods are not without drawbacks, associated in some cases with multistep procedures, the need to remove excess reagent, or product loss due to its transition to the aqueous phase during the washing treatment, which reduces the yields.[120][121]

* The ‘rule of five’ formulated by Lipinski (see V.Ivanović, M.Rančić,B.Arsić, A.Pavlović. Pop. Sci. Art., 3 (1), 171 (2020)) includes the following parameters of the molecule: molecular weight ≤ 500, number of rotatable bonds ≤ 10, hydrogen bond acceptors ≤ 10, hydrogen bond donors ≤ 5 and partition coefficient in the octanol/water system (logPo/w) ≤ 4.15, which serves as a measure of the ratio of lipophilicity (solubility in fats) and hydrophilicity (solubility in water) of a substance.

2.3. Transformations based on ‘click’ chemistry methodology

In recent years, synthetic chemists have frequently used the ‘click’ methodology developed in 2001 by Sharpless.* This methodology is a set of highly efficient and selective reactions that rapidly connect molecular building blocks, usually carried out in an environmentally friendly solvent (or in the absence of one), and are characterized by stereospecificity and high product yield.[122]Click chemistry has become a powerful tool in organic and medicinal chemistry, enabling the easy, regio- and stereoselective production of potential medicinal agents, including cytostatics. The resulting 1,2,3-triazole ring is not simply a passive linker, but rather enhances the compound’s solubility in water and facilitates its binding to biological targets through hydrogen bonding and dipole-dipole interactions.[123]

The Huisgen reaction (a copper(I)-catalyzed 1,3-cycloaddition of azides to terminal alkynes) is widely used to synthesize MAC-based conjugates. This reaction produces 3,5-bis­(arylidene)-4-piperidone derivatives in relatively high yields, with the isolation and purification of the desired products being simple.

Unsymmetrical C5-curcuminoids with an aromatic moiety decorated with a triazole ring were synthesized via the reaction sequence shown in Scheme 18.[124]First, the aldol condensation of vanillin (140) with acetone was carried out at an equimolar ratio of reactants, then dehydrozingerone (141) was alkylated with propargyl bromide, and intermediate product 142 was condensed with anisaldehyde. The resulting unsymmetrical C5-curcuminoid 143 was then reacted with aryl azides. The yields of products 144 – 149 were 70 – 89%, depending on the nature of the substituent on the aromatic ring.

Scheme 18

A large number of 3,5-bis(arylidene)-4-piperidone derivatives have been described, in which the phosphate group is attached to the heterocycle via a 1,2,3-triazole spacer. Three approaches to such compounds are used. For example, the authors of the study [121] introduced a bisphosphonate moiety into the piperidone molecule via a click reaction (Scheme 19). For this purpose, azide 150 was first obtained, which was condensed with various aldehydes to give the corresponding bis(arylidene) derivatives. The latter were used as components for 1,3-cycloaddition to bis(phosphonate)-substituted alkyne 151. At this step, the yields of compounds 152155 were > 80%.

Scheme 19

The second approach involves N-alkylation of the appropriate 3,5-bis(arylidene)-4-piperidones with propargyl bromide and their subsequent [2 + 3] cycloaddition with phosphonate-containing azides. Products 156 – 165 were obtained in yields ranging from 20 – 83%, depending on the starting azide (Scheme 20).[125][126]

Scheme 20

The third approach is based on the initial alkylation of NH-piperidone with propargyl bromide. This is followed by cycloaddition of the corresponding azides to the terminal alkyne 166, and the final step is an aldol condensation involving 4-substituted benzaldehydes to afford products 156, 159, 160, 167 – 169 (Scheme 21).[125][127]

Scheme 21

It is difficult to give preference to any one of the above methods for the synthesis of 1,2,3-triazole-substituted piperidones in terms of the product yield.

It should be noted that compounds 156 – 165, 167 – 169 (Refs 125 – 127) easily form stable complexes with inorganic salts (CaCl2, NaCl, Na2SO4, MgSO4) due to the presence of a phosphoryl group and a triazole ring in the molecule. Therefore, when isolating individual compounds, the use of drying and salting-out agents should be avoided. To remove copper(I) ions from the reaction mixture, treatment with an aqueous ammonia solution,[128]a 0.1 M ethylenediaminetetraacetate solution,[129]reversed-phase chromatography [130]or elution through neutral alumina [131]is usually used, although none of these methods provide their complete elimination.

As a basis for the development of new antitumour drugs, the authors of the study [132]obtained a series of conjugates in which the pharmacophoric 3,5-bis(arylidene)-4-piperidone scaffold and a natural sesquiterpene lactone were linked via a triazole ring. For this purpose, an azide group was first introduced into the molecules of isoalantolactone (170), alantolactone (171), and dehydrocostuslactone (172). 2-Azidoethylamine was used as a reagent, which readily added to the activated exomethylene group of the lactones (Scheme 22).[132]The reaction proceeds at room temperature in ethanol to give azides 173 – 175 in high yields.

Scheme 22

Next, bis(arylidene)piperidones 176 – 178, containing a N-acetylene moiety, were added to these azides using copper(I) bromide and DIPEA as a catalytic system (Scheme 23).[132]

Scheme 23

The target hybrid compounds 179 – 187 were isolated (Table 5) by column chromatography and characterized by spectral methods.

Table 5
\[ \]
Conjugates of bis(arylidene)-4-piperidones with sesquiterpene lactones (see Schemes 22, 23).132
(5)

N-(1-Benzyltriazol-4-ylmethyl)-substituted piperidones were synthesized from piperidones 188 – 190 prepared in advance (Scheme 24).[133]The reaction with benzyl azides was carried out in the presence of copper(II) sulfate and sodium ascorbate. To remove excess benzyl azide, the product was washed several times with ethyl acetate and water. The yields of products 191 – 202 ranged from 70% to 85% and depended on the nature of the R1 and R2 substituents.

Scheme 24

The synthesis of thiocarbamate-substituted N-(triazol-4-yl)­bis(arylidene)piperidones from alkynes 203 – 205 by a similar method has also been reported.[133]The yields of products 206 – 217, which ranged from 70 – 89%, were affected by the nature of substituents on the benzene rings of both piperidone and azide (Scheme 25).

Scheme 25

Therefore, the chemistry of monocarbonyl analogues of curcumin, including 3,5-bis(arylidene)-4-piperidones, is a promising area of organic chemistry. Developed procedures for structural modification of 3,5-bis(arylidene)-4-piperidones provide the high yields of the target compounds. Furthermore, parameters such as the number of reaction steps, solubility in water, and reagent cost are of great importance for the future use of such derivatives in pharmacy practice. Among the known methods for the synthesis of 3,5-bis(arylidene)-4-piperidones, choosing the most efficient one is extremely difficult. Since such compounds are typically obtained and structurally modified for a specific purpose, such as improving their pharmacological profile or enhancing a specific type of activity, it is no sense to compare different synthetic approaches. However, it should be noted that the use of click chemistry methodology in the synthesis of effective hybrid molecules has a number of advantages, primarily associated with the introduction of a triazole ring into the structure, which serves not only as a connecting unit, but also as an additional pharmacophoric group capable of affecting the pharmacokinetic and pharmacodynamic characteristics of the system as a whole.

* See H.C.Kolb, M.G.Finn, K.B.Sharpless. Angew. Chem., Int. Ed., 40 (11), 2004 (2001).

3. Mechanisms of antitumour action of synthetic analogues of curcumin

This Section presents an analysis of the literature on the biological effects of MACs. Particular attention is given to the classification of molecular targets that serve as potential therapeutic targets for compounds designed for use as antitumour agents. Taking into account the specific pathogenesis of malignant tumours, the influence of MACs on two key processes of carcinogenesis, viz., angiogenesis and the growth and proliferation of neoplastic cells, is discussed.

3.1. Effect on angiogenesis

Studies investigating the effect of curcumin on angiogenesis were published as early as the first decade of the 21st century.[134][135] Like curcumin per se, its analogues also modulate key molecular pathways associated with the new blood vessel growth in tumours, limiting their blood supply.[136]For example, Subramaniam et al.[137]demonstrated the ability of 3,5-bis(2,4-difluorobenzylidene)-4-piperidone (218) to inhibit the formation of CD31-positive blood vessels in vivo in a mouse model of pancreatic cancer tumour xenografts. This effect is due to a decrease in the expression of VEGF and IL-8 proteins, which are potent promoters of the formation of new vessels that feed the tumour.[138]

Synthetic curcumin analogues 46 and 47 with the commercial codes EF-24 and H-4073, respectively, are among the curcuminoids with potential angiogenesis-inhibitory properties and the ability to suppress VEGF expression in cancer cells. For example, Kumar et al.[139]showed that piperidone 47 reduces VEGF levels by 36% in UM-SCC-74A head and neck tumour cells. Although there are no current data in the literature on the direct role of EF-24 and H-4073 in modulating tumour neovascularization, it can be assumed that, being effective inhibitors of VEGF,[140]as well as modulators of the NF-κB[141][142] and MAPK [143][144] signalling pathways, they are capable of inhibiting endothelial cell proliferation and migration. Consequently, this may lead to a decrease in tumour vascular density and a significant restriction of tumour blood supply, preventing their growth and metastasis.

Structures 46, 47, 218

Currently, the suppression of pathological angiogenesis using curcuminoids has received little attention, despite the potential of such research. A more in-depth understanding of the mechanisms of action and the active use of curcuminoids as inhibitors of pathological angiogenesis could play a significant role in boosting the effectiveness of treatment of cancer patients.

