Home / Publications / Autonomous self-oscillating chemomechanical gels: recent achievements and development prospects

Autonomous self-oscillating chemomechanical gels: recent achievements and development prospects

Share
Cite this
GOST
 | 
Cite this
GOST Copy
Mallphanov I. L. et al. [{"id":"cnyAGfE3Kx","type":"paragraph","data":{"text":"Autonomous self-oscillating chemomechanical gels: recent achievements and development prospects"}}] // Russian Chemical Reviews. 2025. Vol. 94. No. 11. RCR5191
GOST all authors (up to 50) Copy
Mallphanov I. L., Chupakhin E. G., Lagunova O. V., Lavrova A. I. [{"id":"cnyAGfE3Kx","type":"paragraph","data":{"text":"Autonomous self-oscillating chemomechanical gels: recent achievements and development prospects"}}] // Russian Chemical Reviews. 2025. Vol. 94. No. 11. RCR5191
RIS
 | 
Cite this
RIS Copy
TY - JOUR
DO - 10.59761/RCR5191
UR - https://rcr.colab.ws/publications/10.59761/RCR5191
TI - [{"id":"cnyAGfE3Kx","type":"paragraph","data":{"text":"Autonomous self-oscillating chemomechanical gels: recent achievements and development prospects"}}]
T2 - Russian Chemical Reviews
AU - Mallphanov, Ilya L.
AU - Chupakhin, Evgeny G.
AU - Lagunova, Olga V.
AU - Lavrova, Anastasia I.
PY - 2025
DA - 2025/11/19
PB - ANO Editorial Board of the journal Uspekhi Khimii
SP - RCR5191
IS - 11
VL - 94
ER -
BibTex
 | 
Cite this
BibTex (up to 50 authors) Copy
@article{2025_Mallphanov,
author = {Ilya L. Mallphanov and Evgeny G. Chupakhin and Olga V. Lagunova and Anastasia I. Lavrova},
title = {[{"id":"cnyAGfE3Kx","type":"paragraph","data":{"text":"Autonomous self-oscillating chemomechanical gels: recent achievements and development prospects"}}]},
journal = {Russian Chemical Reviews},
year = {2025},
volume = {94},
publisher = {ANO Editorial Board of the journal Uspekhi Khimii},
month = {Nov},
url = {https://rcr.colab.ws/publications/10.59761/RCR5191},
number = {11},
doi = {10.59761/RCR5191}
}
MLA
Cite this
MLA Copy
Mallphanov, Ilya L., et al. “[{"id":"cnyAGfE3Kx","type":"paragraph","data":{"text":"Autonomous self-oscillating chemomechanical gels: recent achievements and development prospects"}}].” Russian Chemical Reviews, vol. 94, no. 11, Nov. 2025, p. RCR5191. https://rcr.colab.ws/publications/10.59761/RCR5191.
Publication views
6

Keywords

autonomous self-oscillating chemomechanical gels
Belousov-Zhabotinsky reaction
chemical oscillators
chemomechanical devices

Abstract

The relevance of the subject of the review is due to increasing interest of scientists and engineers in the search for and study of autonomously functioning chemomechanical materials and the application of these materials for the development of biomimetic devices. This research area lacks full-scale reviews analyzing all currently available types of autonomous self-oscillating chemomechanical gels, promising materials for the design of artificial muscles for soft robots and chemomechanical devices. This review fills this gap by extensively covering the relevant information on this subject matter and giving comparative analysis of the objects, including the drawbacks of the existing gels driven by the Belousov–Zhabotinsky reaction (BZ gels) and prospects for the development of new gels with specified properties. A more comprehensive classification of the most promising BZ gels developed to date is given.

The bibliography includes 123 references.

1. Introduction

The conversion of chemical energy into mechanical energy is a basic feature of all living beings, ensuring both their movement in space and functioning of internal organs at the macro and micro levels. Unlike mechanical systems fabricated by humans, which indirectly convert chemical energy into mechanical energy via conversion into heat or electricity, natural actuators are capable of performing this process directly with high efficiency. The operation of living actuators is free from drawbacks inherent in machines such as noise, vibration, or electromagnetic and chemical environmental pollution. In addition, natural actuators can demonstrate complex types of motion (peristaltic, ciliary) that can hardly be attained when mechanical drives are used.

It is not surprising that scientists and engineers, while mimicking nature, attempt to develop artificial chemomechanical polymer materials [1-5] that would directly convert the energy of chemical reactions into mechanical motion of the polymer and to design various chemomechanical devices based on these materials.[6-12]

The first artificial chemomechanical materials were fabricated in the mid-20th century as hydrogels that changed their size in response to variation of the chemical composition of the dispersion medium impregnating them.[13-16] W.Kuhn, J.W.Breitenbach, and A.Katchalsky, who worked independently of one another, found that cross-linked polyacrylic acid gels can convert chemical energy directly into mechanical work of gel expansion and contraction upon a change in pH under isothermal conditions. For example, polyacrylic acid gel cross-linked with glycerol or polyvinyl alcohol into a three-dimensional network (dispersed phase) and placed into an aqueous dispersion medium expanded upon the addition of alkali and contracted to the original size upon addition of an acid.[13][15] The addition of alkali resulted in the formation of negatively charged carboxylate ions in the polymer; their electrostatic repulsion caused gel expansion and swelling. The subsequent addition of an acid suppressed ionization of carboxyl groups, reduced the negative charge, and brought the gel back to the original size. The principle of operation of these gels was not similar to the operation principle of biological macromolecules of natural actuators; however, they served as useful models for physicochemical studies of the principles of direct conversion of chemical energy into mechanical work or, alternatively, the conversion of mechanical energy to potential energy.

Chemomechanical gels can produce volume oscillations upon the change of not only chemical but also physical factors, resulting in a change of chemical properties (e.g., hydrophilicity) of polymers. An example of a gel that responds to temperature changes is the cross-linked poly(N-isopropylacrylamide) gel. On heating to 32°C, this gel shrinks and undergoes a sharp reversible phase transition.[17] On subsequent cooling, the gel swells again, thus returning to the original size.

Quite a few stimulus-responsive gels that change the geometric parameters upon variation of pH[18-23] or temperature[24-28] of the medium or upon application of an electrical or magnetic field[29-35] have been developed to date.

The notion ‘chemomechanical system’ can be applied to thermodynamic systems that can convert chemical energy directly into mechanical work or, conversely, convert mechanical energy into chemical energy.[36] As a rule, these transformations take place in a system capable of cyclic operation and returning into the original state after each cycle. The first stage is transition of the system from a higher chemical potential to a lower potential where the system releases mechanical energy, while the second stage is repeated chemical potential ‘charging’.

However, it is possible to envisage opposite cycles in which the application of mechanical energy can increase the chemical potential (reverse chemomechanical system). The reverse chemomechanical effect was demonstrated by W.Kuhn,[37] who stretched and contracted filaments composed of linked polyvinyl alcohol and polyacrylic acid, thus achieving a change in the pH of the liquid surrounding the filaments. After the equilibrium pH value characteristic of the unloaded filament was achieved, the filament was stretched, which resulted in increasing concentration of the protons in the liquid. The reverse phenomenon was observed when the filaments were unloaded; this was accompanied by a decrease in the proton concentration in the liquid.

It is noteworthy that the above chemomechanical gel systems must be activated by external controlled on – off switching of a stimulus, whether it is change in pH, temperature, or other factors. Thus, they provide only one action such as swelling or shrinking towards a stable equilibrium state. They cannot spontaneously change by themselves with time periodicity. Meanwhile, many physiological systems can maintain rhythmic oscillations under invariable environmental conditions and operate in a dynamic non-equilibrium state; in other words, these are self-regulating systems. The most vivid example of such system in nature is functioning of heart.

The first attempts to fabricate chemomechanical materials functioning in the oscillatory mode were made at the end of the 20th century. Scientists synthesized a pH-responsive gel (N-isopropylacrylamide – acrylic acid copolymer cross-linked with ethylene glycol dimethacrylate), which periodically swelled and deswelled following the oscillations of the H2O2 – H2SO3 – K4Fe(CN)6 system, a chemical pH-oscillator in which it was immersed.[38][39] However, in this system, the pH oscillations (between 4.5 and 7) were generated by a reactor with continuous stirring, continuous supply of reactants, and removal of reaction products, while the gel swelling and deswelling only followed the oscillations of the external environment in which the gel was immersed. The gel was not a part of the oscillator, but merely responded to pH fluctuations generated by the oscillator.

In 1996, R.Yoshida, T.Takahashi, T.Yamaguchi, and H.Ichijo attached one reactant (catalyst) of the Belousov – Zhabotinsky reaction (BZ reaction) to the polymer matrix of cross-linked poly(N-isopropylacrylamide) gel and thus prepared the first self-oscillating chemomechanical gel that showed long-lasting autonomous oscillations of size (chemomechanical oscillations) under stationary conditions without any external chemical or physical stimulus.[40]

The obtained gel demonstrated the autonomous self-oscillatory behaviour due to the presence of ruthenium(II) complex that is catalytically active in the BZ reaction, which was incorporated in the N,N-methylenebis(acrylamide)-cross-linked poly(N-isopropylacrylamide) network.[41-46] When this gel was immersed in a solution containing malonic acid (MA), sodium bromate, and nitric acid, BZ reaction was initiated in the gel and generated periodic oxidation and reduction of the ruthenium complex. The gel swelled when the catalyst was oxidized and deswelled again when the catalyst was reduced. During this process, the chemical energy of the BZ reaction was transformed into gel swelling – deswelling oscillations.

The resulting self-oscillating gels (BZ gels) opened up wide opportunities for the design of small-scale biomimetic devices such as actuators, active components for microfluidic devices, and soft robots, which can actually operate autonomously and perform continuous work until the reactants in the CFBZ solution (catalyst-free solution of BZ reaction components) are consumed. Belousov – Zhabotinsky gels can actually demonstrate chemomechanical oscillations for several hours without the addition of fresh reactants;[47] furthermore, the system can be easily refilled by complete or partial replacement of the CFBZ solution with a fresh one.

This discovery initiated the appearance of a new, largely independent, trend in the field of stimuli-responsive gels: autonomous self-oscillating chemomechanical gels driven by the oscillatory Belousov – Zhabotinsky chemical reaction.

Despite the innovative nature and relevance of this topic, virtually no dedicated reviews on BZ gels that would systematize and analyze the whole diversity of currently known types of such gels can be found in the literature. There are reviews that address BZ gels,[1][3][48]but they either mention the BZ gels only briefly in the context of other types of smart polymer materials or focus on a specific group of self-oscillating gels [e.g., reviews by R.Yoshida are mainly devoted to self-oscillating BZ gels based on poly(N-isopropylacrylamide) with covalently bound ruthenium complexes].

A considerable body of interesting results on the development of structurally and compositionally diverse BZ gels has been accumulated to date. They require more extensive and more comprehensive consideration, analysis, and systematization. In this review, we examine and systematize all the main types of autonomous self-oscillating chemomechanical gels that have been developed and studied to date, including trial autonomous self-oscillating gels based on the IO3 – HOCH2SO2H oscillator, and carry out comparative analysis of their composition, structure, and self-oscillating behaviour. A key limitation for our review is that we consider only autonomous chemomechanical gels, that is, the gels that exhibit self-oscillation under stationary environmental conditions, as these gels are of most interest for the design of materials and chemomechanical devices with biomimetic behaviour.

2. Mechanism of the Belousov – Zhabotinsky reaction and its role in the generation of chemomechanical oscillations

The Belousov – Zhabotinsky reaction can be represented as oxidation of an organic substrate with bromate in the presence of mineral acid catalyzed by metal cations or complexes.[49][50] Compounds applicable as substrates include citric acid,[48] cyclohexadienone,[51] pyrogallol,[52] malic acid,[53] and many other compounds, but the most convenient and accessible substrate is malonic acid. Metal cations and complex cations with an oxidation potential in the 0.9 – 1.6 V range are applicable as catalysts.[54][55] According to published data,[1][3][56] catalytic activity in the BZ reaction is characteristic of cations such as Ce3+, Mn2+, Fe(phen)32+, Fe(bpy)32+, Ru(bpy)32+, and Ru(tpy)22+ (phen is 1,10-phenanthroline, bpy is 2,2'-bipyridine, tpy is 2,2';6',2''-terpyridine). Nitric or sulfuric acid is used as a source of H+ ions. Bromate is an essential reactant for the BZ reaction.

When malonic acid is used, the general BZ reaction equation can be written as

The currently known mechanism of the BZ reaction includes a few dozens of chemical reactions most of which are unnecessary for the description of BZ oscillations.[57] Therefore, in the second half of the 20th century, relatively simple mechanisms were proposed to explain the existence of oscillations. For example, in 1972, Field, Körös, and Noyes[58] proposed a model consisting of ten chemical reactions describing the emergence of periodic oscillations in the BZ reaction. This model is often called the Field – Körös – Noyes mechanism.

The key features of the Field–Körös – Noyes mechanism can be reflected in the Oregonator mathematical model proposed by Field and Noyes in 1974.[59]

According to the Field – Körös – Noyes mechanism, reactions in which oxidation and reduction of the catalyst occur can be represented as processes (12) and (13), respectively.[54][60-62]

The coefficient f indicates the number of bromide ions that are formed upon reduction of the catalyst.

Since autonomous self-oscillating chemomechanical gels are cross-linked polymers with immobilized BZ reaction catalysts and the periodic changes in their size are mainly due to periodic redox transitions of the catalyst, the chemical reactions giving rise to chemomechanical oscillations can be represented as shown in Fig. 1.

Fig. 1
Field – Körös – Noyes mechanism as applied to a gel. The dashed lines show the conventional boundaries of the gel in a CFBZ solution. M is catalyst, R is a polymer chain fragment, MA is malonic acid, BrMA is bromomalonic acid, OP are other products.

The Belousov – Zhabotinsky reaction is accompanied by periodic oxidation and reduction of the catalyst incorporated in the polymer gel matrix, which in turn induces periodic changes in the charge of the gel matrix and, hence, induces changes in the matrix hydrophilicity and degree of cross-linking with reversible physical cross-links, that is, non-covalent interactions between polymer chains within the gel.

