Keywords
Abstract
The reactivity of polar vinyl monomers, unsaturated compounds containing functional groups, depends on the presence or absence of conjugation between the C=C bond and the neighbouring unsaturated moieties or donor heteroatoms. Conjugated polar vinyl monomers (acrylates, vinyl ethers, etc.) (co)polymerize upon free-radical initiation. The reaction is widely used to produce numerous polymer materials that qualitatively differ from polyolefins in their characteristics. Copolymerization of ethylene, propylene, and higher α-olefins with nonconjugated vinyl monomers containing polar or reactive functional groups gives so-called 'functional polyolefins', that is, polymer materials with unique mechanical and rheological characteristics, increased thermal and oxidative stability, and controlled hydrophilicity. In the synthesis of functional polyolefins, only coordination polymerization, catalyzed by complex compounds of Group 4 metals, V, Sc, Ni, and Pd is effective. This review summarizes for the first time data on the (co)polymerization of polar vinyl monomers catalyzed by early transition metal complexes, discusses the current results achieved in the catalysis of copolymerization of polar vinyl monomers by Group 10 metal complexes, and considers the prospects for practical application of functional polyolefins and for organization of their industrial production.
The bibliography includes 272 references.
1. Introduction
Polyolefins are large-scale products of the modern petrochemical industry, with the annual production output exceeding 200 million tons.[1] Modern polyolefin production processes are based on the coordination (co)polymerization of ethylene, propylene, 1-butene, and higher α-olefins catalyzed by transition metal compounds.[2-6] The large-scale production of popular polyolefin brands makes use of heterogeneous titanium chloride-based Ziegler – Natta catalysts (ZNC)[7] and chromium oxide catalysts.[8] In the production of so-called advanced polyolefins, single-site catalysts based on Group 4 and, more rarely, Group 3, 5, and 6 metal complexes are widely utilized.[2][3][5][6] The mechanism of polymerization in the presence of single-site catalysts (Scheme 1) includes the formation of (LnM – Alkyl) active species followed by coordination and insertion of an α-olefin molecule via a four-center transition state.[6]
Ethylene and α-olefins are far from being the only type of unsaturated compounds that can (co)polymerize. A broad range of high-demand materials is produced by free-radical (co)polymerization of conjugated vinyl monomers such as vinyl ethers, acrylates, acrylonitrile, maleic anhydride, and other compounds in which the C=C bond is located near an sp2-hybridized carbon atom or donor heteroatom. If the C=C bond adjoins to a saturated >CH– group (i.e., it is isolated), free-radical polymerization is complicated by chain termination giving allyl radicals. The synthesis of macromolecular (co)polymers of polar olefins with isolated C=C bonds requires the use of coordination polymerization.
Copolymers of ethylene or α-olefins with non-conjugated polar vinyl monomers of this type, so-called functional polyolefins,[9-11] are promising advanced materials. The presence of polar functional groups expands the range of polyolefin characteristics: increases the hydrophilicity and adhesive properties and qualitatively changes the dielectric constant and mechanical characteristics. Meanwhile, the presence of electron-donating functional groups in the polar comonomer molecules often leads to a critical loss of catalyst activity of early transition metal complexes in the copolymerization, since the donor heteroatom of the functional group is preferably bound to the catalyst active site.[6][12]
The general synthetic approaches to functional polyolefins, as discussed by O’Hare and co-workers [10] and supplemented by our data, are depicted in Scheme 2. The synthesis of functional polyolefins by pathway (a) is based on coordination copolymerization of monomers with protected polar groups. Usually, direct copolymerization with polar comonomers (pathway b) can be accomplished in the presence of Pd and Ni complexes; the complexes of early transition metals are effective towards copolymerization of monomers that have bulky substituents near the donor heteroatom or have latent reactivity (e.g., ω-halo- or ω-R2B-substituted α-olefins in which the functional groups are less prone to coordination to the active site), which is followed by post-modification involving introduction of the desired functional groups (pathway c). Functionalization of polyolefins (preparation of graft copolymers, pathway d) does not allow full control of the copolymer microstructure, while the chain termination with the introduction of a functional group (pathway e) does not provide a sufficiently high degree of functionalization.