3.2. Effect on growth and proliferation of tumour cells

[]

3.2.1. Nuclear molecular targets

In the search for new antitumour agents, some of the most frequently studied nuclear molecular targets are topoiso­merases — enzymes that play an important role in processes associated with maintaining the correct structure of DNA in the cell.[145] In the last century, inhibition of topoisomerase II was established as the primary mechanism of action of the drugs amsacrine, etoposide, and doxorubicin, which are successfully used to treat malignant neoplasms.[146]In recent years, this trend has continued, and many new and already approved anticancer drugs target topoisomerases.[147-149] It has been found that inhibition of these enzymes is one of the mechanisms of cytotoxic action of a number of curcumin analogues.[115]

Fatty acids are known to be rapidly taken up by tumour cells and readily incorporated into the lipid bilayer of membranes, disrupting their fluidity and structure.[150]As demonstrated in Section 2, one promising avenue for modifying piperidones is their N-acylation. The introduction of essential fatty acid residues into the molecule increases its tumour-specificity compared to normal cells and enhances its ability to penetrate the extracellular membrane.[151]

Compounds 6185 (Ref.[115]), conjugates of piperidones and fatty acids with different hydrocarbon chain lengths (see Scheme 12 and Table 5), turned out to be potent catalytic inhibitors of topoisomerase IIα in vitro, along with the reference antitumour drug sorafenib.

Structures 61 – 85

The findings reported in the cited study [115]on the inhibitory activity of these compounds directly correlated with the presence of cytotoxicity against a panel of following tumour cell cultures: CEM (human T-lymphocytes), HeLa (human cervical cancer), and L1210 (murine lymphocytic leukemia). Acylated piperidones 70 – 74 containing a 4-pyridyl substituent (IC50 in the range of 0.8 – 14 μM) demonstrated the highest efficiency. At the same time, compounds 80 – 85 with an electron-donating furan ring showed low cytotoxicity (IC50 = 47 – 250 μM). The authors attribute this fact to a decrease in the electrophilicity of the piperidone acceptor system, which adversely affects their thiolating ability. In turn, products 61 – 85 showed low toxicity against normal human fibroblast WI-38 cells, which is an advantage of the drug.[115]

Piperidones 219 – 245, containing a maleic acid-based diamide moiety, were described.[152]These compounds demonstrated potent cytotoxicity against Molt 4/C8 and CEM human T lymphocytes, as well as against L1210 murine lymphocytic leukemia cells. The cytotoxic activity of these MACs exceeded that of curcumin and melphalan, as evidenced by lower IC50 values (Table 6). The authors confirmed that these compounds are effective inhibitors of topoisomerase IIα, which is considered to be the primary molecular target of their action.

Table 6
\[ \]
Cytotoxicity of bis(arylidene)piperidones 219 245 and reference compounds (IC50 , μМ).152
(6)
Structures 219 – 245

A significant inhibitory effect against DNA topoisomerase IIα was also demonstrated by carboxamide-substituted piperidones 246 – 273, obtained by Fawzy et al.[153]Most of the resulting compounds exhibited high cytotoxic activity against tumour cell lines such as HCT116 (human colon cancer), MCF-7 (breast ductal adenocarcinoma), and A431 (squamous cell carcinoma) (Table 7). The authors concluded that piperidones of this series containing electron-withdrawing groups (e.g., chlorine or fluorine atoms) in the benzene ring are more active than their analogues with electron-donating groups (methyl or methoxy).

Table 7
\[ \]
Cytotoxicity of bis(arylidene)piperidones 246 273 and curcumin (IC50, μМ).153
(7)

At the same time, the presence of a benzylidene moiety in the structure is preferable for activity compared to a heterocyclic (2-thienylidene) moiety, which should be taken into account when designing antitumour drugs. Furthermore, the cytotoxicity of piperidones 246 – 273 against the tumour lines studied was superior to that of curcumin.

Structures 246 – 273

Other important and no less popular targets for potential anticancer drugs include the following:

— poly(ADP-ribose) polymerase (PARP), an enzyme involved in various cellular processes, including DNA repair and cell cycle regulation;

— signal transducer and activator of transcription 3 (STAT3), a STAT family protein that mediates cellular responses to signals from interleukin receptors and tumour growth factors;

— the transcription factor NF-κB, which plays an important role in the cell cycle and apoptosis.

Modulators of these protein molecules are effectively used in combination cancer therapy for together with first-line drugs, such as cisplatin, since they have a different way of acting on the tumour cell, which allows for an enhanced positive effect of treatment.[154-156]

The enzymes listed above and the transcription factor NF-κB are also targets for synthetic analogues of curcumin. For example, it was shown[117] that bis(arylidene)piperidones 43 and 97 at concentrations < 1 μM cleave PARP, which contributed to the cytotoxic effect of these derivatives on Ca9-22, HSC-2, HSC-3, and HSC-4 oral squamous cell carcinoma cell lines. The IC50 values of these compounds were in the nanomolar range (Table 8) and were lower than those of the antitumour drug 5-fluorouracil, i.e., they are more potent.

Table 8
\[ \]
Cytotoxicity (IC50, μМ) and selectivity index (SI) of compounds 43, 97 and 5-fluorouracil.117
(8)
Structures 43, 97

It should be noted that compounds 43, 97 were less toxic to normal HGF (human gingival fibroblasts), HPLF (human periodontal ligament fibroblasts) and HPC (human pulp cells) cells compared to malignant cells and showed high selectivity index* values, which is an important factor in the development of antitumour drugs.

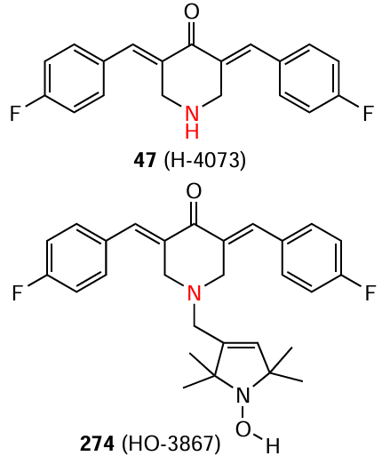
It was found that bis(arylidene)-4-piperidone 47 (H-4073) and its pyrroline-containing conjugate 274 (commercial code HO-3867) effectively inhibit phosphorylation of the activator STAT3.[157] Due to this, they exhibit targeted cytotoxicity against human pancreatic adenocarcinoma (AsPC-1) cells, causing cell cycle arrest in the G2/M phase and apoptosis. Compounds 47 and 274 at concentrations of 1.56 and 12.5 μM, respectively, led to > 60% cell death in the in vitro tests.

Structures 47, 274

Unusual results on STAT3 inhibition were obtained by Mao et al.[120] The authors Dimer 132 and tetramer 133 in which bis(arylidene)-4-piperidone moieties were connected by oligoaminoamide bridges were synthesized and studied as potential antitumour agents.

To study the STAT3 inhibition capacity, five cell lines (human colon adenocarcinoma SW480, bladder carcinoma T24, gastric cancer MGC-803, breast cancer MDA-MB-231, and human pancreatic adenocarcinoma MIA-PACA-2) were treated with compounds 132 and 133 at sequential gradient concentrations (1.5, 3, and 6 μM) for 24 h. The dimeric derivative 132 proved to be the most promising: it effectively inhibited STAT3 expression and thereby inhibited tumour cell growth in all five cell lines. Furthermore, the cytotoxic activity of compound 132 exceeded that of cisplatin (Table 9).

Table 9
\[ \]
Cytotoxicity of piperidones 132, 133 and cisplatin (IC50, μМ).120
(9)
Structures 132, 133

In vivo experiments using the SW480 xenograft model also confirmed the antitumour activity of dimer 132. Mao et al.[120]demonstrated a tumour mass reduction of more than 40% when animals were treated with this compound at a dose of 10 mg kg−1 and identified derivative 132 as an effective candidate for antitumour agents with a mechanism of action via STAT3 inhibition.

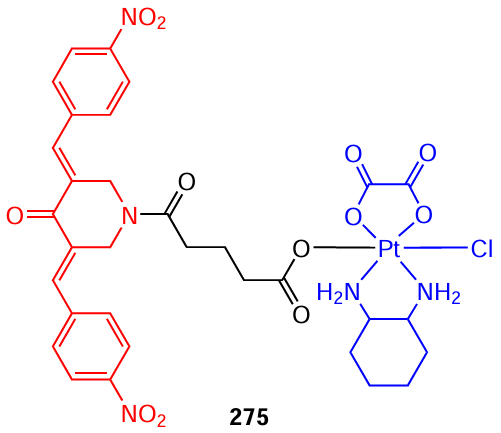
The same research group [158]synthesized an oxaliplatin derivative, a platinum(IV) complex 275 with a bis(arylidene)-4-piperidone moiety in one of the ligands. This system contains two pharmacophores and is capable of simultaneously acting on tumours by two different mechanisms, viz., STAT3 inhibition (piperidone) and DNA intercalation (platinum compound).

Structure 275

Complex 275 exhibited high antiproliferative activity against SW480 cells (human colon cancer) with IC50 = 12.79 μM.[158]The authors believe that it may have a chemoimmunotherapeutic effect by inhibiting the expression and phosphorylation of STAT3, thereby evoking CD4+ and CD8+ T lymphocyte immune responses, and inducing ferroptosis and apoptosis in tumour cells.