Depending on the response of the polymer matrix to the oxidation of the incorporated catalyst, two types of gels are distinguished. Gels of the first type tend to swell as the catalyst is oxidized. As a rule, the catalytically active metal complex in these gels is covalently bound to cross-linked poly(N-isopropylacrylamide).[41][45][63-65]

The second type gels show the opposite behaviour: they shrink (deswell) as the catalyst is transformed into the oxidized state.[66-69] This type of response is characteristic of gels based on cross-linked polyacrylamide.[66-68] The mechanisms of the chemomechanical response of the two types of self-oscillating gels to the catalyst oxidation are illustrated in Fig. 2.

Fig. 2
Schematic illustration of various mechanisms of mechanical response of self-oscillating gels to changes in the oxidation state of the catalyst: (a) polyacrylamide network in which the oxidation of Ru2+ to Ru3+ gives rise to additional cross-links between Ru3+ and parts of the chain and leads to gel contraction; (b) poly(N-isopropylacrylamide) network in which the oxidation of Ru2+ to Ru3+ results in increase in the gel hydrophilicity and gel swelling.

The cross-linked poly(N-isopropylacrylamide) gel immersed in an aqueous medium undergoes a volume phase transition on heating to 32°C, which is accompanied by a considerable decrease in the volume of the gel due to a decrease in the hydrophilicity. The effect of temperature on the phase state of cross-linked poly(N-isopropylacrylamide) in aqueous solutions is attributable to the formation of hydrogen bonds between the polymer gel network and water molecules. At temperatures below the volume phase transition point (VPTP), these bonds are stable and water molecules form a hydrate shell around the polymer. As the temperature is raised, the hydrogen bonds are broken, which results in contraction of the polymer network. The addition of a hydrophobic catalyst to the gel matrix shifts the phase transition to a lower temperature range; VPTP for the gel with the oxidized catalyst becomes somewhat higher than that for the gel with the reduced catalyst, since oxidation decreases the hydrophobicity. At temperatures below VPTP, the gel with the reduced catalyst has a smaller volume than the gel with the oxidized catalyst. During the BZ reaction accompanied by oxidation of the catalyst incorporated in the cross-linked poly(N-isopropylacrylamide), the charge of the catalyst increases, the hydrophilicity of the polymer also increases, and water is absorbed from the surrounding solution into the polymer matrix, which results in swelling of the gel. As the catalyst is reduced, its charge decreases, the polymer hydrophilicity decreases, water is expelled from the polymer matrix into the surrounding solution, and the gel deswells. The periodic redox transitions of a catalytically active metal complex induce periodic changes in the gel swelling ratio due to increase in the hydrophilicity of polymer chains upon oxidation and decrease in the hydrophilicity upon reduction.[70] As a result, the gel exhibits autonomous periodic swelling – deswelling oscillations when immersed in a CFBZ solution.

A number of attempts to mathematically model the self-oscillating behaviour of first type gels have been made.[71-74] However, analysis of the applied physicomathematical models and correspondence between the modelling results and experimental data are beyond the scope of this review. We would only like to note that the authors used the three-dimensional gel lattice spring model (gLSM), which utilizes a modified Oregonator model to describe the BZ reaction in solution and elastodynamic equations for a chemo-responsive polymer network.

In the case of cross-linked polyacrylamide gel, an increase in the charge of the catalyst upon oxidation leads to increasing degree of association of this positively charged centre with the polar groups of gel chains (e.g., amide groups). The associations, which are actually reversible cross-links, are formed only when the catalyst is in the oxidized state and are, correspondingly, broken when the catalyst is in the reduced state. These associations generate osmotic pressure, which displaces water from the gel matrix and, consequently, leads to gel shrinkage upon the oxidation of the catalytically active complex. When the catalyst is reduced, its charge decreases, additional cross-links disappear, and the gel returns to the initial state. Attempts to perform mathematical modelling of the self-oscillating behaviour of second type gels were reported by Yuan et al.[66] Detailed analysis of the mathematical models describing the generation of chemomechanical oscillations in first and second type gels can be found in relevant publications.[66-69][71-74]

3. Self-oscillating chemomechanical gels based on the cross-linked poly(N-isopropylacrylamide) matrix

This Section addresses the evolution and latest achievements in the field of self-oscillating chemomechanical gels based on cross-linked poly(N-isopropylacrylamide) directed towards increasing the amplitude and frequency of their chemomechanical oscillations, since particularly these characteristics are most in demand for the practical application of these materials. Poly(N-isopropylacrylamide)-based self-oscillating gels have been already studied for almost 30 years; as a result, quite a large body of data on their properties and ways of tuning their self-oscillating behaviour have been accumulated to date. While analyzing the obtained data, we concluded that there is a strong correlation between, first of all, gel microstructure and frequency (amplitude) of the chemomechanical oscillations. Therefore, in Section 3, the gels are classified in terms of the microstructure of their polymer matrices, being subdivided into homogeneous gels (Section 3.1), gels with a microphase-separated structure (Section 3.2), comb type gels (Section 3.3), and gels composed of microgels (Section 3.4).

3.1. Gels with a homogeneous structure

The first representative of this type, gel 1 (Fig. 3),[75] which is also the parent structure for the whole array of autonomous self-oscillating chemomechanical gels, was synthesized in 1996 by Professor Ryo Yoshida’s research group.[40] The authors linked the catalytically active ruthenium(II) complex to the cross-linked poly(N-isopropylacrylamide) matrix. This was done by copolymerization of bis(2,2'-bipyridine)(4-methyl-4'-vinyl-2,2'-bipyridine)rutheium(II) [Ru(vmbpy)(bpy)2] with N-isopropyl­acrylamide (IPAAm) and N,N'-methylenebis(acrylamide) (MBAAm) in methanol in the presence of azobis(isobutyronitrile) (AIBN) as radical polymerization initiator. The polymerization was carried out at a temperature of 60°C.

Fig. 3
Mechanism of self-oscillation of gel 1 poly(IPAAm-co-Ru(bpy)3): (a) a gel bead immersed in a CFBZ solution periodically swells and deswells as the catalyst switches from the oxidized to reduced state. During the reaction, the gel absorbs malonic acid and bromate from the CFBZ solution, while reaction products are released to the solution; (b) chemical structure of gel 1 and time dependence of the gel dimension upon transition of the catalyst from the reduced to oxidized state during oscillations in the CFBZ solution.75 Published under the Creative Commons CC BY license.

The obtained gel 1 was an analogue of cross-linked poly(N-isopropylacrylamide) gel, which also shrinks as the temperature rises above VPTP, but, in addition, the change in the oxidation state of Ru(vmbpy)(bpy)2 at a constant temperature below VPTP also induced a change in the volume of this gel. A cubic piece of the gel with an edge of 500 μm immersed in a CFBZ solution undergoes periodic volume changes: swelling upon the catalyst oxidation and deswelling upon the catalyst reduction (Fig. 4),[75] thus demonstrating chemomechanical oscillations.

Fig. 4
Periodic swelling – deswelling and colour change oscillations of cubic gel 1 at 20°C. The colour changes of the gel from orange to green were converted to greyscale changes. The gel is immersed in the solution: [MA] = 62.5 mМ; [NaBrO3] = 84 mM; [HNO3] = 0.6 M.75 Published under the Creative Commons CC BY license.

The amplitude of chemomechanical oscillations of the gel was defined as the ratio of the change in the linear dimension of a piece of the gel along the chosen cross-section to the original dimension. The quantitative ratios of the components in the gel and the conditions of gel testing in the CFBZ solution are given at the end of Section 3.

The change in the linear dimension of the piece of the gel was approximately 2%.[40] The authors ascertained that the period of oscillations depended on the initial concentration of the components in the CFBZ mixture and that the gel swelling–deswelling amplitude increased with increasing period and amplitude (recorded as a change in the optical properties of the gel) of redox oscillations. The gel swelling – deswelling amplitude could be controlled by varying the initial concentration of reactants or the content of Ru(vmbpy)(bpy)2 in the gel. By adjusting these parameters, the authors achieved a swelling – deswelling amplitude of 20%.[44]

Yoshida et al.[42] investigated the differences between the courses of BZ reaction in BZ gel 1 and in a BZ solution depending on the concentrations of sodium bromate and malonic and nitric acids. The oscillations in the BZ solution were measured using a potentiometric method and recorded as changes in the redox potential. The results provided the following conclusions: the dependences of the oscillation period on the initial concentration of malonic acid are considerably different in the solution and in the gel. The concentration of malonic acid has a pronounced effect on the form of oscillations of the gel, whereas the effect on the nature of oscillations in solution is insignificant. Study of the observed changes in the form of oscillations showed that limitations of the substrate diffusion between the gel and the surrounding CFBZ solution and reaction product diffusion from the CFBZ solution to the gel have a considerable effect on the rate of redox reactions that proceed in the gel.

For a structural analogue [component ratio: IPAAm : Ru(vmbpy)(bpy)2 : MBAAm = 100 : 0.74 : 2.8) of gel 1, it was also found[47] that pressure developed upon gel shrinkage is approximately 20 Pa. The authors examined the self-oscillatory behaviour for three cylindrical gels with different diameters: 0.65, 1.17, and 1.88 mm. It was found that the self-oscillatory behaviour of the gel in the BZ reaction depend appreciably on the gel diameter, particularly, the residence time in the oxidized state and the period of oscillations increase with decreasing diameter of the cylindrical gel. Thus, if the period of chemical oscillations is longer than the diffusion time, the number of water molecules that diffuse over the time the gel exists in the oxidized (reduced) state is sufficient for complete hydration (dehydration) of the chains, which results in a relatively pronounced decrease (increase) in Young’s modulus. This effect was observed for a gel of 0.65 mm diameter. The opposite situation was found for gels of 1.17 and 1.88 mm diameters; this size precluded sufficient diffusion/migration of water across the gel, resulting in a relatively small decrease (increase) in Young’s modulus and, correspondingly, a small amplitude of mechanical oscillations.

The self-oscillating behaviour of copolymers immersed in a CFBZ solution considerably depends on their chemical structure, while oscillations of the gel also depend on the size and shape on the gel samples (Fig. 5).[75] Whereas a solution of BZ catalyst in a CFBZ mixture periodically changes colour, a solution of a non-cross-linked linear copolymer incorporating a BZ catalyst in a CFBZ mixture shows not only a periodic colour change, but also transparency and viscosity changes because of the copolymer interconversions between soluble and insoluble forms.[70] A three-dimensional cross-linked copolymer (e.g., gel 1) incorporating a BZ catalyst and immersed in a CFBZ solution exhibits periodic size (volume) oscillations. If this cross-linked copolymer is immersed in a CFBZ solution as pieces smaller than the chemical wavelength (0.5 – 1 mm), these pieces swell and deswell isotropically in the CFBZ solution and behave like point oscillators. If the cross-linked gel is immersed in a CFBZ solution as 1 cm-long strips (one dimension much longer than the BZ wavelength) with a thickness less than 1 mm, the regions of oxidized (swollen) and reduced (shrunken) states of the gel move along the strips; the behaviour of this strip resembles peristaltic movement.[76][77]

Fig. 5
Self-oscillation mechanisms in a CFBZ solution taking place at different dimensional levels: at the monomer molecular level (~ 10–9), redox oscillations of the Ru(bpy)3 catalyst occur; at the linear macromolecule level, the copolymer with the catalyst incorporated into the linear chain is periodically interconverted between insoluble and soluble states as the catalyst switches from the reduced to oxidized state; at a level of objects smaller than 1 mm, the cross-linked gel periodically changes size; and at the level of objects less than 1 mm wide and less than 1 mm high, but with a centimetre length, mechanical peristaltic waves caused by chemical waves are observed in the cross-linked gel. Green and orange colours correspond to the oxidized and reduced states of the catalyst.75 Published under the Creative Commons CC BY license.

Considerable drawbacks of gel 1 include the relatively low amplitude and frequency of chemomechanical oscillations and also the fact that chemomechanical oscillations occur only at temperatures below VPTP.[78]

To overcome these drawbacks, quite a few attempts were made to tune the properties (amplitudes and periods of chemomechanical oscillations and operating temperatures) of the gels by both replacing the major N-isopropylacrylamide monomer by a related compound[78] and varying the spacer length between the catalytically active complex and the polymer chain.[79]

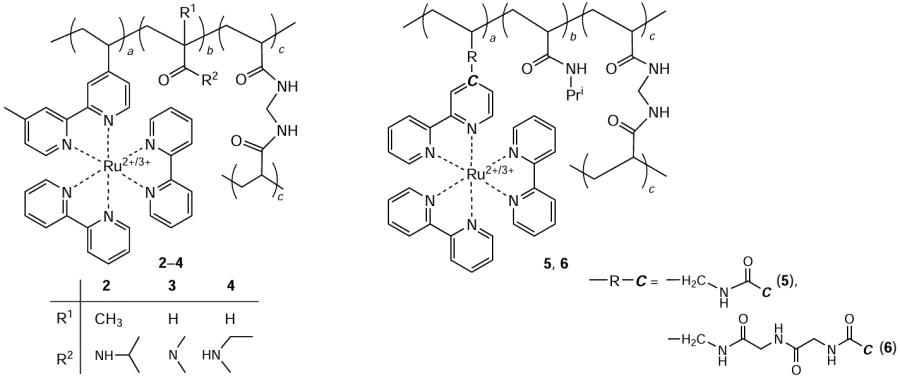
Hidaka and Yoshida[78] obtained gels 2, 3, and 4 in which IPAAm was replaced by isopropylmethacrylamide (IPMAAm) (gel 2), dimethylacrylamide (DMAAm) (gel 3), and ethyl­methylacrylamide (EMAAm) (gel 4). The gels were synthesized by copolymerization of the corresponding monomers with Ru(vmbpy)(bpy)2 and MBAAm in methanol at a temperature of 60°C using AIBN to initiate the radical polymerization. The resulting gels were placed into a CFBZ solution and their behaviour was investigated at 18 and 37°C. The swelling –deswelling amplitude of the gels was defined as the ratio of the change in diameter to the initial diameter of a cylindrical gel sample. Quantitative ratios of the components in the gel and the conditions of gel testing in the CFBZ solution are given at the end of Section 3. For gels 3 and 4, the period of oscillations decreased with increasing temperature, since the frequency of the BZ reaction usually varies according to the Arrhenius law. In the case of gel 3, the swelling–deswelling amplitude was 0% at both temperatures. Although chemical oscillations took place in the gel, no chemomechanical oscillations were observed because the difference between the swelling ratios for the reduced and oxidized states was very small. For gel 2, the authors did not report data on BZ oscillations, as the gel remained shrunken at temperatures above 30°C in both reduced and oxidized states.

Gel 4 had a swelling – deswelling amplitude of approximately 2.3% at 18°C and 2.8% at 37°C. These results indicate that large amplitudes and high frequencies of chemomechanical oscillations can be achieved by increasing the temperature for polymers with VPTP higher than that of poly(N-isopropyl­acrylamide).

Structures of gels 2 – 6

Zhang et al.[79] synthesized gels 5 and 6, analogues of gel 1 in which the catalyst was linked to the polymer chain with spacers of various length. Gel 5 was prepared by copolymerization of ruthenium(II) bis(2,2'-bipyridine)(N-allyl[2,2'-bipyridine]-4-carboxamide) [Ru(aambpy)(bpy)2] with IPAAm and MBAAm, while gel 6 was obtained by copolymerization of bis(2,2'-bipyridine)(N-[2-oxo-2-({2-oxo-2-[(prop-2-en-1-yl)amino]­ethyl}amino)ethyl][2,2'-bipyridine]-4-carboxamide)­ruthenium(II) [Ru(aambglbpy)(bpy)2] with IPAAm and MBAAm. The quantitative ratios of the components in the gels and the testing conditions in a CFBZ solution are given at the end of Section 3. While testing these gels (including reference gel 1) in BZ reactions under various conditions, the authors found that a change in the distance between the catalyst and the polymer base substantially modifies the oscillatory behaviour of the gels. Comparison of gels 1 and 5 indicated that increase in this distance from 1.52 to 3.83 Å resulted in a decrease in the change of the volume (linear dimensions) during oscillations from 8(2)% to 3.3(1.5)%. Gel 6, characterized by 6.02 – 11.2 Å distance between the catalyst and the polymer base, showed no self-oscillations at all, while only a twofold decrease in the degree of cross-linking (from 1.24 to 0.62 mol.%) brought about the periodic changes in the volume (linear dimensions) of up to 20.1(2.8)%. Thus, no simple correlation was found between the amplitude of chemomechanical oscillations of the gels and the distance between the catalytically active complex and the polymer chains.

In 2012, T.Arimura and M.Mukai[80] developed self-oscillating gel 7 (Fig. 6), which was similar to gel 1 in composition, but instead of catalytically active ruthenium complex, it contained ferroin catalyst (5-acrylamido-1,10-phenanthroline)bis(1,10-phenanthroline)iron(II) [Fe(acphen)(phen)2] covalently bound to the polymer matrix. This gel was synthesized by copolymerization of Fe(acphen)(phen)2 with IPAAm and MBAAm using AIBN as an initiator.

Fig. 6
Chemical structure and oscillations of gel 7

The synthesis gave a transparent, homogeneous reddish-coloured material, which, when immersed in a CFBZ solution, periodically turned blue (swelled) upon oxidation of the catalyst and turned red again (deswelled) upon catalyst reduction (see Fig. 6). The quantitative ratios of the components in the gel and the testing conditions in a CFBZ solution are given at the end of Section 3. The redox transitions of the catalyst induced both periodic changes in the colour of gel 7 and chemomechanical oscillations. An important achievement of this study was the use of an iron complex instead of ruthenium complex, which was employed in previous studies. Since iron complexes are much cheaper than ruthenium complexes and do not suffer from a drawback such as light sensitivity, they are more preferable for the preparation of self-oscillating gels, first of all from the point of view of availability and low cost.

It is worth noting that the chemomechanical oscillations of gels 1 – 7 typically had amplitudes of 1 – 20% and long (a few minutes) periods.

Meanwhile, in the non-oscillating steady state, i.e., with the catalyst being invariably oxidized or reduced, gel 1 showed a markedly greater (up to 100%) difference between the volumes of the swollen and shrunken states. This is caused by the fact that the rate of the redox reaction of the catalytic moiety was much higher than the rate of gel swelling and deswelling during BZ reaction. In other words, the low amplitude of chemomechanical oscillations was due to the delayed response of the polymer gel matrix to the chemical wave passing through the gel.

The relationship between the amplitude of mechanical oscillations and the rate of response of the polymer gel matrix to the redox transitions of the catalyst was revealed in more recent studies by other researchers.[81][82] Geher – Herczegh et al.[81] synthesized gel 8 (FIg. 7) and showed experimentally that the autonomous mechanical oscillations of the gel had a delay in the swelling (deswelling) response relative to periodic oxidation (reduction) of the catalyst, and the amplitude of chemomechanical oscillations followed an inverse dependence on the duration of this delay. Gel 8 was obtained by immobilizing the bis(2,2'-bipyridine)(1-(4'-methyl-2,2'-bipyridine-4-carbonyloxy)-2,5-pyrrolidinedione)ruthenium(II) catalyst, [Ru(bpy)3-NHS], in the gel presynthesized by copolymerization of IPAAm, MBAAm, and N-(3-aminopropyl)methacrylamide (APMAAm) (see FIg. 7).

FIg. 7
(a) Synthesis of gel 8 (Copyright belongs to Russian Chemical Reviews). (b) Plot for the swelling – deswelling amplitude of hydrogels with various contents of Ru(bpy)3. The catalyst concentration is expressed in% relative to the molar concentration of IPAAm.81 (c) Delays of swelling in response to oxidation and deswelling in response to reduction for the gels with catalyst concentrations of 5, 10, and 20%.81 Figures b and c are published under the Creative Commons CC BY license.

The choice of the IPAAm/APMAAm ratio allowed the authors to control the concentration of immobilized catalyst in the gel samples, since Ru(bpy)3-NHS can bind only to the amino groups of APMAAm when gel reacts with a solution of the complex in the presence of triethylamine. Thus, the authors obtained gels 8 in which the catalyst concentrations relative to IPAAm were 5, 10, and 20%. Upon immersion into a CFBZ solution, the gels exhibited chemomechanical oscillations with amplitudes of 1.4, 2.3, and 1.7%, respectively if changes in the linear dimensions of the gels are compared (the authors of the original paper reported changes in the area, while we converted the results into the changes of linear dimensions). The quantitative ratios of the components in the gels and the testing conditions in a CFBZ solution are given at the end of Section 3.

A study of the chemomechanical oscillations of the gels in a CFBZ solution demonstrated that the rate of gel swelling in response to catalyst oxidation was always higher than the rate of deswelling in response to catalyst reduction. This is in line with the fundamental dynamics of the BZ reaction, since reduction proceeds more slowly in the reaction system than the rapid autocatalytic oxidation.

Geher – Herczegh et al.[81] found that an increase in the catalyst concentration from 5 to 10% resulted in a decrease in the average oscillation period by less than 20%; swelling and deswelling delay decreased by approximately 60 – 70%, and the amplitude of chemomechanical oscillations increased from 1.4 to 2.3%. The authors suggested that this was due to increased electrostatic interactions, which caused more intense migration of counter-ions between the hydrogel and the external solution: in the gel that with a catalyst content of 10%, higher amount of the catalyst resulted in a higher charge density on the polymer network (compared to the gel with 5% content of the catalyst), which generated a greater difference between the chemical potentials of counter-ions between the external solution and the gel when it underwent redox transitions. This, in turn, induced a larger flux of water from the solution to the gel, i.e., the process of hydration was this enhanced. For the indicated catalyst concentrations of 5 and 10%, an inversely proportional relationship between the concentration and the response time was established (a higher concentration led to a faster response); however, further increase in the catalyst concentration up to 20% resulted in a greater response delay and a smaller amplitude (1.7%) of chemomechanical oscillations, which was attributed to steric interactions between the Ru(bpy)3 groups in the overcrowded polymer network. The discovered direct relationship between the rate of swelling of the polymer matrix in response to catalyst oxidation and the amplitude of chemomechanical oscillations of the gel and the impossibility of monotonic increase in the amplitude of chemomechanical oscillations of BZ gels with increasing catalyst concentration were the most important results. The theoretical model of the oscillations developed by the authors and numerical calculations they performed successfully reproduced the chemomechanical delays and confirmed the trend towards shorter swelling and longer deswelling found experimentally.

A similar study was performed by Lee et al.,[83] who elucidated the effect of the contents of APMAAm and Ru(bpy)3-NHS on the period and amplitude of chemomechanical oscillations of gels similar to gel 8. First, MBAAm-cross-linked poly[N-isopropylacrylamide-co-N-(3-aminopropyl)methacrylamide] beads of approximately 1 mm in diameter containing 2, 5, and 10 mol.% APMAAm relative to IPAAm were obtained by reversed phase suspension polymerization. The polymerization was initiated by the ammonium persulfate – tetramethyl­ethylenediamine (APS – TMEDA) system. The Ru(bpy)3-NHS catalyst was linked to the obtained system via the reaction with the APMAAm amino groups [the gel was immersed into a 70 mM solution of Ru(bpy)3-NHS in DMSO containing triethylamine]. It was assumed that all APMAAm amino groups in the gel should have been reacted with Ru(bpy)3-NHS. Thus, the authors obtained analogues of gel 8 with different concentrations of APMAAm and, hence, Ru(bpy)3-NHS relative to IPAAm (2 mol.% for the NA2_Ru70 gel; 5 mol.% for the NA5_Ru70 gel; and 10 mol.% for the NA10_Ru70 gel). The quantitative ratios of the components in the gels and the testing conditions in a CFBZ solution are given at the end of Section 3. When immersed into a CFBZ solution, the obtained gel beads showed periodic changes of the colour and diameter (Fig. 8), with the amplitude and the period of chemomechanical oscillations increasing with increasing catalyst concentration in the gel.

Fig. 8
Chemomechanical oscillations of the gels: (a) NA2_Ru70, (b) NA5_Ru70, and (c) NA10_Ru70. The green curve shows changes in the colour of the gel and the black line shows changes in the gel bead diameter. Regions of the waveform of the bead diameter profiles: tswell, the gel starts to swell and reaches a peak; tinter, the gel retains the volume before deswelling; tdeswell, the gel rapidly deswells.83 Published under the Creative Commons CC BY license.

Lee et al.[83] also analyzed the waveforms of the variation of the bead diameter upon the change in the Ru(bpy)3-NHS concentration by dividing the bead diameter profiles into three regions (tswell: the gel starts to swell and reaches the peak, tinter: the gel retains the volume before deswelling; tdeswell: the gel rapidly deswells) and concluded that the rate of diffusion of BZ reaction components decreases as the catalyst concentration in the gel increases.

The authors assumed that the mesh size of the gel and the free space in the gel network could control the diffusion of CFBZ solution components in the gel. Since the size of IPAAm and APMAAm moieties is approximately 0.25 nm, the metal complex moiety has a size of approximately 1.3 nm, and the mesh size of the IPAAm-based gels is usually from a few nanometres to a few tens of nanometres, the presence of a large amount of Ru(bpy)3 in the gel may result in a considerable densification of the gel network, which may narrow down the space that can transport molecules. In other words, an increase in the catalyst amount in the gel can slow down the diffusion rate of substances in the gel network.

The retardation of the bromate diffusion in the gel may slow down the catalyst oxidation, thus inducing an increase in the swelling time (tswell), while retardation of the diffusion of malonic acid may slow down the catalyst reduction and, consequently, increase the gel deswelling time (tdeswell). In addition, insufficient diffusion of malonic acid may change the time of gel volume retention before shrinkage (tinter) and change the wavefom. Indeed, the NA2_Ru70 gel is characterized by a waveform without a plateau region; NA5_Ru70 has a plateau region between the swelling and deswelling; and the NA10_Ru70 gel shows a wave with an extended plateau region, which can be attributed to hindered diffusion of malonic acid and, hence, hindered reduction of the catalyst.

Masuda et al.[84] synthesized a similar gel. First, the authors prepared a linear copolymer of IPAAm and APMAAm, and then Ru(bpy)3-NHS was grafted to the gel amino groups in various ratios. Upon immersion into a catalyst-containing BZ solution, the resulting copolymer exhibited oscillations of the optical absorbance. The introduction of MBAAm (as a cross-linker) into the copolymer afforded a three-dimensional network, which, after grafting of the catalyst, gave a self-oscillating gel samples of which exhibited chemomechanical behaviour.

An interesting approach was proposed by Sato et al.,[85] who synthesized an autonomous self-oscillating chemomechanical gel 9 in several steps (Fig. 9). First, copolymerization of IPAAm and APMAAm gave a linear copolymer, poly(IPAAm-co-APMAAm), and then Ru(bpy)3-NHS was grafted to some of the amino groups. The resulting poly[IPAAm-co-APMAAm-co-APMAAm-Ru(bpy)3-NHS] was cross-linked at the residual amino groups by the poly(IPAAm-co-N-acryloxysuccinimide) copolymer functioning as a cross-linker. The quantitative ratios of the components in the gels and the testing conditions in a CFBZ solution are given at the end of Section 3.

Fig. 9
Chemical structure of gel 9 and time dependence of the diameter of gel samples during chemomechanical oscillations. The gel is immersed in the solution: [MA] = 64 mM; [NaBrO3] = 100 mM; [HNO3] = 894 mM.85 Published under the Creative Commons CC BY license.

Using various amounts of grafted Ru(bpy)3-NHS to the linear copolymer and different copolymer to cross-linker ratios, the authors were able to obtain a gel exhibiting chemomechanical oscillations with an amplitude of up to 4% when immersed into a CFBZ solution. In the authors’ opinion, an advantage of this method is the possibility of preparing self-oscillating gels with specified properties from presynthesized linear polymers with definite characteristics.

To summarize the information presented in Section 3.1, we can conclude that homogeneous autonomous self-oscillating chemomechanical gels exhibit slow chemomechanical oscillations with a relatively small amplitude during the BZ reaction, which is due to both slow diffusion of components of a CFBZ solution in the gels and low swelling rate of the cross-linked polymer gel network in response to catalyst oxidation. Furthermore, the opportunities for increasing the diffusion rate of CFBZ solution components and, hence, the frequencies and amplitudes of gel oscillations by increasing temperature are very limited due to the thermal sensitivity of the gels based on cross-linked poly(N-isopropylacrylamide) and collapse of the gels at temperatures above VPTP. Attempts to increase the amplitude of chemomechanical oscillations by increasing the catalyst concentration in the gels provided some success,[81][83] but also had adverse consequences, particularly, this reduced the frequency of oscillations due to the retardation of diffusion because of steric effects in the polymer gel network. The rate of diffusion also imposed pronounced limitations on the size of the gel: isotropic oscillations were possible only for submillimetre-sized gels.[83]

To maximize the amplitude of chemomechanical oscillations of BZ gels based on cross-linked poly(N-isopropylacrylamide), it is necessary to overcome limitations imposed by the diffusion rate and to increase the response rate of the polymer gel matrix to the change in the catalyst oxidation state.