In conclusion of this Section, it is worth noting the aforementioned 3,5-bis(2-fluorobenzylidene)-4-piperidone (46, trade name EF-24). This compound has superior pharmacokinetic properties to curcumin, exhibits increased bioavailability, and displays antitumour and antiangiogenic activity while maintaining minimal toxicity to normal cells. Its high efficiency in inhibiting tumour cell growth is believed to be due to increased oxidative stress and inhibition of NF-kB, phosphoinositide 3-kinase, and the mitogen-activated protein kinase pathway, as well as regulation of HIF-1α expression (HIF-1α is a subunit of a heterodimeric transcription factor HIF-1).[159-161] Compound EF-24 has successfully passed preclinical trials and is planned for further studies as a new antitumour drug.[162]

* The selectivity index (SI) is the ratio of the IC50 value of a drug on normal cells to that on tumour cells.

3.2.2. Mitochondria-targeted molecular targets

For many years, mitochondria have firmly maintained their status as a key target for anticancer drugs.[163][164] This is due to the central role these organelles play in regulating cellular metabolism, energy synthesis, and initiating apoptosis[165] —processes that are essential for the survival of neoplastic cells. The properties of mitochondria provide unique opportunities for selectively targeting agents specifically to tumour cells. Therefore, mitochondria-targeted curcuminoids deserve special attention.

N-Dichloroacetyl-3,5-bis(arylidene)-4-piperidones 91 – 104 (see Scheme 13 ) are promising candidates for antitumour agents.[116]While highly toxic molecules toward the HCT116 tumour line with IC50 values in the nanomolar range (Table 10), most compounds (except for the dimethylamino derivative 96) were less toxic to the conditionally normal human colon cells CRL1790. When elucidating the mechanism of action of these compounds, the authors found that they are capable of reducing the potential of the mitochondrial membrane and leading to hyperproduction of reactive oxygen species in HCT116 cells, causing a therapeutic effect.

Table 10
\[ \]
Comparison of the effects of compounds 91 104 on tumour and normal cells.116
(10)
Structure 91 – 104

A similar mechanism of action has been described for unsymmetrical 3,5-bis(arylidene)-4-piperidones 276 – 287.[166]

Structures 276 – 287

These compounds exhibited potent cytotoxic activity against HCT116 and HT29 colon cancer cell lines, as well as oral squamous cell carcinoma Ca9-22, HSC-2, HSC-3, and HSC-4 (Table 11), which was attributed to their ability to induce mitochondrial membrane depolarization and subsequent cell death via apoptosis.

Table 11
\[ \]
Cytotoxicity (IC50, μМ) and selectivity index (SI) of compounds 277 287.166
(11)

It is worth emphasizing that, similar to the aforementioned dichloroacetyl derivatives 91104, compounds 277287 showed reduced toxicity to normal CRL1790 cells (see Table 11). This selectivity is likely related to a mechanism of action based on modulation of mitochondrial function in cancer cells. Mitochondria are known* to be actively involved in tumour cell survival under stressful conditions, including hypoxia and nutrient deficiency, making them particularly vulnerable to various factors. Apparently, this is why mitochondria-targeting molecules preferentially affect neoplastic cells, minimizing damage to the healthy microenvironment.

In 2021, Roayapalley et al.[119]obtained and characterized a series of quaternary ammonium salts 121 – 129 with a similar mechanism of action (see Scheme 15).

Structures 121 – 129

It has been established that apoptosis via the mitochondrial pathway is initiated primarily by various caspases. It was found[167] that N-dichloroacetyl-3,5-bis(3,4-dihalobenzylidene)-4-piperidones 101 and 102 exhibit cytotoxic activity in a wide panel of cell lines with IC50 values in the nanomolar range (Table 12). Tests were carried out on 12 cell lines: CEM T-lymphoblast cells, RAMOS B-lymphocytes, HL-60 promyelocytic leukemia, MDA-MB-231 breast adenocarcinoma, HT-29 and COLO 205 colorectal adenocarcinoma, PANC-1 pancreatic carcinoma, PC-3 prostate adenocarcinoma, and MM1S, MM1R, U266, and RPMI-8226 multiple myeloma. The authors found that the mechanism of toxic action of compounds 101 and 102 involves the activation of caspase 3 (or 7) and the induction of apoptosis.

Table 12
\[ \]
Cytotoxicity of compounds 101 and 102 (IC50, nM).167
(12)
Structures 101, 102

Mandalapu et al.[133]showed that bis(arylidene)piperidones, in which the 1-benzyltriazole ring is linked to the nitrogen atom by methylene (191 – 202) and thiocarbamate (206 – 217) bridges (see Scheme 24, Scheme 25 ), exhibit high cytotoxicity against tumour cells, in particular breast (MCF-7, MDA-MB-231, and 4T1) and prostate (PC-3, DU-145) adenocarcinomas. The level of activity depended largely on the nature of the substituent on the benzene ring of the piperidone.

Structures 191 – 202, 206 – 217

Compounds 191 and 206 (Table 13), containing methyl groups at the para-position of the benzene ring of piperidone and fluorine atoms at the ortho-position of the benzyl substituent, were shown to be the most effective against the studied cell lines. These compounds induced cell cycle arrest and mitochondrial apoptosis in these cell lines by modulating the expression levels of various signaling proteins, such as Akt, PCNA, Bax, and Bcl-2.[133]

Table 13
\[ \]
Cytotoxicity of compounds 191 and 206 (IC50, μМ).133
(13)

These results indicate the great therapeutic potential of curcuminoids modified to selectively target cancer cell mitochondria, which may lead to the development of highly potent antitumour drugs based thereon.

* See C.L.Kuo, A.Ponneri Babuharisankar, Y.C.Lin, H.W.Lien, Y.K.Lo, H.Y.Chou, A.Y.L.Lee. J. Biomed. Sci., 29(1), 74 (2022).

3.2.3. Biochemical processes and molecular targets of the cytoplasmic space

This Section discusses the effects of synthetic curcumin analogues on processes associated with tumour cell metabolism and cytoskeletal health. For many years, the authors of this review have focused on the search for promising antitumour agents among conjugates of piperidones and various pharmacophores. In particular, good results in terms of cytotoxicity were obtained for 3,5-bis(arylidene)-4-piperidones 179 – 187, modified with sesquiterpene lactones (see Scheme 23 ).[132]

Structures 179 – 187

The study of biological properties of conjugates 179 – 187 revealed that they exhibit a selective cytotoxic effect against tumour cells of the epithelial adenocarcinoma of the mammary gland MCF-7, neuroblastoma SH-SY5Y and IMR-32, and human cervical adenocarcinoma HeLa (IC50 values range from 5 μM for the most potent substances) due to the inhibitory effect on the process of glycolysis, the main metabolic pathway of neoplastic cells.[132]Using in silico molecular screening, the ability of these conjugates to bind to the allosteric centre of the glycolytic enzyme pyruvate kinase M2, thereby reprogramming the tumour’s metabolic state, was demonstrated. This mechanism of action for piperidone derivatives was found for the first time in this study, expanding the antitumour potential of this class of compounds and laying the foundation for further exploration of new monocarbonyl analogues of curcumin that effectively target key glycolytic enzymes in cells.

A number of conjugates 161 – 165, 288 – 293 containing bis(arylidene)piperidone, 1,2,3-triazole, and 2-ethoxy-2,5-dihydro-5H-1,2-oxaphosphole-2-oxide motifs showed higher cytotoxic activity compared to curcumin against three cell lines: cervical carcinoma HeLa, lung adenocarcinoma A549, and neuroblastoma SH-SY5Y (Table 14).[126]

Table 14
\[ \]
Cytotoxicity of compounds 161 165, 288 293 and curcumin (IC50, μМ).126
(14)
Structures 161 – 165, 288 – 293

Compounds 162, 163, 290 and 291, which contain a fluorine atom in the benzene ring, demonstrated the most favourable cytotoxic profile, confirming the important role of substituents in biological activity. It is suggested that the mechanism of cytotoxic action of these conjugates was also related to their ability to inhibit glycolysis in cancer cells.

N-Alkanesulfonyl-3,5-bis(arylidene)-4-piperidones 109120 (see Scheme 14 ) were shown to enhance the induction of the xenobiotic NAD(P)H-quinone dehydrogenase 1 (NQO1),* which metabolizes the cytosolic enzyme in murine hepatoma cells and stabilizes the apoptosis regulator p53.[118] Molecular docking studies, revealed hydrogen bonding between the sulfonyl oxygens of compounds 109120 with the arginine hydrogen atoms in NQO1, along with π-cationic interactions between the benzene ring and the guanidine group of this amino acid.

Structures 109 – 120

Another important cytoplasmic molecular target is tubulin, a building block protein for microtubules, which play a key role in the formation of the cytoskeleton and cell division. This makes tubulin a target for many anticancer drugs, as inhibiting its polymerization can stop tumour growth.[168]For example, Fawzy et al.[105] investigated the effect of bis(arylidene)piperidones 294, 295 at a concentration of 10 μM on tubulin polymerization in vitro. The authors found that diiodide 295 performed best in destabilizing microtubules compared to the positive control (vincristine). For compounds 294 and 295, the inhibition of tubulin polymerization in microtubules was ~25% and ~93%, respectively. Based on molecular docking data, the authors concluded that this is due to the presence of an iodine atom in the structure of compound 295, the size of which is ideal for binding to β-tubulin.

Structures 294, 295

To illustrate the above, Fig. 4 summarizes the data demonstrating the broad spectrum of effects of MAСs on tumour cell signalling pathways, metabolism, and cellular structures. All of these mechanisms underlie the therapeutic potential of these compounds and make them promising candidates for the development of new, effective antitumour agents. It should be noted that this classification of MACs based on their effects on molecular targets is rather arbitrary, as even structurally similar compounds can disrupt the regulation of various signalling pathways involved in carcinogenesis.