Attempts to increase the amplitude of chemomechanical oscillations resulted in the development of gels based on porous polymer matrices that can interact with a CFBZ solution not only through diffusion but also through convection, as well as demonstrate fast mechanical response to occurring chemical reactions.

3.2. Gels with a microphase-separated structure

In order to attain more pronounced chemomechanical oscillations, self-oscillating gel 10 (Fig. 10) was prepared[76][86][87] by copolymerization of Ru(vmbpy)(bpy)2 with IPAAm, MBAAm, and 2-acrylamido-2-methylpropanesulfonic acid (AMPS) in aqueous methanol using AIBN as the radical polymerization initiator at a temperature of 60°C. The concentration of AMPS in the gel varied from 1.75 to 40 mol.% relative to the total amount of monomers in the mixture.[76] The quantitative ratios of the components in the gels and the testing conditions in a CFBZ solution are given at the end of Section 3. The gel had a microphase-separated structure at a concentration of AMPS below 5 mol.%, but a homogeneous structure when the AMPS concentration was greater than 10 mol.%.

Fig. 10
(a) Chemical structure of gel 10. (b) Peristaltic motion in the cylindrical gel in a CFBZ solution. The green and orange colours correspond to the oxidized and reduced states of the Ru-containing moiety in the gel, respectively.87 Published under the Creative Commons CC BY license.

When a cylindrical sample of gel 10 was immersed into a CFBZ solution, the gel diameter periodically changes and, as a result, peristaltic motion appears in the gel (see Fig. 10). The amplitude of chemomechanical oscillations was defined as the relative change in the cylinder diameter. The gels with AMPS concentrations of 1.75, 2.5, and 5 mol.% showed chemo­mechanical oscillations with amplitudes of 15, 20, and 20%, respectively, while gel 10 with AMPS concentrations of 10, 20, and 40 mol.% oscillated with amplitudes of approximately 2 – 2.5%.

According to Murase et al.,[76] the fact that the amplitudes of chemomechanical oscillations are greater for the porous microphase-separated gel than for a homogeneous gel is due to the fast response of the polymer gel matrix to changes in the charge density of the catalytic moiety upon the redox transitions of the catalyst during the BZ reaction.

The dependence of the velocity of the propagating oxidation wave and the oscillation period on the AMPS concentration was established, in order to study the effect of diffusion and convection of BZ reaction components in gel 10 on the self-oscillating behaviour of the gel.

When the AMPS concentration in the gel was < 5 mol.%, the chemical wave propagation velocity was the highest and reached ~ 4 mm min–1, since in the gel with a microphase-separated structure BZ reaction components could be transferred not only by diffusion, but also by convection through channels in the pores of the gel. For the gel with a homogeneous structure (AMPS concentration of 20 – 40 mol.%), the transfer of BZ reactants was limited to diffusion, and the chemical wave velocity decreased to ~ 2 mm min–1.

The period of oscillations of a microphase-separated gel with AMPS concentrations of 1.75 and 2.5 mol.% was approximately 7 and 6 min, while for the gel with AMPS concentrations of 5, 10, 20, and 40 mol.%, the period was approximately 3 min.

Thus, on going from microphase-separated to homogeneous gels, the propagation velocity of the oxidation wave and the period of oscillations decrease. From the standpoint of the authors, such an increase in the oscillation period may be due to non-uniform distribution of catalyst concentration in the microphase-separated gel structure; for this reason, diffusion could be the crucial factor, because there could be catalyst-free sites in the gel, and the reactants had to travel some distance in order to get to a site containing the catalyst.

A similar gel 10, but with a somewhat different composition [IPAAm : Ru(vmbpy)(bpy)2 : MBAAm : AMPS = 100 : 1.3 : 1.3 : 1.9] was synthesized by Hara et al.[88] An apparatus with a microsensor was devised to measure the pressure developed by the gel during periodic oscillations at a constant temperature. When the self-oscillation period was 480 s and the temperature was 18°C, the swelling pressure of the self-oscillating gel was 972 Pa (this is approximately one hundredth of the pressure developed by a muscle), which is almost 50 times greater than the pressure developed by homogeneous gel 1.

The dependence of the amplitude of mechanical oscillations on the gel microstructure and the catalyst concentration in the gel was also demonstrated by Mallphanov and Vanag.[89] Copolymerization of presynthesized bis(2,2'-bipyridine)- (5-acrylamido-1,10-phenanthroline)ruthenium(II) [Ru(acphen)(bpy)2] with IPAAm and MBAAm afforded gel 11 (Scheme 1) as a transparent homogeneous sphere (Fig. 11). When immersed in an aqueous CFBZ solution, gel 11 exhibited a self-oscillatory behaviour as depicted in the space – time diagram (see Fig. 11). The gel sphere periodically increased in size when the catalyst was in the oxidized state and decreased as the catalyst was reduced, although the amplitude of the mechanical oscillations was small (approximately 0.5%).

Scheme 1
Fig. 11
Diagram of oscillations of pieces of gels 11 and 12 in a CFBZ solution with concentrations [MA] = 0.063 M, [NaBrO3] = 0.084 M, [HNO3] = 0.9 M: snapshots of pieces of gels 11 (a), 12 (Ccat = 10 mmol L–1) (c), 12 (Ccat = 15 mmol L–1) (e), and 12 (Ccat = 20 mmol L–1) (g) in the shrunken (reduced) state (left image in each pair) and the swollen (oxidized) state (right image in each pair); (b) space – time diagram of the top edge of the sphere of gel 11 drawn along the line indicated by arrows; space – time diagrams of the oscillations of gels 12 with catalyst concentrations Ccat = 10 mmol L–1 (d), Ccat = 15 mmol L–1 (f ), and Ccat = 20 mmol L1 (h). The diagrams were obtained at 450 nm where the catalyst has the maximum absorption and taken along the lines indicated by arrows.89

In the next stage of the study,[89] microphase-separated gel 12 was obtained by copolymerization of Ru(acphen)(bpy)2 with AMPS, IPAAm, and MBAAm under the same conditions (see Scheme 1). The quantitative ratios of the components in the gel and the testing conditions in a CFBZ solution are given at the end of Section 3. The low-transparent piece of gel 12 demonstrated a 10 times greater amplitude of mechanical oscillations (5%) than gel 11. A 1.5- and 2-fold increase in the catalyst concentration in the gel led to increase in the oscillation amplitudes up to 7 and 10%, respectively. Thus, it was clearly demonstrated that the amplitudes of mechanical oscillations of the gel increase upon microheterogenization of the gel and upon increase in the catalyst concentration.

Porous gel 13, similar to 12 in the structure and composition of polymer matrix but based on iron complexes, was synthesized[90] by copolymerization of IPAAm, MBAAm, Fe(acphen)(phen)2 , and AMPS in a methanol solution with AIBN initiator at 60°C. The quantitative ratios of the components in the gel and the testing conditions in a CFBZ solution are given at the end of Section 3.

Structure of gel 13

When a cylindrical gel sample was immersed in a CFBZ solution, chemical oxidation waves were generated and propagated in the gel. As this took place, the gel colour changed from orange to light blue and the diameter of the oxidized part increased. The amplitude of the diameter change was 30 μm, which was about 6% of the gel diameter in the reduced state. The period of oscillations of the diameter was approximately 80 s.

Lagunova et al.[91] reported the synthesis of porous gel 14 by copolymerization of (5-acrylamido-1,10-phenanthroline)bis­(bathophenanthroline)iron(II) [Fe(acphen)(bathophen)2], IPAAm, and MBAAm. The quantitative ratios of the components in the gels and the testing conditions in a CFBZ solution are given at the end of Section 3. In order to perform the microscale phase separation of the gel, the synthesis was carried out at 70°C in an aqueous solution of DMSO using the APS – TMEDA system as the initiator. When the gel was immersed into a CFBZ solution, synchronous swelling/deswelling accompanying the catalyst oxidation/reduction took place (swelling during the oxidation and deswelling during the reduction), with the linear dimensions of the gel changing by 10% during the chemomechanical oscillations (Fig. 12).

Fig. 12
Chemical structure of gel 14 (a). Diagram of oscillations of pieces of gel 14 in a CFBZ solution containing MA (0.063 M), NaBrO3 (0.084 М), and H2SO4 (0.25 М): (b) – (d) snapshots and (e) – (g) space–time diagrams of oscillations of pieces of gel 14 containing 0.7 (a, d) – (b, e) and 1.2 (c, f ) mol.% Fe(bathophen)2(acphen). The space–time diagrams were drawn along the lines indicated by white arrows in the images. The average period of oscillations was (d) ~ 290, (e) ~ 330, and ( f ) ~ 1500 s. The vertical light (dark) bars in the space–time diagrams correspond to the oxidized (reduced) state of the catalyst.91

A non-linear relationship was found between the amplitude of chemomechanical oscillations of the gel and the catalyst concentration in the gel. The 0.5 mol.% concentration of the catalyst relative to the major monomer IPAAm caused a periodic change in the size of the gel by 3%; a concentration of 0.7 mol.% resulted in 10% change in the size, and 1 mol.% concentration caused 5% change. When the catalyst concentration was 1.2 mol.%, the direction of oscillations changed: the gel shrank during the catalyst oxidation, with the linear dimension changing by 5%, and swelled as the catalyst was reduced. This behaviour resembled the chemomechanical oscillations of acrylamide-based gels (see Section 4.1) rather than gels based on poly(N-isopropylacrylamide).

The reversal of the chemomechanical behaviour with increasing catalyst concentration can be attributed to the competition between two types of response of the polymer gel matrix to the oxidation of the incorporated catalyst. At low concentrations of the catalyst, swelling of the gel prevailed due to increased hydrophilicity of the polymer network, while at high concentrations, gel shrinking predominated due to the formation of additional physical cross-links in the gel.

While comparing the amplitudes of mechanical oscillations of gels 7 and 14, with allowance for their compositional similarity but different catalyst hydrophobicity and gel microstructure, one can conclude that the replacement of Fe(acphen)(phen)2 by more hydrophobic Fe(acphen)(bathophen)2 as well as the generation of the porous structure in the gel increases the amplitude of chemomechanical oscillations. It is noteworthy that, similarly to gel 8, gel 14 exhibits a non-linear dependence of the oscillation amplitude on the catalyst concentration, with swelling being replaced by shrinking with increasing catalyst concentration in the polymer matrix.

According to another, less widely encountered, approach to the development of poly(N-isopropylacrylamide) gels, the complex incorporated in the gel acts simultaneously as a catalyst and as a cross-linker. This structure of the gel resembles, to some extent, biological systems such as myosin motors in the muscle cells that connect actin filaments.[92] Researchers inspired by the ability of Nature to convert chemical energy into mechanical motion desired to develop autonomous gels that mimic the behaviour of muscle tissue.[69] [93]

Zhang et al.[69] used tris[N,N’-diallyl-(2,2'-bipyridine)-4,4'-dicarboxamide]ruthenium(II) [Ru(albpy)3] as a cross-linker for connecting poly(N-isopropylacrylamide) chains. By copolymerization of the Ru complex with IPAAm, the authors prepared gel 15, in which each ligand linked two polymer chains and each ruthenium atom coordinated three ligands. The BZ reaction initiated in the gel gave rise to chemomechanical oscillations with a period of 1650 s and periodic change of the relative diameter by 18%. It is worth noting that, unlike other gels based on poly(N-isopropylacrylamide), gel 15 swelled during catalyst reduction and shrinked during the oxidation. The quantitative ratios of the components in the gel and the testing conditions in a CFBZ solution are given at the end of Section 3.

Shrinking of gel 15 in the oxidized state was a contradictory result, because it was expected that an increase in the charge on the Ru(albpy)33+ complex would cause swelling of the gel. Scanning electron microscopy of gel 15 in the reduced and oxidized states confirmed shrinking of the gel upon oxidation of Ru(albpy)3. The authors explained this phenomenon by hypothesizing that the octahedral geometry of the active cross-linker Ru(albpy)3 serves as the joint centre of several polymer chains, which gives rise to dense hyper-cross-linked network in the gel. Since the Ru(albpy)3 moieties are highly restricted in movement inside the hyper-cross-linked network, upon oxidation, the complexes attract additional counter-ions into the network. The influx of counter-ions increases the electrostatic interactions between ions, which expels water molecules from the network and ultimately causes the collapse of the polymer network.

Structures of gels 15, 16

Aizenberg et al.[93] synthesized cross-linked gel 16 using ruthenium(II) bis(2,2'-bipyridine)[bis(4-vinylbenzyl)­[2,2'-bi­pyridine]-4,4'-dicarboxylate] [Ru(vbnbpy)(bpy)2] as the cross-linker. The gel was obtained by photopolymerization of a solution of Ru(vbnbpy)(bpy)2, IPAAm, and AMPS in DMSO using 2-hydroxy-2-methyl-1-phenyl-1-propanone (Darocur 1173) as the photoinitiator. The quantitative ratios of the components in the gel and the testing conditions in a CFBZ solution are given at the end of Section 3. The BZ reaction initiated in the gel gave rise to chemomechanical oscillations with a period of 51 s and a change in the diameter by 20%. Like other gels based on poly(N-isopropylacrylamide), gel 16 swelled during oxidation of the catalyst and deswelled during the catalyst reduction.

One way to increase the amplitude of chemomechanical oscillations in gels is to use catalytically active ruthenium complexes both as side groups in linear polymer chains and as catalytically active cross-links for the microphase-separated poly(N-isopropylacrylamide) matrix.[94] Mallphanov et al.[94] developed self-oscillating gel 17 (Fig. 13) cross-linked with (N4,N4'-bis[(3-(2-methylprop-2-enamido)propyl)(2,2'-bi­pyridine)-4,4'-dicarboxamide]bis(2,2'-bipyridine)rithenium(II) [Ru(dapmabpy)(bpy)2]. The self-oscillating behaviour and the chemomechanical properties of gel 17 were compared with the properties of self-oscillating gel 18 containing the catalytically active Ru(acphen)(bpy)2 complexes only as side groups in the linear polymer chains and cross-linked with inactive MBAAm and with the properties of gel 19 containing simultaneously Ru(dapmabpy)(bpy)2 and Ru(acphen)(bpy)2. The gels were synthesized in an aqueous DMSO solution at 70°C, with the APS – TMEDA system being used to initiate the copolymerization. The quantitative ratios of the components in the gels and the testing conditions in a CFBZ solution are given at the end of Section 3.

Fig. 13
Chemical structures and SEM images of the polymer matrices of gels 17 (а), 18 (b), and 19 (c).94

When immersed in a CFBZ solution, all gels exhibited self-oscillating behaviour and pronounced chemomechanical oscillations (Fig. 14). The amplitude of chemomechanical oscillations (change in the linear dimensions) of gel 17 was 3.5% for Ru(dapmabpy)(bpy)2 concentration of 1 mol.% (relative to IPAAm); gel 18 had an amplitude of 4.5% at the same concentration of Ru(acphen)(bpy)2. However, a combination of the complexes [1 mol.% Ru(dapmabpy)(bpy)2 + 1 mol.% Ru(acphen)(bpy)2] in one gel 19 did not give the mere sum of the amplitudes upon the summation of catalyst concentrations.

Fig. 14
Diagrams of oscillations of pieces of gels in a CFBZ solution with the following concentrations: [MA] = 0.063 M, [NaBrO3] = 0.084 М, [HNO3] = 0.9 М: (a), (d ), (g) snapshots of pieces of gels 17, 18, and 19, respectively, in the reduced (Ru2+) (left image) and oxidized (Ru3+) (right image) states of the complex; (b), (e), (h) space – time diagrams of pieces of gels 17, 18, and 19, respectively; (c), (f), (i) time dependences ΔS = Si /S0 (S0 is area of the piece at the initial time point, Si is area of the piece at time point i) (continuous line) and ΔU = Ui /U0 (U0 is the shade of the piece at the initial time point, Ui is the shade of the piece at time point i) (dotted line) for gels 17, 18, and 19, respectively; ( j) chemical wave propagation in a cylindrical piece of gel 19 (1 mm in diameter and 3.6 mm in height) from top downward at a velocity of approximately 0.6 mm min–1 generating a local swollen area moving together with the wave.94

The oscillation amplitude of gel 19 was not 8%, but approximately 11%, if the gel was tested as a submillimetre piece, or 16%, if the gel sample was cylindrical. In other words, the combination of cross-linking and side-group catalysts in the gel produced a greater gain in the amplitude of chemomechanical oscillations than mere summation of the contributions of both catalysts. The obtained results provided the conclusion about the synergistic catalytic effect arising when these two types of catalysts are used in a single gel.

To elucidate the causes of this phenomenon, the authors compared the plots of chemical (change in the catalyst oxidation state ΔU ) and chemomechanical (change in the area ΔS) oscillations of gel pieces (see Fig. 14). It was found that the polymer matrix of gel 19 responds to changes in the catalyst oxidation state faster than the matrices of gels 17 and 18. First, this attested to different microstructures of the obtained gels, and second, this confirmed the conclusions drawn by other authors [81][82] about the inverse dependence of the mechanical oscillation amplitudes on the time of response (change in the size) of the polymer gel matrix to the redox oscillations of the catalyst. According to SEM data (see Fig. 13), the major microstructure difference between gels 17, 18, and 19 was in the mesh size that directly influenced the packing density of the elastic components of the gel and, hence, the gel elasticity: gel 19 had a greater elastic modulus than gels 17 and 18.

To summarize the material presented in Section 3.2, it can be stated that the design of a microphase-separated structure in BZ gels made it possible to simultaneously increase the amplitudes and frequencies of their chemomechanical oscillations. This was a certain progress in this field; however, oscillations with a period of about 1 min and an amplitude of about 20% are still hardly suitable for practical applications. Therefore, attempts were made to increase the frequency and amplitude of oscillations by the design of comb-type BZ gels and macrogels composed of microgels.

3.3. Comb-type gels

The introduction of grafted side chains with mobile ends into three-dimensional polymer gel networks proved to be an effective method for increasing the amplitudes of chemomechanical oscillations. For example, Mitsunaga et al.[95] developed comb-type self-oscillating gel 20, which contained the catalytically active ruthenium complex Ru(vmbpy)(bpy)2 both in the backbone and in side chains (Fig. 15).[95]

Fig. 15
(a) Chemical structure of gel 1 and schematic view of its chemomechanical oscillations. (b) Chemical structure of gel 20 and schematic view of its chemomechanical oscillations. Orange circles correspond to Ru2+ ions, green circles are Ru3+ ions, and blue circles are water molecules.

The authors compared the self-oscillating behaviours and swelling – deswelling amplitudes of gels 1 and 20 in a CFBZ mixture. Despite the fact that the oscillation periods were almost identical (550 s) for both gels, gel 20 showed oscillations with faster and larger changes in the size than gel 1. The change ratio of the volume (linear dimensions) amounted to 31% (10%) for gel 20, which was much greater than that for 1 [7.1% (2.4%)]. This increase in the mechanical oscillation amplitudes was attributed to the fact that the deswelling rate was 5.4 times greater and the swelling rate was 7.8 times greater for gel 20 than for gel 1. This was due to the fact that the side chains with mobile ends attached to the backbone responded to changes in the oxidation state of the ruthenium complex faster than the backbones.

3.4. Gels composed of microgels

In living muscles, there is a hierarchical structure to amplify the microscopic actin – myosin movements to macroscopic displacements. According to this principle, scientists introduced a hierarchical structure into a gel and obtained macrogel 21 (Fig. 16) composed of microgels chemically cross-linked by glutaraldehyde (GA).[96] Microgels were prepared by copolymerization of IPAAm, Ru(vbnbpy)(bpy)2, APMAAm, and MBAAm in aqueous medium at 70°C.

Fig. 16
Chemical structure of gel 21 and schematic illustration of its chemomechanical oscillations. Orange circles correspond to Ru2+ ions, green circles are Ru3+ ions, and blue circles are water molecules.

The authors introduced APMAAm into the microgel as a source of free amino groups, which could be located, among other places, on the microgel surface. After the preparation of microgels, they were cross-linked to a macrogel using the chemical reaction between GA and the amino groups located on the surface of microgels. When immersed into a CFBZ solution, gel 21 exhibited pronounced chemomechanical oscillations with an amplitude of up to 13% (for the period of 278 s) caused by simultaneous microgel swelling – deswelling and cooperative dispersion–flocculation motion.

3.5. Conclusions on Section 3

In conclusion to Section 3, we would like to present comparative characteristics of the composition and self-oscillating behaviour of chemomechanical gels based on cross-linked poly(N-isopropylacrylamide) and analyze these data to draw conclusions about the current state of research in this field.

Table 1 presents the compositions of gels 1 – 21 based on cross-linked poly(N-isopropylacrylamide) indicating the names and relative concentrations of the second monomers (monomer 1 concentration was taken as 100 mol.%), cross-linker, and the catalyst; the composition of the CFBZ mixture in which the gels were tested; and the determined periods and maximum amplitudes of chemomechanical oscillations (ACO) at indicated temperatures. It can be seen from the presented data that, despite the almost 30-year history of the development of gels based on cross-linked poly(N-isopropylacrylamide), this line of research can be considered unpromising for practical application, since all such gels exhibit chemomechanical oscillations only within a limited temperature range; show minor swelling – deswelling amplitudes (changes in the linear dimension) of up 20%; and operate at frequencies of the order of hundredths of Hertz.

Comparative characteristics of gels 1 – 21
\[ \]
(1)

The attempts to solve the problem of gel collapse at elevated temperatures by modifying the major monomer (gel 4) in order to increase VPTP resulted in only a slight expansion of the operating temperature range of the gel, but did not provide any significant increase in the oscillation frequency and amplitudes. The attempts to increase the amplitudes and frequencies of chemomechanical oscillations by accelerating the response of the polymer gel matrix to redox transitions of the catalyst via the design of microphase-separated structure (gels 10, 12 – 14, 16 – 19), comb type structure (gel 20), or macrostructure (gel 21) did not induce a pronounced increase in the chemomechanical oscillation frequencies or amplitudes. The highest-frequency gel 4 show oscillations with a period of approximately ~ 30 s at 37°C, i.e., about 0.03 Hz. The greatest amplitudes of chemo­mechanical oscillations are characteristic of gels 1, 10, 15, 16, and 19, but they still do not exceed 20%.

4. Gels based on other polymer matrices

Despite the wide popularity of poly(N-isopropylacrylamide)-based gels among researchers working with chemomechanical materials, the practical potential of these gels remains questionable due to both the thermal sensitivity of poly(N-isopropylacrylamide) and the low frequencies (0.001 – 0.01 Hz) and amplitudes (2 – 20%) of chemomechanical oscillations of such gels. Although the frequency of BZ oscillations in the solution can be increased by increasing the temperature, this approach is inapplicable to BZ gels based on poly(N-isopropylacrylamide), as they collapse at temperatures reaching VPTP. In this regard, numerous attempts have been made to design self-oscillating gels based on thermally insensitive polymer matrices, such as cross-linked polyacrylamide, polyvinylpyrrolidone, polyacrylic acid, and poly(ethylene glycol methacrylate).

4.1. Gels based on cross-linked polyacrylamide

The development self-oscillating gels based on cross-linked polyacrylamide was first reported by I.Yu.Konotop, I.R.Nasimova, N.G.Rambidi, and A.R.Khokhlov,[67][68] in 2009 and 2011.

The authors[67][68] designed the cross-linked poly[acrylamide-co-acrylate-co-N,N'-methylenebis(acrylamide)] gel (gel 22) and the composite of poly(acrylamide-co-N,N'-methylenebis­(acrylamide)] with silica gel (gel 23). Gel 22 was synthesized in an aqueous medium by free radical copolymerization of sodium acrylate with acrylamide (AAm) and MBAAm. Composite gel 23 was obtained by free radical polymerization of AAm in water in the presence of Na2SiO3 and MBAAm. The APS – TMEDA redox system was used to initiate polymerization. After impregnation with ferroin [Fe(phen)32+] and immersion into a CFBZ solution, the gels showed chemomechanical oscillations (up to 15%): they shrank during ferroin oxidation and swelled during ferroin reduction.

Structures of 22, 23, and ferroin

The swelling ratios of the gels in equilibrium, where the catalyst in the gel is permanently in either oxidized or reduced state, were determined. It was found that as the catalyst is converted from the reduced state [Fe(phen)32+] to the oxidized state [Fe(phen)33+], the gels shrinks. This prompted researchers to assume that this phenomenon is due to the formation of new physical cross-links within the gels as the catalyst oxidation state increases.

It was also found that for samples the diameter of which is smaller than some threshold value (0.7 mm for gel 22 and 0.95 mm for gel 23), no mechanical oscillations are observed upon the BZ reaction.

However, in gels of this type obtained by catalyst immobilization in a cation exchanger or silica gel, the catalyst can be washed out with time in the acidic medium characteristic of the BZ reaction. Gel 22 prepared by immobilization of Fe(phen)32+ in the polymer network showed a relatively high amplitude of chemomechanical oscillations, but BZ reaction was accompanied by gradual washing out of the catalyst to the solution, which in turn caused damping of the chemomechanical oscillation amplitude.

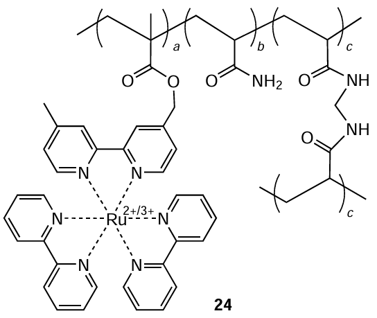
Yuan et al.[66] obtained gel 24 by photocopolymerization of the bis(2,2'-bipyridine)(4-methacryloylmethyl-4'-methyl-2,2'-bipyridine)ruthenium(II) catalyst [Ru(mpmbpy)(bpy)2] with AAm and MBAAm in the presence of 2-hydroxy-2-methyl-1-phenylpropan-1-one as the initiator. The immersion of a 2.0 × 0.65 × 0.02 mm slab of gel 24 in a CFBZ solution resulted in the generation and propagation of chemical waves caused by periodic catalyst oxidation and inducing shrinking of the gel as the propagated; the observed decrease in the slab width was approximately 11%. When the catalyst was reduced, the width of the slab increased to the original values. The authors suggested that the increase in the charge on the catalyst upon oxidation could lead to a stronger association of the catalyst with polar groups in the gel side chains. These associations, that is, reversible cross-links that are formed only when the catalyst is in the oxidized state and, correspondingly, are broken when the catalyst is reduced, generate osmotic pressure that expels water from the polymer matrix and, consequently, led to gel shrinking upon the catalyst oxidation.

Structure of gel 24

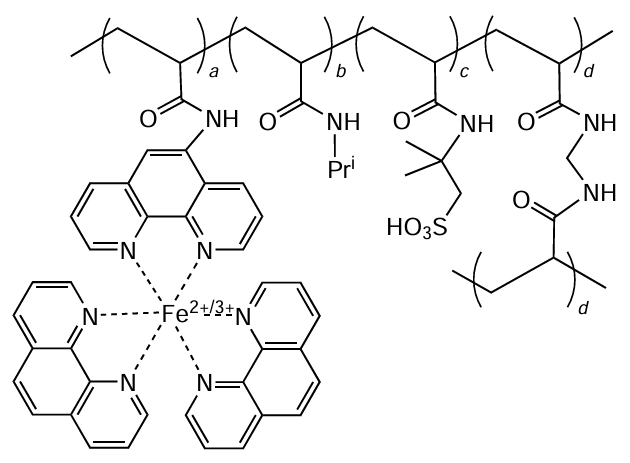
As a rule, researchers that develop and study self-oscillating gels use only catalytically active ruthenium or iron complexes for immobilization in the gels in which these complexes serve as a sort of chemical engines for the appearance of chemomechanical oscillations. In this regard, of particular interest is the study by Mallphanov et al.,[97] who synthesized the first self-oscillating gels based on cobalt complexes. Using (5-acrylamido-1,10-phenanthroline)bis(2,2'-bipyridine)cobalt(II) [Co(acphen)(bpy)2], (5-acrylamido-1,10-phenanthroline)bis(1,10-phenanthroline)cobalt(II) [Co(acphen)(phen)2], and tris(5-acrylamido-1,10-phenanthroline)cobalt(II) [Co(acphen)3], the authors synthesized gels 25, 26, and 27 (Scheme 2), correspondingly. Gels 25 and 26 were prepared by copolymerization of Co(acphen)(bpy)22+ or Co(acphen)(phen)22+ with AAm and MBAAm, which acted as a cross-linker. Gel 27 was obtained by copolymerization of Co(acphen)32+ with only AAm, since the complex acted simultaneously as a catalyst and as a cross-linker. The APS – TMEDA redox system was used to initiate polymerization.