Fig. 4
Molecular mechanisms of antitumour action of MACs and examples of chemical structures presented in the review

* NAD(P)H-quinone dehydrogenase 1 is an enzyme that can reduce the level of reactive quinones responsible for oxidative stress and is located in the liquid part of the cell (cytosol).

4. Conclusion

To conclude, a review of the scientific literature shows that MACs are a promising class of compounds with diverse mechanisms of antitumour action that affect key signalling pathways, metabolic processes, and structural components of tumour cells (Fig. 5).

Fig. 5
Schematic representation of the diversity of monocarbonyl structural analogues of curcumin and their impact on the pathogenesis of cancer

The following nuclear targets acted upon by curcuminoids can be identified:

1) NF-κB, a key transcription factor regulating the expression of genes responsible for cell proliferation, survival, inflammation, and angiogenesis;

2) STAT3, a key regulator of cellular proliferation and immune response through signalling from cytokine and growth factor receptors;

3) topoisomerase IIα, an enzyme whose aberrant activity is an important determinant of tumour growth, metastasis, and resistance to therapy;

4) PARP is a receptor that plays a central role in DNA damage repair, initiating the repair of DNA breaks in tumour cells and promoting their survival.

Among the targets that promote angiogenesis, MACs influence HIF-1α, the key regulator of cellular adaptation to hypoxia, which stimulates angiogenesis by inducing VEGF, which determines the formation of new blood vessels. Furthermore, these compounds disrupt tumour cell energy metabolism by inhibiting key glycolytic enzymes and reducing anaerobic energy production. These processes lead to energy collapse in tumour cells and limit their ability to proliferate. At the same time, the targeted action of curcumin analogues on the mitochondria of transformed cells, through disruption of the transmembrane potential, provides tumour cell death via apoptosis. By disrupting the polymerization of tubulin within the microtubule structure, MACs cause destruction of the mitotic apparatus and block cell division, which facilitates the cessation of proliferation and the initiation of programmed cell death.

The active action of curcuminoids on the aforementioned targets ensures effective suppression of tumour cell proliferation, angiogenesis, and metastasis, as well as overcoming tumour resistance to treatment. Their unique selectivity for cancer cells and minimal toxicity to the normal microenvironment make these compounds attractive candidates for use in oncology pharmacology.

It should be noted that determining the most promising structural modification of MACs is difficult. Only two factors can be identified:

1. The presence of electron-withdrawing substituents on the benzene rings enhances the cytotoxic activity of 3,5-bis(arylidene)-4-piperidones against one cancer cell line compared to their analogues with electron-donating substituents. This effect is believed to be due to an increase in the partial positive charge on the carbon atom of the double bond, which, in turn, leads to increased reactivity of these derivatives when reacting with biogenic thiols involved in DNA repair in hypoxic tumour cells.

2. Piperidones containing amide, sulfonamide, phosphoryl and 1,2,3-triazole moieites at the nitrogen atom in some cases have higher cytotoxic activity compared to NH-piperidones due to additional centres for binding the substrate to the active centre of the enzymes.

Furthermore, a promising trend is the creation of hybrid molecular systems based on 3,5-bis(arylidene)-4-piperidones with two or more pharmacophoric moieties possessing cytotoxic properties. Such moieties could include, e.g., natural sesquiterpene lactones or metal complexes (platinum(IV), palladium(II), or copper(II)). In conclusion, it is important to emphasize that it is currently impossible to identify a single target for the antitumour action of curcuminoids, especially since it depends on the type of chemical modification aimed at a specific pathological process. Based on the data published in the modern literature, it can be concluded that the most frequently mentioned targets for which the effect of MACs has been proven are protein molecules involved in signalling pathways associated with apoptosis and proliferation of neoplastic cells. This is obviously explained by the fact that these two pathological processes have been most thoroughly studied in oncological diseases. However, further research will not only expand our understanding of the effects of these compounds on other tumorigenesis processes, such as angiogenesis and energy metabolism in cancer cells, but will also lead to the discovery of new promising therapeutic targets for the fight against cancer.

Acknowledgements

This review was written with the financial support of the Russian Science Foundation (Project No. 25-73-20033). The authors are also grateful to the Ministry of Science and Higher Education of the Russian Federation (State Task No. 075-00276-25-00) and Centre for Collective Use of INEOS RAS for the access to full-text versions of the cited publications.

5. List of abbreviations

The following abbreviations and designations are used in the review:

Asc — ascorbate,

Bax — Bcl-2-associated X protein,

COX-2 — cyclooxygenase 2,

CTGF — connective tissue growth factor,

CXCR4 — C – X – C – chemokine receptor type 4,

DCE — 1,2-dichloroethane,

DIPEA — N,N-diisopropylethylamine,

EGF — epidermal growth factor,

EGFR — epidermal growth factor receptor,

ERE — estrogen response element,

ERK — extracellular signal-regulated kinase,

FADD — Fas-associated protein with death domain,

FGF — fibroblast growth factor,

Fu — furyl,

H2R — histamine H2 receptor,

HATU — 2-(7-azabenzotriazol-1-yl)-N,N,N',N'-tetramethyl­uronium hexafluorophosphate,

HER-2 — human epidermal growth factor receptor 2,

IC50 — half-maximal inhibitory concentration,

IFN — interferon,

IKK — IκB кinase,

IL-1 RAK — interleukin-1 receptor-associated kinase,

IL-8R — interleukin 8 receptor 8,

ITPR — inositol 1,4,5-trisphosphate receptor,

JNK — c-Jun N-terminal kinase,

LDL-R — low-density lipoprotein receptor,

МАC — monocarbonyl analogues of curcumin,

MAPK — mitogen-activated protein kinase,

MCP-1 — monocyte chemoattractant protein 1,

MIP — macrophage inflammatory protein,

MW — microwave radiation,

NQO1 — NAD(P)H-quinone dehydrogenase 1,

PARP — poly(ADP-ribose) polymerase,

PI3K — phosphoinositide 3-kinase,

PKA(B,C) — protein kinase A(B,C),

PPAR-γ — peroxisome proliferator-activated receptor gamma,

Py — pyridyl,

rt — room temperature,

SI — selectivity index,

STAT-1(3,4,5) — signal transducer and activator of transcription 1(3,4,5),

TF — transcription factor,

TfO — trifluoromethanesulfonate (triflate),

TGF-β1 — transforming growth factor beta 1,

TMS — trimethylsilyl,

TNF — tumour necrosis factor,

VEGF — vascular endothelial growth.