Scheme 2

When the above gels were immersed in a CFBZ solution, all of them exhibited self-oscillating behaviour by periodically becoming yellow and orange upon oxidation or reduction of the catalyst (Fig. 17). Digital analysis of the recorded data further confirmed the presence of autonomous periodic oscillations within the gels.

Fig. 17
Diagrams of oscillation of pieces of gels 25, 26, and 27 in a CFBZ solution: (a, d, g) snapshots of pieces of gels 25, 26, and 27 in the reduced (left image) and oxidized (right image) states of cobalt complexes in the gels; (b, e, h) space – time diagrams for the pieces of gels 25, 26, and 27 drawn along the lines indicated by arrows (vertical yellow/orange stripes show the oxidized/reduced states of the cobalt complexes); (c, f, i) time dependences of the colour intensity of gels 25, 26, and 27. CFBZ solution: MA = 0.05 M, NaBrO3 = 0.1 M, H2SO4 = 0.5 M.97

In addition, the piece of gel 27 slightly shrinks (swells) when the catalyst is in the oxidized (reduced) states. The periodic changes in size amount to approximately 0.5%. The authors suggested that gel shrinking is due to the increase in the charge on the oxidized catalyst, which induces stronger catalyst interactions with the polar groups of the gel side chains. The oxidation of the complex gives rise to additional cross-links, which causes shrinking of the gel; upon reduction, the cross-links are broken, and the gel returns to the initial size. In the shrinking of the polyacrylamide polymer matrix in response to the catalyst oxidation, the prepared gel resembled the behaviour of similar gels 22 – 24 containing iron or ruthenium complexes, although the amplitude of chemomechanical oscillations was much smaller for gel 27.

4.2. Gels based on cross-linked poly(N-vinylpyrrolidone)

The first self-oscillating BZ gel based on cross-linked poly(N-vinylpyrrolidone) was developed in 2009 by S.Nakamaru, S.Maeda, Y.Hara, and S.Hashimoto research group.[98] The authors chose thermally insensitive and biocompatible cross-linked poly(N-vinylpyrrolidone) as the main polymer matrix for self-oscillating gel 28, which was synthesized by copoly­merization of N-vinylpyrrolidone (VP), Ru(vmbpy)(bpy)2, and MBAAm using AIBN as an initiator.

Structure of gel 28

The immersion of gel 28 in a CFBZ solution gives rise to chemomechanical oscillations, the frequency of which can be controlled by changing the temperature. As a result, researchers were able for the first time to induce relatively high-frequency (0.5 Hz) swelling – deswelling self-oscillations. Upon immersion into a CFBZ solution, gel samples (2 × 20 mm) exhibited periodic changes in size, which were 10 and 4 μm at 20 and 50°C, respectively. At 20°C, gel 28 oscillated with a period of approximately 40 s, while at 50°C, the oscillation period was 2 s, which is several tens of times less than those for gels based on cross-linked poly(N-isopropylacrylamide).

4.3. Gels based on cross-linked polyacrylic acid

In some studies, attempts were made to use cross-linked polyacrylic acid as the matrix for self-oscillating gels, instead of polymers based on IPAAm, AAm, and VP.[99-101] This was done, first of all, to introduce an internal source of protons into the gel, which would eliminate the need to use mineral acid in the CFBZ mixture. Strong mineral acids cause gel degradation both due to hydrolysis of amide groups[102-105] and due to decomposition of the catalyst;[97] therefore, the replacement of mineral acids by milder carboxylic acid as a part of the gel would markedly extend the period of functioning.

The first gel of this type 29 (Fig. 18) was synthesized by copolymerization of Fe(acphen)(phen)2, VP, acrylic acid (AA), and MBAAm using APS as an initiator.[99] The gel was formed as a reddish cylinder; when immersed into a CFBZ solution (containing no mineral acid, but containing only malonic acid and bromate), the gel cylinder turned blue (swelled) as the catalyst was oxidized and turned red (deswelled) as the catalyst was reduced. The self-oscillations of colour took place synchronously with the chemical wave propagation along the cylinder, with the diameter oscillation amplitude being approximately 5% of the initial value and the oscillation period being approximately 250 s. The chemical wave velocity was ~ 50 μm s–1. It was shown that the swelling–deswelling response of the self-oscillating gel was sufficiently fast to generate volume oscillations during the propagation of the chemical wave in the gel.

Fig. 18
Chemical structure of gels 29, 30, and 31. (а, b, c) Images of pieces of self-healing gel 31: (а) the gel is cut, (b) the gel is again connected, (c) and the gel is restored. (d) Time dependence of the displacement of a part of oscillating gel 30.101

As a continuation of the previous study, self-oscillating gel 30 was obtained (see Fig. 18);[100] it was similar in composition to gel 29, but β-cyclodextrin was additionally introduced into the gel. When the gel was immersed into a CFBZ solution containing no mineral acid, but containing only malonic acid and bromate, swollen areas appeared and propagated in the gel, in the same way as in gel 29. The diameter oscillation amplitude in gel 30 was two times greater than that for gel 29, being 10% of the initial diameter, while oscillations could last for a few hours.

Lagunova et al.[101] reported gel 31 containing cerium ions (see Fig. 18). When immersed in a CFBZ solution, a sample of gel 31 with approximately 1 mm size started to periodically oscillate like a pendulum, with the position of the oscillating part being changed with a period of 480 s and a displacement of approximately 150 – 200 μm. In addition, the resulting gel exhibited self-healing properties. If a sample of the gel was cut and then the pieces were connected, they merged together and the gel integrity was restored.

4.4. Gels based on cross-linked poly[oligo(ethylene glycol) methacrylate]

An interesting method was utilized by Inui et al.,[106] who prepared macrogel 32 (sample size of approximately 1 mm) by cross-linking of microgels synthesized by copolymerization of oligo(ethylene glycol) methacrylate (OEGMA), oligo(ethylene glycol) dimethacrylate (OEGDMA), and Ru(vmbpy)(bpy)2 in an aqueous medium using 2,2'-azobis(2-methylpropionamidine) dihydrochloride as a polymerization initiator. The resulting microgels with a diameter of approximately 272 nm were treated with a solution of polyvinyl alcohol (PVA)[107] and then cross-linked with GA,[108] thus forming a macrogel, which exhibited periodic swelling – deswelling oscillations with an amplitude of 5% and a period of ~ 6.2 s when immersed in a CFBZ solution at 37°C. The authors proposed using these gels as biomimetic materials, for example, in self-oscillating micropumps that operate at frequencies similar to those of the human heart and at temperatures close to the human body temperature.

Structure of gel 32

4.5. Conclusions on Section 4

The attempts to develop self-oscillating chemomechanical gels based on polymer matrices other than thermally sensitive poly(N-isopropylacrylamide) did not lead to breakthrough or practically valuable results either, although a number of useful research and design works were performed.

Table 2 summarizes the compositions of gels 22 – 32, indicating the names and relative concentrations of the second monomer (the concentration of monomer 1 was taken as 100 mol.%), cross-linkers, and the catalysts; composition of the CFBZ mixture in which the gels were tested; and the determined periods and maximum amplitudes of chemomechanical oscillations at the indicated temperatures.

Comparative characteristics of gels based on other polymer matrices
\[ \]
(2)

It can be seen from the presented data that the problem of low oscillation frequency has been solved and the operating temperature range was extended by developing relatively high-frequency gel 28 based on poly(N-vinylpyrrolidone), which exhibited oscillations with a period of 2 s at 50°C, although the swelling–deswelling amplitude was negligibly small. Considerable benefits of poly(N-vinylpyrrolidone) as a material for such gels, besides the absence of thermal sensitivity, are chemical stability and biocompatibility.

The developed gels 29 and 30 that do not require strong mineral acids in the CF-BZ mixture and are capable of functioning for a long time only with the addition of bromate and malonic acid.

Special mention should be made of new self-oscillating gels activated by the redox transitions of cobalt complexes (gels 25 – 27) or cerium ions (gel 31), which extended the diversity of the gels and initiated new routes to the design of such gels. Macrogel 32, capable of functioning and demonstrating relatively frequent (period of 6.2 s at 37°C) oscillations with an amplitude of 5% has been developed.

If we evaluate the amplitudes of chemomechanical oscillations among thermally insensitive gels, gels 24 and 30 showed the best results, demonstrating 11% and 10% periodic changes in linear dimensions, respectively. In addition, gel 24 has an order of magnitude smaller oscillation period (20 s), which makes it promising for further modifications in order to increase the amplitude and decrease the period of chemomechanical oscillations.

Gels 22 and 23, although demonstrate relatively large amplitudes of chemomechanical oscillations, but, since they are actually cation exchangers, they are poorly applicable for long-term functioning in the BZ reaction due to washing out of the catalyst in a low pH medium.

5. Devices based on Belousov – Zhabotinsky gels

Belousov – Zhabotinsky gels capable of autonomously and periodically change their sizes have long attracted attention of engineers and researchers as promising materials for the development of chemomechanical devices such as actuators, conveyors, and soft robot components. This Section discusses chemomechanical devices, most promising in our opinion, that convert periodic changes in the volume of BZ gels into the movement of the gel itself or transport of solid objects, liquids, and gases by the gel.

5.1. Self-walking gel

Yoshida and co-workers[75][86] reported the design of self-walking gel 33 (Fig. 19) capable of moving in space. The gel was prepared by copolymerization of IPAAm, Ru(vmbpy)(bpy)2, AMPS, and MBAAm. To endow the gel with the ability to repeatedly bend, the authors designed a gradient structure by conducting polymerization of the pregel between two different plates: a hydrophilic glass plate and a hydrophobic Teflon plate (see Fig. 19). Since Ru(vmbpy)(bpy)2 was more hydrophobic than other components, it moved towards the hydrophobic plate, whereas more hydrophilic AMPS migrated towards the hydrophilic glass plate. This phenomenon led to a gradient distribution of the concentrations of these components in gel 33. The gel swelling was more pronounced on the side where the concentration of hydrophilic AMPS was higher, and conversely, it was less pronounced on the side containing a higher concentration of hydrophobic Ru(vmbpy)(bpy)2. In water, the gel bent towards the surface that contained less AMPS and more Ru(vmbpy)(bpy)2. To convert the periodic bending and stretching into translational motion, the authors used a ratchet floor with an asymmetrical surface structure.

Fig. 19
Chemical structure (a) and operation principle of self-walking gel 33: (b) formation of a gradient gel by polymerization between glass and Teflon plates; (c) migration of the catalyst [Ru(bpy)3 = Ru(vmbpy)(bpy)2] to the Teflon plate; (d) periodic catalyst oxidation/reduction results in chemomechanical oscillations and gel movement.75, 86

When the self-oscillating gel was placed on this floor and the BZ reaction was initiated in the gel, the gel was bent and stretched, but since the backward sliding was prevented by the structure of the floor, the gel could move only forward. During stretching of the gel, the front edge could slide forward along the floor, but the rear edge remained immobile. Meanwhile, during bending, the front edge could not move, while the rear edge moved forward. This process was repeated many times and, as a result, the gel walked on the floor. The period of chemical oscillations was approximately 112 s, and the velocity of the gel was 30 – 85 μm s–1 (see Fig. 19).

5.2. Artificial cilia

An series of publications that appears to be interesting is combined by the common idea of creating devices that mimic the ciliary movement of living organisms.[109-113]

For example, scientists designed a chemomechanical robot from gel 34, similar to gel 1 [the difference was in the component ratio used in the synthesis of gel 34: IPAAm : Ru(vmbpy)(bpy)2 : MBAAm = 100 : 1.3 : 1.3], which had a lot of cilia as motion generators. The length, width, and height of the robot were 2.5, 1.0, and 2.2 mm, respectively. The cilia were 1.5 mm long and 0.2 mm in diameter. When the robot was immersed into a CFBZ solution with the cilia pointing to the floor, a chemical wave appeared in the gel and generated the peristaltic motion of the cilia, which moved according to propagation of the swelling – deswelling process in the gel (Fig. 20). The robot had an asymmetrical structure to shift the centre of gravity toward the head and set a specific direction of movement. During the experiment, the robot moved forward by approximately 80 μm in 6 h.

Fig. 20
Schematic view of the chemical wave passing through the polymer matrix of self-oscillating gel 34 immersed in a CFBZ solution. The peristaltic ciliary movement is generated in the gel, causing the robot to move in the direction indicated by the arrow.

5.3. Peristaltic conveyor

Belousov – Zhabotinsky gel 10 described in Section 3.2 (with AMPS concentration of 1.75 mol.%) was used to design a conveyer (Fig. 21).[75] The periodic changes in the thickness of gel 10 during the BZ reaction and the propagation of a chemical wave in a definite direction made it possible to move a lightweight polyacrylamide cylinder with a diameter of 750 μm and a length of 1500 μm over the surface of gel 10.

Fig. 21
Principle of action of a conveyer based on gel 10: (a) periodic changes in the size of gel 10 during swelling – deswelling gives rise to a chemical wave that transports the cylinder over the gel surface. Self-oscillations are due to the periodic oxidation and reduction of the Ru(bpy)32+/3+ catalyst; (b) snapshots of the cylinder movement. Figure b75 is published under the Creative Commons CC BY license.

5.4. Peristaltic pump based on tubular gel

Further development of works in the field of self-oscillating gels for the design of transport systems resulted in the design of a tube-shaped peristaltic pump system (Fig. 22).[114] This system mimicked functioning of living systems such as blood vessels and the intestines.

Fig. 22
Principles of operation of tubular gel 35 for peristaltic transport. Orange colour corresponds to the gel containing Ru(bpy)32+ and green colour corresponds to the gel with Ru(bpy)33+. In the Ru(bpy)33+ zone, the gel swelling is accompanied by a decrease in the inner diameter of the gel, which leads to compression and movement of the carbon dioxide bubble.