References

1.
A.Vogel, J.Pelletier. J. Pharm., 1, 289 (1815)
2.
Green nanotechnology: nanoparticle synthesis using Curcuma amada , Curcuma caesia , Curcuma longa , and Curcuma zedoaria
Gangal A., Sethiya N.K., Duseja M., Shukla R.K., Bisht D., Rana V.S., Lalhlenmawia H., Azizov S., Kumar D.
Green Chemistry Letters and Reviews, Taylor & Francis, 2025
3.
Ayurvedic Medicine for Rheumatoid Arthritis
Basnyat S., Kolasinski S.L.
Current Rheumatology Reports, Springer Nature, 2014
4.
V.Lampe, J. Milobedzka. Ber. Dtsch. Chem. Ges., 46 (2), 2235 (1913)
5.
Anticancer perspectives of monocarbonyl analogs of curcumin: A decade (2014–2024) review
Nagargoje A.A., Deshmukh T.R., Shaikh M.H., Khedkar V.M., Shingate B.B.
Archiv der Pharmazie, Wiley, 2024
6.
The PI3K/Akt pathway: a target for curcumin’s therapeutic effects
Aliyari M., Ghoflchi S., Hashemy S.I., Hashemi S.F., Reihani A., Hosseini H.
Journal of Diabetes and Metabolic Disorders, Springer Nature, 2025
7.
Curcumin and neurodegenerative diseases: a perspective
Darvesh A.S., Carroll R.T., Bishayee A., Novotny N.A., Geldenhuys W.J., Van der Schyf C.J.
Expert Opinion on Investigational Drugs, Taylor & Francis, 2012
8.
Exploring the molecular mechanisms of curcumin in modulating memory impairment in neurodegenerative disorders
Baghcheghi Y., Razazpour F., Mirzaee F., Dalfardi M., Pourfridoni M., Hedayati-Moghadam M.
Molecular Biology Reports, Springer Nature, 2024
9.
The Effects of Fisetin and Curcumin on Oxidative Damage Caused by Transition Metals in Neurodegenerative Diseases
Bjørklund G., Oliinyk P., Khavrona O., Lozynska I., Lysiuk R., Darmohray R., Antonyak H., Dub N., Zayachuk V., Antoniv O., Rybak O., Peana M.
Molecular Neurobiology, Springer Nature, 2024
10.
Progress in dental materials: application of natural ingredients
Yudaev Pavel A., Chistyakov Evgeniy M.
Russian Chemical Reviews, Autonomous Non-profit Organization Editorial Board of the journal Uspekhi Khimii, 2024
12.
Antibiofilm Activity of Curcumin and Piperine and Their Synergistic Effects with Antifungals against Candida albicans Clinical Isolates
Tsopmene U.J., Tokam Kuaté C.R., Kayoka-Kabongo P.N., Bisso B.N., Metopa A., Mofor C.T., Dzoyem J.P.
Scientifica, Hindawi Limited, 2024
13.
Hybrid Nanoparticles Dual‐Loaded With Curcumin and Benzydamine Hydrochloride for the Treatment of Vulvovaginal Candidiasis: From Development to Biological Application In Vitro and In Vivo (Adv. Therap. 1/2025)
Carvalho G.C., Domingues M.N., Marena G.D., Mäkilä E., Li J., Geertsema‐Doornbusch G., de Andrade C.R., Stuart M.C., Shahbazi M., Corrêa I., Peterson B.W., Salonen J., Florindo H.F., Bauab T.M., Chorilli M., et. al.
Advanced Therapeutics, Wiley, 2025
14.
Curcumin exerts anti-tumor activity in colorectal cancer via gut microbiota-mediated CD8+ T Cell tumor infiltration and ferroptosis
Zhou H., Zhuang Y., Liang Y., Chen H., Qiu W., Xu H., Zhou H.
Food and Function, Royal Society of Chemistry (RSC), 2025
15.
Curcumin and Cancer
Giordano, Tommonaro
Nutrients, MDPI, 2019
16.
Suppression of Transcription Factor Egr-1 by Curcumin
Pendurthi U.R., Rao L.V.
Thrombosis Research, Elsevier, 2000
17.
Diarylheptanoid Phytoestrogens Isolated from the Medicinal Plant Curcuma comosa : Biologic Actions in Vitro and in Vivo Indicate Estrogen Receptor–Dependent Mechanisms
Winuthayanon W., Piyachaturawat P., Suksamrarn A., Ponglikitmongkol M., Arao Y., Hewitt S.C., Korach K.S.
Environmental Health Perspectives, Environmental Health Perspectives, 2009
18.
Curcumin inhibits interferon-γ signaling in colonic epithelial cells
Midura-Kiela M.T., Radhakrishnan V.M., Larmonier C.B., Laubitz D., Ghishan F.K., Kiela P.R.
American Journal of Physiology - Gastrointestinal and Liver Physiology, American Physiological Society, 2012
20.
The Role of STATs in Ovarian Cancer: Exploring Their Potential for Therapy
Standing D., Feess E., Kodiyalam S., Kuehn M., Hamel Z., Johnson J., Thomas S.M., Anant S.
Cancers, MDPI, 2023
21.
Signal Transducer and Activator of Transcription as a Potential Therapeutic Target in Breast Cancer
Deravi N., Rezaei N.
Interdisciplinary Cancer Research, Springer Nature, 2023
23.
Synthetic curcumin analog: inhibiting the invasion, angiogenesis, and metastasis in human laryngeal carcinoma cells via NF-kB pathway
Mohankumar K., Francis A.P., Pajaniradje S., Rajagopalan R.
Molecular Biology Reports, Springer Nature, 2021
24.
Curcumin promotes oligodendrocyte differentiation and their protection against TNF-α through the activation of the nuclear receptor PPAR-γ
Bernardo A., Plumitallo C., De Nuccio C., Visentin S., Minghetti L.
Scientific Reports, Springer Nature, 2021
25.
Wilms’ tumour gene 1 (WT1) as a target in curcumin treatment of pancreatic cancer cells
Glienke W., Maute L., Wicht J., Bergmann L.
European Journal of Cancer, Elsevier, 2009
26.
The inhibitory mechanism of curcumin and its derivative against β-catenin/Tcf signaling
Park C.H., Hahm E.R., Park S., Kim H., Yang C.H.
FEBS Letters, Wiley, 2005
27.
Relevance of mitogen activated protein kinase (MAPK) and phosphotidylinositol-3-kinase/protein kinase B (PI3K/PKB) pathways to induction of apoptosis by curcumin in breast cells
Squires M.S., Hudson E.A., Howells L., Sale S., Houghton C.E., Jones J.L., Fox L.H., Dickens M., Prigent S.A., Manson M.M.
Biochemical Pharmacology, Elsevier, 2003
29.
Roles of the Akt/mTOR/p70S6K and ERK1/2 Signaling Pathways in Curcumin-Induced Autophagy
Shinojima N., Yokoyama T., Kondo Y., Kondo S.
Autophagy, Taylor & Francis, 2007
31.
Antineoplastic Drug Leads from Plants and Microbes
Pournami P.K., Rasheed N., Raveendran A., Gopinath V.
Springer Nature, 2024
33.
Curcumin potentiates laryngeal squamous carcinoma radiosensitivity via NF-ΚB inhibition by suppressing IKKγ expression
Deng X., Geng S., Luo M., Chai J., Xu Y., Chen C., Qiu L., Ke Q., Duan Q., Song S., Shen L., Luo Z.
Journal of Receptor and Signal Transduction Research, Taylor & Francis, 2020
34.
Khazaei Koohpar Z., Entezari M., Movafagh A., Hashemi M.
Iranian Journal of Cancer Prevention, Brieflands, 2015
35.
Epigallocatechin gallate and curcumin inhibit Bcl-2: a pharmacophore and docking based approach against cancer
Bahadar N., Bahadar S., Sajid A., Wahid M., Ali G., Alghamdi A., Zada H., Khan T., Ullah S., Sun Q.
Breast Cancer Research, Springer Nature, 2024
36.
Curcumin analog, GO-Y078, induces HO-1 transactivation-mediated apoptotic cell death of oral cancer cells by triggering MAPK pathways and AP-1 DNA-binding activity
Chien M., Shih P., Ding Y., Chen L., Hsieh F., Tsai M., Li P., Lin C., Yang S.
Expert Opinion on Therapeutic Targets, Taylor & Francis, 2022
38.
Hosseini Sare, Chamani Jamshidkhan, Sinichi Mohadeseh, Bonakdar Amir Mohammad, Azad Zeinolabedin, Ahangari Najmeh, Rahimi Hamid Reza
Iranian Journal of Basic Medical Sciences
39.
Effects of curcumin on mitochondria in neurodegenerative diseases
Bagheri H., Ghasemi F., Barreto G.E., Rafiee R., Sathyapalan T., Sahebkar A.
BioFactors, Wiley, 2019
40.
Combination of talazoparib and olaparib enhanced the curcumin-mediated apoptosis in oral cancer cells by PARP-1 trapping
Chatterjee S., Dhal A.K., Paul S., Sinha S., Das B., Dash S.R., Kundu C.N.
Journal of Cancer Research and Clinical Oncology, Springer Nature, 2022
41.
J.Yang, J.Ning, L.Peng, D.He. Int. J. Clin. Exp. Pathol., 8 (8), 9272 (2015); ISSN:1936-2625/IJCEP0008163
42.
Curcumin promotes apoptosis of human melanoma cells by caspase 3
Manica D., Silva G.B., Silva A.P., Marafon F., Maciel S.F., Bagatini M.D., Moreno M.
Cell Biochemistry and Function, Wiley, 2023
43.
Curcumin induces apoptosis through caspase dependent pathway in human colon carcinoma cells
Yavuz Türel G., Şahin Calapoğlu N., Bayram D., Özgöçmen M., Toğay V.A., Evgen Tülüceoğlu E.
Molecular Biology Reports, Springer Nature, 2021
44.
Curcumin Reduces Hypoxia/Reperfusion Injury of Cardiomyocytes by Stimulating Vascular Endothelial Cells to Secrete FGF2
Cui J., Fan M., Wang Q.
Combinatorial Chemistry and High Throughput Screening, Bentham Science Publishers Ltd., 2024
45.