A tube of gel 35 [IPAAm, 93 mol.%; Ru(vmbpy)(bpy)2, 1 mol.%; MBAAm, 5 mol.%] similar to gel 1 was prepared by photopolymerization. A CFBZ solution was fed into a tube and the arising self-oscillation processes were studied. The Belousov–Zhabotinsky reaction resulted in the formation of CO2 , which spontaneously formed bubbles inside the tube, while the arising mechanical self-oscillations resulted in the bubble movement.

5.5. Hydraulic pump

An interesting example of converting the energy of a chemical reaction into useful mechanical work is the design of hydraulic pump (Fig. 23) driven by periodic shrinking of a gel [component ratio in gel 36: IPAAm : Ru(vmbpy)(bpy)2 : MBAAm : AMPS = 100 : 1.6 : 0.8 : 1.7] similar to gel 10.[115][116] The periodic chemomechanical oscillations of the gel induced motion of a polydimethylsiloxane membrane, which, in turn, pressed the oil in a tank, thus causing regular changes in the oil level in a tube connected to the tank.

Fig. 23
(a) Diagram of the hydraulic pump powered by self-oscillating gel 36. (b) Time profiles of the oil level and average hue value of BZ gels in the pump.116 Published under the Creative Commons CC BY license.

The authors were able to estimate the power generated by the actuator, which amounted to 5.76 × 10−2 nW.

6. Autonomous self-oscillating gels based on iodate – hydroxymethanesulfinic acid system

Currently, self-oscillating chemomechanical gels other than BZ gels that demonstrate autonomous volume oscillations under stationary conditions have been hardly mentioned in the scientific literature. As has already been noted in the Introduction, pH-responsive gels that show periodic volume changes when immersed in pH oscillators cannot be considered autonomous, as they are unable to undergo periodic oscillations under stationary conditions. Therefore, of particular interest is the study in which the authors used an analogue of ‘iodine clock’ reaction, namely, the iodate–hydroxymethanesulfinic acid system, for autonomous assembly and disassembly of the gel.[117]

The authors used the reaction between iodate (IO3) and hydroxymethanesulfinic acid (HOCH2SO2H)[118] for the periodic generation and consumption of iodine, which can serve as a temporary cross-linking agent for linear polyvinyl alcohol. Owing to a set of coupled reactions, this system (IO3 – HOCH2SO2H) behaves as a chemical oscillator (Fig. 24).

Fig. 24
Reactions of the IO-3 – HOCH2SO2H chemical oscillator with polyvinyl alcohol (PVA).117 Published under the Creative Commons CC BY license.

Hydroxymethanesulfinic acid reacts with iodate to form the iodide ion, which is oxidized by iodate to iodine, which in turn reacts again with hydroxymethanesulfinic acid present in excess to form iodide.

If polyvinyl alcohol, which can form complexes with iodine, is added to this chemical oscillator, the generated iodine reversibly cross-links polyvinyl alcohol to form a gel, which breaks down again when the iodine is consumed in the reaction with hydroxymethanesulfinic acid.

The authors initiated the reaction by adding NaHSO4 to an aqueous mixture of IO3, HOCH2SO2H, and polyvinyl alcohol in a Petri dish; after some period of time, islands of dark blue gel appeared in the liquid layer and later they started to spontaneously disappear (Fig. 25). It can be seen that the gel is formed rather slowly, and the subsequent dissolution of the gel requires approximately ten times more time than the gel formation from the solution. Despite the low rate of these autonomous oscillations of the sol – gel – sol type, the authors considered the developed system to be promising for the design of chemomechanical actuators.

Fig. 25
Photographs showing the successive autonomous sol – gel – sol transitions in the iodate – hydroxymethanesulfinic acid – polyvinyl alcohol system.117 Published under the Creative Commons CC BY license.

7. Conclusion

We have considered most of the types of autonomous self-oscillating chemomechanical gels driven by the BZ reaction existing to our knowledge and provided examples of the design of simple chemomechanical devices based on them. Analysis of the presented material provides the conclusion that this, yet relatively new, research area at the intersection of polymer chemistry and nonlinear chemistry is at the stage of development and collection of experimental data, and the results are still far from any practical or, the more so, industrial applications. Currently, this area is of considerable interest, first of all, for fundamental research in nonlinear chemistry, polymer chemistry, and the development and manufacture of smart materials and biomimetic devices.

Considering the examples of chemomechanical devices based on autonomous self-oscillating BZ gels, note that they are developed, in the most cases, using various sorts of thermally sensitive poly[N-isopropylacrylamide-co-bis(2,2'-bipyridine)­(4-vinyl-4'-methyl-2,2'-bipyridine)ruthenium(II)-co-2-acryl­amido-2-methylpropanesulfonic acid-co-N,N'-methylenebis­(acrylamide)] gel. In fact, at present, this gel can be considered to be the pinnacle of the evolution of autonomous self-oscillating chemomechanical gels. This gel exhibits swelling – deswelling oscillations with an amplitude of up to 20%, which is nevertheless much smaller than the amplitudes of the chemomechanical oscillations of, for example, non-autonomous pH-responsive gels, which can reach thousands of percent.[119-121]

As regards the whole range of autonomous self-oscillating BZ gels developed to date, it is necessary to note the lack of diversity in the catalytically active metal complexes used for this purpose. The vast majority of gels were obtained using ruthenium and iron complexes, despite the fact that complexes of many other metals, including widely available ones such as copper, nickel, and chromium, are capable of catalyzing the BZ reaction.[53][122][123]

Considering the prospects for the design of new autonomous self-oscillating gels that mimic the operation of natural actuators and demonstrate high-frequency and high-amplitude chemo­mechanical oscillations, mention should be made of the approach that implies the assembly of macrogels from submicron microgels with the goal to achieve a synergistic effect of the combination of swelling – deswelling oscillations and cooperative dispersion – flocculation motion. The approach that uses catalytically active cross-linkers and their combinations with conventional catalysts in gels also deserves attention.

In our opinion, it is expedient to use these approaches (both separately and simultaneously) to develop gels based on cross-linked poly(N-vinylpyrrolidone) and polyacrylamide.

In addition, in our opinion, it is necessary to extend the range of catalysts of the BZ reaction used to prepare self-oscillating chemomechanical gels. Since copper, nickel, and chromium complexes also catalyze the BZ reaction, we believe that these complexes, together with polymer matrices that have proved to be effective with iron and ruthenium complexes, should be used to design gels and to study them in the BZ reaction.

Obviously, the attempt to use the iodate–hydroxymethane sulfinic acid chemical oscillator to develop self-oscillating gels is interesting and innovative, although this area is still in its infancy and it is too early to consider any practical prospects.

This review was supported by the Strategic Academic Leadership Program ‘Priority 2030’ of the Immanuel Kant Baltic Federal University.

8. List of abbreviations and symbols

AAm — acrylamide;

AA — acrylic acid;

ACO — amplitude of chemomechanical oscillations (change in the linear dimension) expressed in percent;

AMPS — 2-acrylamido-2-methylpropanesulfonic acid;

APMAAm — N-(3-aminopropyl)methacrylamide;

APS — ammonium persulfate;

BZ reaction — Belousov – Zhabotinsky reaction;

CFBZ — catalyst-free aqueous solution of BZ reaction components;

BZ gel — a gel demonstrating chemomechanical oscillations upon immersion into the CFBZ solution;

β-CD — β-cyclodextrin;

DMAAm — N,N-dimethylacrylamide;

EMAAm — N-ethyl-N-methylacrylamide;

GA — glutaraldehyde;

IPAAm — N-isopropylacrylamide;

IPMAAm — N-isopropylmethacrylamide;

MA — malonic acid;

MBAAm — N,N'-methylenebis(acrylamide);

OEGDMA — oligo(ethylene glycol) dimethacrylate;

OEGMA — oligo(ethylene glycol) methacrylate;

TMEDA — N,N,N,N-tetramethylethylenediamine;

VP — N-vinylpyrrolidone;

VPTP — volume phase transition temperature.

References

3.
Recent developments in self-oscillating polymeric systems as smart materials: from polymers to bulk hydrogels
Kim Y.S., Tamate R., Akimoto A.M., Yoshida R.
Materials Horizons, Royal Society of Chemistry (RSC), 2017
4.
Mechanical Regulation of Polymer Gels
Xu C., Chen Y., Zhao S., Li D., Tang X., Zhang H., Huang J., Guo Z., Liu W.
Chemical Reviews, American Chemical Society (ACS), 2024
6.
Chemo-responsive, self-oscillating gels that undergo biomimetic communication
Kuksenok O., Dayal P., Bhattacharya A., Yashin V.V., Deb D., Chen I.C., Van Vliet K.J., Balazs A.C.
Chemical Society Reviews, Royal Society of Chemistry (RSC), 2013
7.
Microchemomechanical Systems
Randhawa J.S., Laflin K.E., Seelam N., Gracias D.H.
Advanced Functional Materials, Wiley, 2011
8.
The energy flow and mechanical modeling of soft chemo-mechanical machines
Chen L., Xue Y., Chen W., Zhang M., Chen X., Cao X., Zhang Z., Li G., Li T.
Journal of Applied Physics, AIP Publishing, 2018
9.
Recent progress of biomimetic motions—from microscopic micro/nanomotors to macroscopic actuators and soft robotics
Zeng H., Wang Y., Jiang T., Xia H., Gu X., Chen H.
RSC Advances, Royal Society of Chemistry (RSC), 2021
10.
Electrochemically-driven actuators: from materials to mechanisms and from performance to applications
Yang L., Zhang Y., Cai W., Tan J., Hansen H., Wang H., Chen Y., Zhu M., Mu J.
Chemical Society Reviews, Royal Society of Chemistry (RSC), 2024
11.
Self-sustainable autonomous soft actuators
Nie Z., Wang M., Yang H.
Communications Chemistry, Springer Nature, 2024
12.
Autonomous Soft Robots: Self-regulation, Self-sustained, and Recovery Strategies
Zhu C., Liu B., Zhang L., Xu L.
Chinese Journal of Polymer Science (English Edition), Springer Nature, 2025
14.
J.W.Breitenbach, H.Karlinger. Monatsh. Chem., 80, 211 (1949)
15.
Reversible Dilation and Contraction by Changing the State of Ionization of High-Polymer Acid Networks
KUHN W., HARGITAY B., KATCHALSKY A., EISENBERG H.
Nature, Springer Nature, 1950
16.
Solutions of polyelectrolytes and mechanochemical systems
Katchalsky A.
Journal of Polymer Science, Wiley, 1951
17.
Poly(N-isopropylacrylamide): experiment, theory and application
19.
Fabrication and characterization of hydrogel-based microvalves
Liu R.H., Qing Yu, Beebe D.J.
Journal of Microelectromechanical Systems, Institute of Electrical and Electronics Engineers (IEEE), 2002
20.
Dynamic swelling behavior of pH-sensitive anionic hydrogels used for protein delivery
Kim B., La Flamme K., Peppas N.A.
Journal of Applied Polymer Science, Wiley, 2003
21.
Nanocomposite Hydrogel with High Toughness for Bioactuators
Shin M.K., Spinks G.M., Shin S.R., Kim S.I., Kim S.J.
Advanced Materials, Wiley, 2009
23.
pH-Responsive polymers
Kocak G., Tuncer C., Bütün V.
Polymer Chemistry, Royal Society of Chemistry (RSC), 2017
24.
Comb-type grafted hydrogels with rapid deswelling response to temperature changes
Yoshida R., Uchida K., Kaneko Y., Sakai K., Kikuchi A., Sakurai Y., Okano T.
Nature, Springer Nature, 1995
25.
Effect of Nanoconfinement on the Collapse Transition of Responsive Polymer Brushes
Jonas A.M., Hu Z., Glinel K., Huck W.T.
Nano Letters, American Chemical Society (ACS), 2008
27.
Self-folding all-polymer thermoresponsive microcapsules
Stoychev G., Puretskiy N., Ionov L.
Soft Matter, Royal Society of Chemistry (RSC), 2011
28.
Thermoresponsive actuation enabled by permittivity switching in an electrostatically anisotropic hydrogel
Kim Y.S., Liu M., Ishida Y., Ebina Y., Osada M., Sasaki T., Hikima T., Takata M., Aida T.
Nature Materials, Springer Nature, 2015
30.
Artificial Muscle Material with Fast Electroactuation under Neutral pH Conditions
Moschou E.A., Peteu S.F., Bachas L.G., Madou M.J., Daunert S.
Chemistry of Materials, American Chemical Society (ACS), 2004
31.
Behavior in electric fields of smart hydrogels with potential application as bio-inspired actuators
Kim S.J., Kim H.I., Park S.J., Kim I.Y., Lee S.H., Lee T.S., Kim S.I.
Smart Materials and Structures, IOP Publishing, 2005
32.
Synthesis of a graphene oxide–polyacrylic acid nanocomposite hydrogel and its swelling and electroresponsive properties
Tai Z., Yang J., Qi Y., Yan X., Xue Q.
RSC Advances, Royal Society of Chemistry (RSC), 2013
33.
Soft Robotic Manipulation and Locomotion with a 3D Printed Electroactive Hydrogel
Han D., Farino C., Yang C., Scott T., Browe D., Choi W., Freeman J.W., Lee H.
ACS applied materials & interfaces, American Chemical Society (ACS), 2018
34.
Vapor phase polymerization of Ag QD-embedded PEDOT film with enhanced thermoelectric and antibacterial properties
Shi W., Yao Q., Donghui W., Qu S., Chen Y., Lee K.H., Chen L.
NPG Asia Materials, Springer Nature, 2022
35.
Reduced Graphene Oxide-Containing Smart Hydrogels with Excellent Electro-Response and Mechanical Properties for Soft Actuators
Yang C., Liu Z., Chen C., Shi K., Zhang L., Ju X., Wang W., Xie R., Chu L.
ACS applied materials & interfaces, American Chemical Society (ACS), 2017
36.
A.Wassermarn. In Size and Shape Changes of Contractile Polymers. (New York: Pergamon Press, 1960)
38.
Self-oscillating swelling and deswelling of polymer gels
Yoshida R., Ichijo H., Hakuta T., Yamaguchi T.
Macromolecular Rapid Communications, Wiley, 1995
39.
Novel oscillating swelling-deswelling dynamic behaviour for pH-sensitive polymer gels
Yoshida R., Yamaguchi T., Ichijo H.
Materials Science and Engineering C, Elsevier, 1996
40.
Self-Oscillating Gel
Yoshida R., Takahashi T., Yamaguchi T., Ichijo H.
Journal of the American Chemical Society, American Chemical Society (ACS), 1996
41.
Beating polymer gels coupled with a nonlinear chemical reaction
Yoshida R., Kokufuta E., Yamaguchi T.
Chaos, AIP Publishing, 1999
42.
Aspects of the Belousov−Zhabotinsky Reaction in Polymer Gels
Yoshida R., Onodera S., Yamaguchi T., Kokufuta E.
Journal of Physical Chemistry A, American Chemical Society (ACS), 1999
43.
Self-Oscillating Nanogel Particles
Sakai T., Yoshida R.
Langmuir, American Chemical Society (ACS), 2004
44.
In-Phase Synchronization of Chemical and Mechanical Oscillations in Self-Oscillating Gels
Yoshida R., Tanaka M., Onodera S., Yamaguchi T., Kokufuta E.
Journal of Physical Chemistry A, American Chemical Society (ACS), 2000
45.
Design of Functional Polymer Gels and Their Application to Biomimetic Materials
Yoshida R.
Current Organic Chemistry, Bentham Science Publishers Ltd., 2005
46.
Self-Oscillating Polymer and Gels as Novel Biomimetic Materials
Yoshida R.
Bulletin of the Chemical Society of Japan, Oxford University Press, 2008
47.
Mechanical Oscillation Coupled with the Belousov−Zhabotinsky Reaction in Gel
Sasaki S., Koga S., Yoshida R., Yamaguchi T.
Langmuir, American Chemical Society (ACS), 2003
48.
Chemical micro-oscillators based on the Belousov–Zhabotinsky reaction
Mallphanov I.L., Vanag V.K.
Russian Chemical Reviews, Autonomous Non-profit Organization Editorial Board of the journal Uspekhi Khimii, 2021
49.
B.P.Belousov. A Periodic Reaction and its Mechanism, in Collection of Short Papers on Radiation Medicine for 1958. (Moscow: Med. Publ., 1959)
50.
Mechanism and Phenomenology of an Oscillating Chemical Reaction
Taylor A.F.
Progress in Reaction Kinetics and Mechanism, SAGE, 2002
51.
Bubble-free System for Belousov-Zhabotinsky Gels
Otsuka Y., Sato Y., Maeda S.
Chemistry Letters, Oxford University Press, 2020
52.
Pulse waves under an electric field in the Belousov–Zhabotinsky reaction with pyrogallol as substrate
Pornprompanya M., Müller S.C., Ševčíková H.
Physical Chemistry Chemical Physics, Royal Society of Chemistry (RSC), 2002
54.
Complex iron ions as catalysts for the autooscillating oxidation of malonic acid and its analogs with bromate
Vavilin V.A., Gulak P.V., Zhabotinskii A.M., Zaikin A.N.
Russian Chemical Bulletin, Springer Nature, 1969
56.
R.J.Field, M.Burger. Oscillations and Traveling Waves in Chemical Systems. (New York: Wiley, 1985)
57.
Mechanistic details of the oscillatory Belousov-Zhabotinskii reaction
Gyorgyi L., Turanyi T., Field R.J.
The Journal of Physical Chemistry, American Chemical Society (ACS), 1990
58.
Oscillations in chemical systems. II. Thorough analysis of temporal oscillation in the bromate-cerium-malonic acid system
Field R.J., Koros E., Noyes R.M.
Journal of the American Chemical Society, American Chemical Society (ACS), 1972
59.
Oscillations in chemical systems. IV. Limit cycle behavior in a model of a real chemical reaction
Field R.J., Noyes R.M.
Journal of Chemical Physics, AIP Publishing, 1974
61.
Control of waves, patterns and turbulence in chemical systems
Mikhailov A.S., Showalter K.
Physics Reports, Elsevier, 2006
62.
I.R.Epstein, J.A.Pojman. An Introduction to Nonlinear Chemical Dynamics (Topics in Physical Chemistry). (New York: Oxford University Press, 1998)
63.
Molecular Design and Functional Control of Novel Self-Oscillating Polymers
Hara Y., Maeda S., Hashimoto S., Yoshida R.
International Journal of Molecular Sciences, MDPI, 2010
66.
UV patternable thin film chemistry for shape and functionally versatile self-oscillating gels
Yuan P., Kuksenok O., Gross D.E., Balazs A.C., Moore J.S., Nuzzo R.G.
Soft Matter, Royal Society of Chemistry (RSC), 2013
67.
Chemomechanical oscillations in polymer gels: Effect of the size of samples
Konotop I.Y., Nasimova I.R., Rambidi N.G., Khokhlov A.R.
Polymer Science - Series B, Pleiades Publishing, 2011
68.
Self-oscillatory systems based on polymer gels
Konotop I.Y., Nasimova I.R., Rambidi N.G., Khokhlov A.R.
Polymer Science - Series B, Pleiades Publishing, 2009
69.
Active Cross-Linkers that Lead to Active Gels
Zhang Y., Zhou N., Akella S., Kuang Y., Kim D., Schwartz A., Bezpalko M., Foxman B.M., Fraden S., Epstein I.R., Xu B.
Angewandte Chemie - International Edition, Wiley, 2013
70.
Evolution of self-oscillating polymer gels as autonomous polymer systems
Yoshida R., Ueki T.
NPG Asia Materials, Springer Nature, 2014
71.
Theoretical and computational modeling of self-oscillating polymer gels
Yashin V.V., Balazs A.C.
Journal of Chemical Physics, AIP Publishing, 2007
72.
Modeling autonomously oscillating chemo-responsive gels
Yashin V.V., Kuksenok O., Balazs A.C.
Progress in Polymer Science, Elsevier, 2010
73.
Mechano-chemical oscillations and waves in reactive gels
Yashin V.V., Kuksenok O., Dayal P., Balazs A.C.
Reports on Progress in Physics, IOP Publishing, 2012
74.
Modeling the entrainment of self-oscillating gels to periodic mechanical deformation
Yashin V.V., Levitan S.P., Balazs A.C.
Chaos, AIP Publishing, 2015
76.
Design of a Mass Transport Surface Utilizing Peristaltic Motion of a Self-Oscillating Gel
Murase Y., Maeda S., Hashimoto S., Yoshida R.
Langmuir, American Chemical Society (ACS), 2008
77.
Peristaltic motion of polymer gels.
Maeda S., Hara Y., Yoshida R., Hashimoto S.
Angewandte Chemie - International Edition, Wiley, 2008
78.
Self-oscillating gel composed of thermosensitive polymer exhibiting higher LCST
79.
110.1039/c2sm25797a
80.
A self-oscillating gel actuator driven by ferroin
Arimura T., Mukai M.
Chemical Communications, Royal Society of Chemistry (RSC), 2014
81.
Delayed Mechanical Response to Chemical Kinetics in Self-Oscillating Hydrogels Driven by the Belousov–Zhabotinsky Reaction
Geher-Herczegh T., Wang Z., Masuda T., Yoshida R., Vasudevan N., Hayashi Y.
Macromolecules, American Chemical Society (ACS), 2021
83.
Fabrication of submillimeter-sized spherical self-oscillating gels and control of their isotropic volumetric oscillatory behaviors
Lee W.S., Enomoto T., Akimoto A.M., Yoshida R.
Soft Matter, Royal Society of Chemistry (RSC), 2023
84.
Control of swelling–deswelling behavior of a self-oscillating gel by designing the chemical structure
Masuda T., Terasaki A., Akimoto A.M., Nagase K., Okano T., Yoshida R.
RSC Advances, Royal Society of Chemistry (RSC), 2015
86.
Control of the Dynamic Motion of a Gel Actuator Driven by the Belousov-Zhabotinsky Reaction
Maeda S., Hara Y., Yoshida R., Hashimoto S.
Macromolecular Rapid Communications, Wiley, 2008
87.
Active Polymer Gel Actuators
Maeda S., Hara Y., Yoshida R., Hashimoto S.
International Journal of Molecular Sciences, MDPI, 2010
88.
Generative Force of Self-Oscillating Gel
Hara Y., Mayama H., Morishima K.
Journal of Physical Chemistry B, American Chemical Society (ACS), 2014
89.
Mallphanov I.L., Vanag V.K.
Mendeleev Communications, OOO Zhurnal "Mendeleevskie Soobshcheniya", 2022
90.
Design of autonomous mass-transport with chemical wave propagation in self-oscillating gel
Ren J., He J., Zhang A., Zhang L., Yang W.
Journal of Polymer Research, Springer Nature, 2019
91.
Lagunova O.V., Vanag V.K., Mallphanov I.L.
Mendeleev Communications, OOO Zhurnal "Mendeleevskie Soobshcheniya", 2023
92.
Self-organization of actin networks by a monomeric myosin
Saczko-Brack D., Warchol E., Rogez B., Kröss M., Heissler S.M., Sellers J.R., Batters C., Veigel C.
Proceedings of the National Academy of Sciences of the United States of America, Proceedings of the National Academy of Sciences (PNAS), 2016
95.
Design of a comb-type self-oscillating gel
Mitsunaga R., Okeyoshi K., Yoshida R.
Chemical Communications, Royal Society of Chemistry (RSC), 2013
96.
Soft actuators of organized self-oscillating microgels
Suzuki D., Kobayashi T., Yoshida R., Hirai T.
Soft Matter, Royal Society of Chemistry (RSC), 2012
97.
Co-Complexes-Based Self-Oscillating Gels Driven by the Belousov–Zhabotinsky Reaction
Mallphanov I.L., Eroshik M.Y., Safonov D.A., Lavrova A.I.
Gels, MDPI, 2024
98.
Control of Autonomous Swelling−Deswelling Behavior for a Polymer Gel
Nakamaru S., Maeda S., Hara Y., Hashimoto S.
Journal of Physical Chemistry B, American Chemical Society (ACS), 2009
99.
Synchronous volume and color self-oscillating gels based on chemomechanical coupling
Ren J., Tao L., He J., Zhang A., Yang W.
Journal of Polymer Research, Springer Nature, 2017
100.
Sustained larger-amplitude self-oscillations induced by the BZ reaction involving Fe(phen)3 catalyst
Ren J., Zhang L., Tao L., Zhang A., Yang W.
SN Applied Sciences, Springer Nature, 2019
101.
Lagunova O.V., Molokanov G.O., Dikaia O.A., Shvets P.V., Goikhman A.Y., Chupakhin E.G.
Mendeleev Communications, OOO Zhurnal "Mendeleevskie Soobshcheniya", 2025
102.
I.Meloche, K.J.Laedler. J. Am. Cliem. Soc., 73, 1712 (1951).
103.
C.K.Ingold. Structure and Mechanism in Organic Chemistry. (Ithaca: Cornell Univ.Press, 1953), 786 p.
104.
Alkaline and acid hydrolysis of polyvinylamides
Moens J., Smets G.
Journal of Polymer Science, Wiley, 1957
105.
W.Breitenbach. J. Polym. Sci., 23, 949 (1957).
106.
High-Frequency Swelling/Deswelling Oscillation of Poly(Oligoethylene Glycol) Methacrylate-Based Hydrogel Microspheres with a Tris(2,2′-bipyridyl)ruthenium Catalyst
108.
Poly(vinyl alcohol) films crosslinked by glutaraldehyde under mild conditions
Figueiredo K.C., Alves T.L., Borges C.P.
Journal of Applied Polymer Science, Wiley, 2009
109.
Ciliary motion actuator using self-oscillating gel
Tabata O., Hirasawa H., Aoki S., Yoshida R., Kokufuta E.
Sensors and Actuators, A: Physical, Elsevier, 2002
110.
Chemo-mechanical actuator using self-oscillating gel for artificial cilia
Tabata O., Kojima H., Kasatani T., Isono Y., Yoshida R.
Institute of Electrical and Electronics Engineers (IEEE)
111.
Design of chemo-mechanical actuator using self-oscillating gel
Maeda S., Hashimoto S., Yoshida R.
Institute of Electrical and Electronics Engineers (IEEE)
112.
A Chemo-Mechanical Rotational Actuator Driven by BZ Reaction
Maeda S., Hara Y., Yoshida R., Hashimoto S.
Institute of Electrical and Electronics Engineers (IEEE)
113.
Self-Oscillating Gel Actuator for Chemical Robotics
Maeda S., Hara Y., Yoshida R., Hashimoto S.
Advanced Robotics, Taylor & Francis, 2008
114.
Autonomous Intestine-Like Motion of Tubular Self-Oscillating Gel
Shiraki Y., Yoshida R.
Angewandte Chemie - International Edition, Wiley, 2012
115.
A chemical micropump actuated by self-oscillating polymer gel
Aishan Y., Yalikun Y., Shen Y., Yuan Y., Amaya S., Okutaki T., Osaki A., Maeda S., Tanaka Y.
Sensors and Actuators, B: Chemical, Elsevier, 2021
116.
Autonomous oil flow generated by self-oscillating polymer gels
Yoshimura K., Otsuka Y., Mao Z., Cacucciolo V., Okutaki T., Yamagishi H., Hashimura S., Hosoya N., Sato T., Yamanishi Y., Maeda S.
Scientific Reports, Springer Nature, 2020
117.
Stable and transient self-propagating supramolecular gelation
Riedel S., Panzarasa G.
Molecular Systems Design and Engineering, Royal Society of Chemistry (RSC), 2021
118.
Oxyhalogen−Sulfur Chemistry:  Nonlinear Oxidation Kinetics of Hydroxymethanesulfinic Acid by Acidic Iodate
Ojo J.F., Otoikhian A., Olojo R., Simoyi R.H.
Journal of Physical Chemistry A, American Chemical Society (ACS), 2004
119.
Self-oscillating pH-responsive cryogels as possible candidates of soft materials for generating mechanical energy
Bilici C., Karayel S., Demir T.T., Okay O.
Journal of Applied Polymer Science, Wiley, 2010
120.
Wang L., Ren J., Zhang X., Yang X., Yang W.
Polymer (Korea), Polymer Society of Korea, 2015
121.
Experimental Evidence of Large Amplitude pH Mediated Autonomous Chemomechanical Oscillation
Yang X., Zhou Y., Ji L., Ding Y., Wang J., Liang X.
Polymers, MDPI, 2017
122.
Handlířová M., Tockstein A.
Collection of Czechoslovak Chemical Communications, Institute of Organic Chemistry & Biochemistry, 2013