Zahedi Mohammad, Salmani Izadi Hanieh, Arghidash Faezeh, Gumpricht Eric, Banach Maciej, Sahebkar Amirhossein
Archives of Medical Science, Termedia Sp. z.o.o.
46.
A systems biology investigation of curcumin potency against TGF-β-induced EMT signaling in lung cancer
Kandagalla S., Sharath B.S., Sherapura A., Grishina M., Potemkin V., Lee J., Ramaswamy G., Prabhakar B.T., Hanumanthappa M.
3 Biotech, Springer Nature, 2022
47.
Integrated Transcriptome and Molecular Docking to Identify the Hub Superimposed Attenuation Targets of Curcumin in Breast Cancer Cells
49.
Receptor Tyrosine Kinases and Their Signaling Pathways as Therapeutic Targets of Curcumin in Cancer
Sudhesh Dev S., Zainal Abidin S.A., Farghadani R., Othman I., Naidu R.
Frontiers in Pharmacology, Frontiers Media S.A., 2021
50.
Curcumin: a bioactive compound with molecular targets for human malignancies
Shahbaz M., Imran M., Hussain M., Alsagaby S.A., Momal U., Naeem H., Abdelgawad M.A., El-Ghorab A.H., Al Abdulmonem W., Waqar A.B., Ghoneim M.M., Musa A., Al Jbawi E.
Food and Agricultural Immunology, Taylor & Francis, 2023
51.
Phytocompounds-based therapeutic approach: Investigating curcumin and green tea extracts on MCF-7 breast cancer cell line
Fawzy R.M., Abdel-Aziz A.A., Bassiouny K., Fayed A.M.
Journal of Genetic Engineering and Biotechnology, Elsevier, 2024
52.
Modulatory properties of curcumin in cancer: A narrative review on the role of interferons
Chamani S., Moossavi M., Naghizadeh A., Abbasifard M., Kesharwani P., Sathyapalan T., Sahebkar A.
Phytotherapy Research, Wiley, 2023
53.
Xu Lu, Wang Xian, Wang Xuan-Ying, Yao Qing-Hua, Chen Yin-Bo
Zhongguo Zhongyao Zazhi, Zhongguo Zhongyi Yanjiuyuan
55.
Decreased Systemic Monocyte Colony Protein-1 (MCP-1) Levels and Reduced sCD14 Levels in Curcumin-Treated Patients with Moderate Anxiety: A Pilot Study
Merino J.J., Parmigiani-Cabaña J.M., Parmigiani-Izquierdo J.M., Fernández-García R., Cabaña-Muñoz M.E.
Antioxidants, MDPI, 2024
56.
Curcumin and chemokines: mechanism of action and therapeutic potential in inflammatory diseases
Sadeghi M., Dehnavi S., Asadirad A., Xu S., Majeed M., Jamialahmadi T., Johnston T.P., Sahebkar A.
Inflammopharmacology, Springer Nature, 2023
57.
Demethoxycurcumin induces apoptosis in HER2 overexpressing bladder cancer cells through degradation of HER2 and inhibiting the PI3K /Akt pathway
Kao C., Cheng Y., Yang M., Cha T., Sun G., Ho C., Lin Y., Wang H., Wu S., Way T.
Environmental Toxicology, Wiley, 2021
59.
In vitro and in silico evaluation of EGFR targeting activities of curcumin and its derivatives
Liang Y., Zhao J., Zou H., Zhang J., Zhang T.
Food and Function, Royal Society of Chemistry (RSC), 2021
60.
International Journal of Green Pharmacy, BRNSS Publication Hub, 2017
61.
Molecular Mechanism of Curcumin and Its Analogs as Multifunctional Compounds against Pancreatic Cancer
Huang Q., Zhang Y., Zheng Y., Yang H., Yang Y., Mo Y., Li L., Zhang H.
Nutrition and Cancer, Taylor & Francis, 2022
62.
Curcumin as a potential candidate for treating hyperlipidemia: A review of cellular and metabolic mechanisms
Panahi Y., Ahmadi Y., Teymouri M., Johnston T.P., Sahebkar A.
Journal of Cellular Physiology, Wiley, 2017
63.
Targeting Glioblastoma Stem Cells to Overcome Chemoresistance: An Overview of Current Therapeutic Strategies
Kang H., Lee H., Kim D., Kim B., Kang J., Kim H.Y., Youn H., Youn B.
Biomedicines, MDPI, 2022
65.
V.Alinezhad, H.Alinezhad, R.Ataee, A.Ataie. Pharm. Biomed. Res., 3 (3), 1 (2017); http://pbr.mazums.ac.ir/article-1-178-en.html
66.
Curcumin – Bioavailability Enhancement by Prodrug Approach and Novel Formulations
Chelimela N., Alvala R.R., Satla S.R.
Chemistry and Biodiversity, Wiley, 2024
67.
A Review of Recent Curcumin Analogues and Their Antioxidant, Anti-Inflammatory, and Anticancer Activities
68.
Advances in β‐diketocyclisation of curcumin derivatives and their Antitumor Activity
Dai H., Zhang S., Zheng X., Luo Z., Chen H., Yao X.
Chemistry and Biodiversity, Wiley, 2024
69.
Synthesis and bio-properties of 4-piperidone containing compounds as curcumin mimics
Girgis A.S., D'Arcy P., Aboshouk D.R., Bekheit M.S.
RSC Advances, Royal Society of Chemistry (RSC), 2022
70.
The Role of Curcumin in Cancer Treatment
Zoi V., Galani V., Lianos G.D., Voulgaris S., Kyritsis A.P., Alexiou G.A.
Biomedicines, MDPI, 2021
71.
T.Masuda, A.Jitoe, J.Isobe, N.Nakatani, S.Yonemori. Phytochemistry, 32, 1557 (1993)
72.
Identification of antitumor constituents in curcuminoids from Curcuma longa L. based on the composition–activity relationship
Jiang J., Jin X., Zhang H., Su X., Qiao B., Yuan Y.
Journal of Pharmaceutical and Biomedical Analysis, Elsevier, 2012
73.
Methods to Improve the Solubility of Curcumin from Turmeric
Górnicka J., Mika M., Wróblewska O., Siudem P., Paradowska K.
Life, MDPI, 2023
75.
Toxicity Evaluation and Controlled-Release of Curcumin-Loaded Amphiphilic Poly-N-vinylpyrrolidone Nanoparticles: In Vitro and In Vivo Models
Luss A.L., Bagrov D.V., Yagolovich A.V., Kukovyakina E.V., Khan I.I., Pokrovsky V.S., Shestovskaya M.V., Gasparian M.E., Dolgikh D.A., Kuskov A.N.
Pharmaceutics, MDPI, 2023
76.
Effects of curcumin-loaded PLGA nanoparticles on the RG2 rat glioma model
Orunoğlu M., Kaffashi A., Pehlivan S.B., Şahin S., Söylemezoğlu F., Oğuz K.K., Mut M.
Materials Science and Engineering C, Elsevier, 2017
77.
Reversibility of the thia-Michael reaction of cytotoxic C5-curcuminoid and structure–activity relationship of bis-thiol-adducts thereof
Kohyama A., Fukuda M., Sugiyama S., Yamakoshi H., Kanoh N., Ishioka C., Shibata H., Iwabuchi Y.
Organic and Biomolecular Chemistry, Royal Society of Chemistry (RSC), 2016
78.
Design, synthesis, and evaluation of a water soluble C5-monoketone type curcumin analogue as a potent amyloid β aggregation inhibitor
Hotsumi M., Tajiri M., Nikaido Y., Sato T., Makabe K., Konno H.
Bioorganic and Medicinal Chemistry Letters, Elsevier, 2019
79.
DNA topoisomerase II, genotoxicity, and cancer
McClendon A.K., Osheroff N.
Mutation Research - Fundamental and Molecular Mechanisms of Mutagenesis, Elsevier, 2007
80.
ChemInform Abstract: Bioactivities of Chalcones
Dimmock J.R., Elias D.W., Beazely M.A., Kandepu N.M.
ChemInform, Wiley, 2010
81.
Exploration and synthesis of curcumin analogues with improved structural stability both in vitro and in vivo as cytotoxic agents
Liang G., Shao L., Wang Y., Zhao C., Chu Y., Xiao J., Zhao Y., Li X., Yang S.
Bioorganic and Medicinal Chemistry, Elsevier, 2009
82.
Synthesis and biological evaluation of allylated and prenylated mono-carbonyl analogs of curcumin as anti-inflammatory agents
Liu Z., Tang L., Zou P., Zhang Y., Wang Z., Fang Q., Jiang L., Chen G., Xu Z., Zhang H., Liang G.
European Journal of Medicinal Chemistry, Elsevier, 2014
83.
T.Budiati, A.Soewandi, L.Soegianto. J. Chem. Pharm. Res., 11 (9), 11 (2019); https://repositori.ukwms.ac.id/id/eprint/40951
84.
S.Manohar, A.Thakur, R.Bhatia, S.Walia, P.Ponnan, D.S.Rawat. Ind. J. Chem., 54 (10), 1235 (2015)
86.
Antioxidant, Antimicrobial, Cytotoxicity, and Larvicidal Activities of Selected Synthetic Bis-Chalcones
Kuttithodi A.M., Nikhitha D., Jacob J., Narayanankutty A., Mathews M., Olatunji O.J., Rajagopal R., Alfarhan A., Barcelo D.
Molecules, MDPI, 2022
87.
Abstract 5425: Potent curcumin analogue FLLL-22, but not natural curcumin, targets the DNA damage pathway for apoptosis in lung and head and neck cancer cells
Amin A.R., Lee M., Rahman M.A., Fuchs J.R., Chen Z.G., Shin D.M.
Cancer Research, American Association for Cancer Research (AACR), 2011
88.
Curcumin analogues with high activity for inhibiting human prostate cancer cell growth and androgen receptor activation
ZHOU D., DING N., DU Z., CUI X., WANG H., WEI X., CONNEY A.H., ZHANG K., ZHENG X.
Molecular Medicine Reports, Spandidos Publications, 2014
90.
(E)-1-(3-(3-Hydroxy-4-Methoxyphenyl)-1-(3,4,5-Trimethoxyphenyl)allyl)-1H-1,2,4-Triazole and Related Compounds: Their Synthesis and Biological Evaluation as Novel Antimitotic Agents Targeting Breast Cancer
Ana G., Malebari A.M., Noorani S., Fayne D., O’Boyle N.M., Zisterer D.M., Pimentel E.F., Endringer D.C., Meegan M.J.
Pharmaceuticals, MDPI, 2025
91.
Monocarbonyl Analogues of Curcumin with Potential to Treat Colorectal Cancer
Clariano M., Marques V., Vaz J., Awam S., Afonso M.B., Perry M.J., Rodrigues C.M.
Chemistry and Biodiversity, Wiley, 2023
92.
Monoketone Curcuminoids: An Updated Review of Their Synthesis and Biological Activities
Vieira T.M., Tanajura L.S., Heleno V.C., Magalhães L.G., Crotti A.E.
Future Pharmacology, MDPI, 2024
93.
Synthesis, characterization and antichagasic evaluation of thiosemicarbazones prepared from chalcones and dibenzalacetones
da Silva A.A., Maia P.I., Lopes C.D., de Albuquerque S., Valle M.S.
Journal of Molecular Structure, Elsevier, 2021
94.
Novel 3,5-bis(arylidene)-4-piperidone dimers: Potent cytotoxins against colon cancer cells
Das S., Das U., Michel D., Gorecki D.K., Dimmock J.R.
European Journal of Medicinal Chemistry, Elsevier, 2013
95.
Novel 3,5-bis(arylidiene)-4-piperidone based monocarbonyl analogs of curcumin: anticancer activity evaluation and mode of action study
Thakur A., Manohar S., Vélez Gerena C.E., Zayas B., Kumar V., Malhotra S.V., Rawat D.S.
MedChemComm, Royal Society of Chemistry (RSC), 2014
96.
Synthesis of N-Substituted 3,5-Bis(arylidene)-4-piperidones with High Antitumor and Antioxidant Activity
Kálai T., Kuppusamy M.L., Balog M., Selvendiran K., Rivera B.K., Kuppusamy P., Hideg K.
Journal of Medicinal Chemistry, American Chemical Society (ACS), 2011
97.
J.R.Dimmock, V.K.Arora, S.L.Wonko, N.W.Hamon, J.W.Quail, Z.Jia, R.C.Warrington, W.D.Fang, J.S.Lee. Drug Des. Deliv., 6, 183 (1990)
98.
Chemistry of cross-conjugated dienones
Vatsadze S.Z., Golikov A.G., Kriven'ko A.P., Zyk N.V.
Russian Chemical Reviews, Autonomous Non-profit Organization Editorial Board of the journal Uspekhi Khimii, 2008
100.
Study of the Electrochemical Behavior of N-Substituted-4-Piperidones Curcumin Analogs: A Combined Experimental and Theoretical Approach
Amalraj J., Vergara C.E., Monroy-Cárdenas M., Araya-Maturana R., Martínez-Cifuentes M.
International Journal of Molecular Sciences, MDPI, 2022
101.
Synthesis and structural determination of 3,5-bis(2-fluorobenzylidene)-4-piperidone analogs of curcumin
102.
Patent WO 2012021692 (2012)
103.
Lewis Acids as Mild and Effective Catalysts for the Synthesis of 3,5‐Bis[(hetero)arylidene]piperidin‐4‐ones
104.
Synthesis and anti-tumor activity of EF24 analogues as IKKβ inhibitors.
Jin R., Chen Q., Yao S., Bai E., Fu W., Wang L., Wang J., Du X., Wei T., Xu H., Jiang C., Qiu P., Wu J., Li W., Liang G., et. al.
European Journal of Medicinal Chemistry, Elsevier, 2018
105.
Newly Designed and Synthesized Curcumin Analogs within vitroCytotoxicity and Tubulin Polymerization Activity
Fawzy I.M., Youssef K.M., Ismail N.S., Gullbo J., Abouzid K.A.
Chemical Biology and Drug Design, Wiley, 2014
106.
Iodotrimethylsilane-Mediated Cross-Aldol Condensation: A Facile Synthesis of α,α′-Bis(substituted benzylidene)cycloalkanones
Sabitha G., Kumar Reddy G.S., Bhaska Reddy K., Yadav J.S.
Synthesis, Georg Thieme Verlag KG, 2004
107.
A Convenient Synthesis of α,α′-Bis(substituted benzylidene)cycloalkanones Catalyzed by Yb(OTf)3Under Solvent-Free Conditions
108.
A highly efficient method for solvent-free synthesis of bis(arylmethylidene)piperidinones
Saeed Abaee M., Mojtahedi M.M., Sharifi R., MehdiZahedi M.
Journal of Heterocyclic Chemistry, Wiley, 2007
109.
SmI3Catalyzed Condensation of Aliphatic Cycloketones and Aldehydes in Ionic Liquid
Zheng X., Zhang Y.
Synthetic Communications, Taylor & Francis, 2003
112.
Design, cytotoxic and fluorescent properties of novel N-phosphorylalkyl substituted E,E-3,5-bis(arylidene)piperid-4-ones
Makarov M.V., Rybalkina E.Y., Röschenthaler G., Short K.W., Timofeeva T.V., Odinets I.L.
European Journal of Medicinal Chemistry, Elsevier, 2009
113.
MICROWAVE ASSISTED SYNTHESIS OF α,α′-BIS(BENZYLIDENE)KETONES IN DRY MEDIA*
Yadav J.S., Reddy B.V., Nagaraju A., Sarma J.A.
Synthetic Communications, Taylor & Francis, 2002
115.
Investigation of fatty acid conjugates of 3,5-bisarylmethylene-4-piperidone derivatives as antitumor agents and human topoisomerase-IIα inhibitors
Potter E., Jha M., Bhullar K.S., Rupasinghe H.P., Balzarini J., Jha A.
Bioorganic and Medicinal Chemistry, Elsevier, 2015
116.
Novel hybrid molecules of 3,5-bis(benzylidene)-4-piperidones and dichloroacetic acid which demonstrate potent tumour-selective cytotoxicity
Hossain M., Das S., Das U., Doroudi A., Zhu J., Dimmock J.R.
Bioorganic and Medicinal Chemistry Letters, Elsevier, 2020
117.
Dichloroacetyl Amides of 3,5-Bis(benzylidene)-4-piperidones Displaying Greater Toxicity to Neoplasms than to Non-Malignant Cells
Hossain M., Roayapalley P.K., Sakagami H., Satoh K., Bandow K., Das U., Dimmock J.R.
Medicines, MDPI, 2022
118.
Curcumin mimics of potential chemoprevention with NQO1 induction properties
Aboshouk D.R., Hamed A.R., Panda S.S., Bekheit M.S., Youssef M.A., Girgis A.S.
Scientific Reports, Springer Nature, 2025
119.
Design, Synthesis and Tumour-Selective Toxicity of Novel 1-[3-{3,5-Bis(benzylidene)-4-oxo-1-piperidino}-3-oxopropyl]-4-piperidone Oximes and Related Quaternary Ammonium Salts
Roayapalley P.K., Dimmock J.R., Contreras L., Balderrama K.S., Aguilera R.J., Sakagami H., Amano S., Sharma R.K., Das U.
Molecules, MDPI, 2021
120.
Synthesis and pharmacological evaluation of polyamine-diarylidenyl piperidone derivatives as potent antitumor agents
Mao Z., Liu S., Chen X., Wei J., Huang R., Zhang Y.
Monatshefte fur Chemie, Springer Nature, 2024
121.
3,5-Bis(Arylidene)-4-Piperidones Modified by Bisphosphonate Groups as Novel Anticancer Agents
Makarov M.V., Rybalkina E.Y., Brel V.K.
Phosphorus, Sulfur and Silicon and the Related Elements, Taylor & Francis, 2015
122.
Click Chemistry: 1,2,3-Triazoles as Pharmacophores
Agalave S.G., Maujan S.R., Pore V.S.
Chemistry - An Asian Journal, Wiley, 2011
123.
Medicinal attributes of 1,2,3-triazoles: Current developments
Dheer D., Singh V., Shankar R.
Bioorganic Chemistry, Elsevier, 2017
124.
Dual Antioxidant and Cytotoxic Activities of Novel 1,2,3-Triazole-Decorated Unsymmetrical Monocarbonyl Curcumin Analogues
Ardiansah B., Farhan A., Nurhasanah N.S., Fardiansyah Nasution M.A., Salleh N.M., Mizuguchi K., Cahyana A.H., Mardiana L.
Case Studies in Chemical and Environmental Engineering, Elsevier, 2025
125.
Synthetic Approaches to Cytotoxic Amidophosphates, Aminophosphonates, and Aminobisphosphonates with 3,5-Bis(arylidene)piperid-4-one Framework
Makarov M.V., Leonova E.S., Matveeva E.V., Rybalkina E.Y., Röschenthaler G., Timofeeva T.V., Odinets I.L.
Phosphorus, Sulfur and Silicon and the Related Elements, Taylor & Francis, 2011
126.
Synthesis and biological testing of 3,5-bis(arylidene)-4-piperidone conjugates with 2,5-dihydro-5H-1,2-oxaphospholenes
Neganova M.E., Aleksandrova Y.R., Nikolaeva N.S., Brel V.K.
Bioorganic and Medicinal Chemistry Letters, Elsevier, 2022
127.
Modification of 3,5-bis(arylidene)-4-piperidone pharmacophore by phosphonate group using 1,2,3-triazole cycle as a linker for the synthesis of new cytostatics
128.
Synthesis of functionalized α-CF3-α-aminophosphonates via Cu(I)-catalyzed 1,3-dipolar cycloaddition
Vorobyeva D.V., Karimova N.M., Vasilyeva T.P., Osipov S.N., Shchetnikov G.T., Odinets I.L., Röschenthaler G.
Journal of Fluorine Chemistry, Elsevier, 2010
129.
Removal of Copper(II) Chelates of EDTA and NTA from Dilute Aqueous Solutions by Membrane Filtration
Juang R., Chen M.
Industrial & Engineering Chemistry Research, American Chemical Society (ACS), 1997
130.
Coupling Ion Exchange and Biosorption for Copper(II) Removal From Wastewaters
Górka A., Zamorska J., Antos D.
Industrial & Engineering Chemistry Research, American Chemical Society (ACS), 2011
131.
A Simple and Efficient Synthesis of RAFT Chain Transfer Agents via Atom Transfer Radical Addition−Fragmentation
Kwak Y., Nicolaÿ R., Matyjaszewski K.
Macromolecules, American Chemical Society (ACS), 2009
132.
Conjugates of 3,5-Bis(arylidene)-4-piperidone and Sesquiterpene Lactones Have an Antitumor Effect via Resetting the Metabolic Phenotype of Cancer Cells
Neganova M.E., Aleksandrova Y.R., Sharova E.V., Smirnova E.V., Artyushin O.I., Nikolaeva N.S., Semakov A.V., Schagina I.A., Akylbekov N., Kurmanbayev R., Orynbekov D., Brel V.K.
Molecules, MDPI, 2024
133.
Synthesis and biological evaluation of some novel triazole hybrids of curcumin mimics and their selective anticancer activity against breast and prostate cancer cell lines
Mandalapu D., Saini K.S., Gupta S., Sharma V., Yaseen Malik M., Chaturvedi S., Bala V., Hamidullah, Thakur S., Maikhuri J.P., Wahajuddin M., Konwar R., Gupta G., Sharma V.L.
Bioorganic and Medicinal Chemistry Letters, Elsevier, 2016
134.
Molecular mechanisms of anti-angiogenic effect of curcumin
Gururaj A.E., Belakavadi M., Venkatesh D.A., Marmé D., Salimath B.P.
Biochemical and Biophysical Research Communications, Elsevier, 2002
136.
Monocarbonyl curcumin analog A2 potently inhibits angiogenesis by inducing ROS-dependent endothelial cell death
Liu B., Cui L., Zhou B., Zhang L., Liu Z., Zhang L.
Acta Pharmacologica Sinica, Springer Nature, 2019
137.
3,5-Bis(2,4-Difluorobenzylidene)-4-piperidone, a Novel Compound That Affects Pancreatic Cancer Growth and Angiogenesis
Subramaniam D., Nicholes N.D., Dhar A., Umar S., Awasthi V., Welch D.R., Jensen R.A., Anant S.
Molecular Cancer Therapeutics, American Association for Cancer Research (AACR), 2011
138.
The role of circulating IL-8 and VEGF protein in the progression of gastric cancer
Konno H., Ohta M., Baba M., Suzuki S., Nakamura S.
Cancer Science, Wiley, 2003
139.
A Novel Curcumin Analog (H-4073) Enhances the Therapeutic Efficacy of Cisplatin Treatment in Head and Neck Cancer
Kumar B., Yadav A., Hideg K., Kuppusamy P., Teknos T.N., Kumar P.
PLoS ONE, Public Library of Science (PLoS), 2014
140.
Multiple Anticancer Activities of EF24, a Novel Curcumin Analog, on Human Ovarian Carcinoma Cells
Tan X., Sidell N., Mancini A., Huang R., Wang S., Horowitz I.R., Liotta D.C., Taylor R.N., Wieser F.
Reproductive Sciences, SAGE, 2010
141.
EF24 inhibits tumor growth and metastasis via suppressing NF-kappaB dependent pathways in human cholangiocarcinoma
Yin D., Liang Y., Zheng T., Song R., Wang J., Sun B., Pan S., Qu L., Liu J., Jiang H., Liu L.
Scientific Reports, Springer Nature, 2016
142.
Inhibition of IκB Kinase-Nuclear Factor-κB Signaling Pathway by 3,5-Bis(2-flurobenzylidene)piperidin-4-one (EF24), a Novel Monoketone Analog of Curcumin
Kasinski A.L., Du Y., Thomas S.L., Zhao J., Sun S., Khuri F.R., Wang C., Shoji M., Sun A., Snyder J.P., Liotta D., Fu H.
Molecular Pharmacology, American Society for Pharmacology and Experimental Therapeutics, 2008
143.
Activation of the p38 pathway by a novel monoketone curcumin analog, EF24, suggests a potential combination strategy
Thomas S.L., Zhao J., Li Z., Lou B., Du Y., Purcell J., Snyder J.P., Khuri F.R., Liotta D., Fu H.
Biochemical Pharmacology, Elsevier, 2010
144.
EF ‐24 inhibits TPA ‐induced cellular migration and MMP ‐9 expression through the p38 signaling pathway in cervical cancer cells
Lee C., Ho Y., Lin C., Hsin M., Wang P., Tang Y., Yang S., Hsiao Y.
Environmental Toxicology, Wiley, 2022
145.
Recent developments of topoisomerase inhibitors: Clinical trials, emerging indications, novel molecules and global sales
Bondarev A.D., Jonsson J., Chubarev V.N., Tarasov V.V., Lagunas-Rangel F.A., Schiöth H.B.
Pharmacological Research, Elsevier, 2024
146.
Topoisomerase inhibitors as anticancer agents: a patent update
Khadka D.B., Cho W.
Expert Opinion on Therapeutic Patents, Taylor & Francis, 2013
147.
Trends in the exploitation of novel drug targets
Rask-Andersen M., Almén M.S., Schiöth H.B.
Nature Reviews Drug Discovery, Springer Nature, 2011
148.
The Druggable Genome: Evaluation of Drug Targets in Clinical Trials Suggests Major Shifts in Molecular Class and Indication
Rask-Andersen M., Masuram S., Schiöth H.B.
Annual Review of Pharmacology and Toxicology, Annual Reviews, 2014
149.
Orphan Drugs and Their Impact on Pharmaceutical Development
Attwood M.M., Rask-Andersen M., Schiöth H.B.
Trends in Pharmacological Sciences, Elsevier, 2018
150.
Syntheses and evaluation of novel fatty acid-second-generation taxoid conjugates as promising anticancer agents
Kuznetsova L., Chen J., Sun L., Wu X., Pepe A., Veith J.M., Pera P., Bernacki R.J., Ojima I.
Bioorganic and Medicinal Chemistry Letters, Elsevier, 2006
151.
Recent advances in tumor-targeting anticancer drug conjugates.
Jaracz S., Chen J., Kuznetsova L.V., Ojima I.
Bioorganic and Medicinal Chemistry, Elsevier, 2005
152.
Curcumin-inspired cytotoxic 3,5-bis(arylmethylene)-1-(N-(ortho-substituted aryl)maleamoyl)-4-piperidones: A novel group of topoisomerase II alpha inhibitors
Jha A., Duffield K.M., Ness M.R., Ravoori S., Andrews G., Bhullar K.S., Rupasinghe H.P., Balzarini J.
Bioorganic and Medicinal Chemistry, Elsevier, 2015
153.
Synthesis, human topoisomerase IIα inhibitory properties and molecular modeling studies of anti-proliferative curcumin mimics
Fawzy N.G., Panda S.S., Fayad W., Shalaby E.M., Srour A.M., Girgis A.S.
RSC Advances, Royal Society of Chemistry (RSC), 2019
154.
Combating tumor PARP inhibitor resistance: Combination treatments, nanotechnology, and other potential strategies
Wang R., Liu Y., Liu M., Zhang M., Li C., Xu S., Tang S., Ma Y., Wu X., Fei W.
International Journal of Pharmaceutics, Elsevier, 2025
155.
Clinical approaches to overcome PARP inhibitor resistance
Zou Y., Zhang H., Chen P., Tang J., Yang S., Nicot C., Guan Z., Li X., Tang H.
Molecular Cancer, Springer Nature, 2025
156.
NF-κB in inflammation and cancer
Mao H., Zhao X., Sun S.
Cellular and Molecular Immunology, Springer Nature, 2025
157.
Diarylidenylpiperidones, H-4073 and HO-3867, Induce G2/M Cell-Cycle Arrest, Apoptosis and Inhibit STAT3 Phosphorylation in Human Pancreatic Cancer Cells
Mast J.M., Tse D., Shee K., Lakshmi Kuppusamy M., Kmiec M.M., Kálai T., Kuppusamy P.
Cell Biochemistry and Biophysics, Springer Nature, 2019
158.
Design, Synthesis and Evaluation of Diarylidenyl Piperidone-Ligated Platinum (IV) Complexes as Chemoimmunotherapeutic Agents
Mao Z., Chen L., Chen X., Lu X., Mo Z., Gou Y., Wei J., Huang R., Zhang Y.
European Journal of Medicinal Chemistry, Elsevier, 2025
159.
Design and optimize N‐substituted EF 24 as effective and low toxicity NF ‐κB inhibitor for lung cancer therapy via apoptosis‐to‐pyroptosis switch
Chen L., Li Q., Zheng Z., Xie J., Lin X., Jiang C., Xu H., Wu X., Wu J., Zhang H.
Chemical Biology and Drug Design, Wiley, 2019
160.
Bioactivities of EF24, a Novel Curcumin Analog: A Review
He Y., Li W., Hu G., Sun H., Kong Q.
Frontiers in Oncology, Frontiers Media S.A., 2018
161.
The Curcumin Analog EF24 Targets NF-κB and miRNA-21, and Has Potent Anticancer Activity In Vitro and In Vivo
Yang C.H., Yue J., Sims M., Pfeffer L.M.
PLoS ONE, Public Library of Science (PLoS), 2013
162.
Anticarcinogenic Potency of EF24: An Overview of Its Pharmacokinetics, Efficacy, Mechanism of Action, and Nanoformulation for Drug Delivery
Sazdova I., Keremidarska-Markova M., Dimitrova D., Mitrokhin V., Kamkin A., Hadzi-Petrushev N., Bogdanov J., Schubert R., Gagov H., Avtanski D., Mladenov M.
Cancers, MDPI, 2023
163.
Mitochondria as a Novel Target for Cancer Chemoprevention: Emergence of Mitochondrial-targeting Agents
Huang M., Myers C.R., Wang Y., You M.
Cancer Prevention Research, American Association for Cancer Research (AACR), 2021
165.
Mitochondria in Health and Disease
Annesley S.J., Fisher P.R.
Cells, MDPI, 2019
166.
Novel Unsymmetric 3,5-Bis(benzylidene)-4-piperidones That Display Tumor-Selective Toxicity
Chhikara A., Roayapalley P.K., Sakagami H., Amano S., Satoh K., Uesawa Y., Das U., Das S., Borrego E.A., Guerena C.D., Hernandez C.R., Aguilera R.J., Dimmock J.R.
Molecules, MDPI, 2022
167.
Two novel piperidones induce apoptosis and antiproliferative effects on human prostate and lymphoma cancer cell lines
Swain R.M., Contreras L., Varela-Ramirez A., Hossain M., Das U., Valenzuela C.A., Penichet M.L., Dimmock J.R., Aguilera R.J.
Investigational New Drugs, Springer Nature, 2022