The reviews devoted to copolymerization of α-olefins with polar vinyl monomers address, first of all, actually on copolymerization, with the attention being focused on the catalysts used in this reaction. The results of early studies considering the synthesis of functional polyolefins are summarized in a number of publications.[13-15] Classification according to the type of catalyst is also retained in more recent reviews, most of which supplement the above-mentioned studies [13-15] by new references.[9] [16-18] A relevant review is devoted to the stereoselectivity issues in α-olefin copolymerization with polar vinyl monomers in the presence of various types of catalysts.[19] A few reviews published in the 2020s address copolymerization catalyzed by the complexes of Group 10 metals: Ni,[20-22] Pd,[23] or Ni and Pd.[24-26] The α-olefin copolymerization with polar comonomers catalyzed by early transition metal complexes was addressed in a review by Marks and co-workers[27] published in 2020. Copolymerization catalysts based on Group 4 metal complexes are also considered in a recent (2024) review,[28] which focuses on the type of catalysts and comonomers used. Other reviews published in 2024 are devoted to the prospects of application of various types of catalytic systems for the synthesis of functional polyolefins [12] and DFT modelling of polymerization involving polar monomers.[29]
The properties of copolymers prepared using early transition metal-based catalysts and the existing and potential practical applications of the copolymers are barely touched upon in the above publications. Actually, the properties of functional polyolefins are addressed only in one review,[30] which considers possible applications of ethylene copolymers with polar monomers, giving vivid, but few examples.
In view of the ability of Group 10 metal-based catalysts to initiate isomerization of the polymer chain to give short-chain branches, particularly early transition metal complexes appear to be the most promising platform for the development of production processes of advanced functional polyolefins with improved mechanical characteristics and novel properties. The present review considers in detail the use of Group 4 metal, Sc, and V complexes (over all years of research) and Ni and Pd complexes (2021 – 2025) for the copolymerization of ethylene, propylene, and higher olefins with polar and functionalizable vinyl monomers containing no conjugated groups or donor heteroatoms adjacent to the C=C bond, discusses the effect of comonomers of this type on the characteristics of the obtained materials, and evaluates the prospects for practical use of these materials.
The topicality of the subject matter of this review is clearly demonstrated by Fig. 1, which shows the number and rating of publications of 2020 – 2025 devoted to (co)polymerization of non-conjugated polar olefins.
2. Copolymers of ethylene with polar vinyl monomers
[]
2.1. Copolymerization of ethylene catalyzed by Group 4 metal complexes
The ethylene copolymerization with polar vinyl monomers has been studied since the second half of the 1980s using classic Ziegler – Natta catalysts (such as 3 TiCl3 · AlCl3) in the early period [31][32] and much more active single-site catalysts, zirconocenes, half-sandwich Ti(IV) complexes (Ti01 – Ti12, Zr01 – Zr26), and post-metallocene Ti, Zr, and Hf complexes (Ti13 – Ti59, Zr27 – Zr38, Hf01) activated with methylaluminoxane (MAO), perfluoroarylborane B(C6F5)3 (BF), or perfluoroarylborates [Ph3C][B(C6F5)4] (TBF), [PhNMe2H][B(C6F5)4] (NBF) in the later period of research.[11][28][31][33-49] [50-66][67-83][84-101][102-108]
The copolymerization of ethylene catalyzed by Group 4 metal complexes was investigated for a broad range of polar vinyl comonomers C001 – C090.[11][31] [33-49] [50-66][67-83][84-101][102-108] This Section addresses some key patterns identified in the studies of ethylene copolymerization with comonomers of various structural types.
2.1.1. Copolymerization of ethylene with ω-alken-1-ols, hydroxyalkyl norbonenes, and unsaturated alcohol derivatives
The results of studies of ethylene copolymerization with unsaturated alcohols and their derivatives (ethers, silyl ethers) are summarized in Table 1.
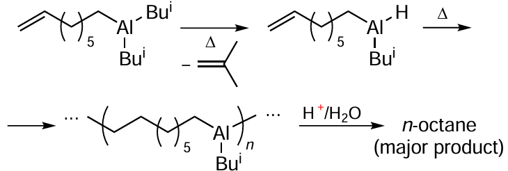
Copolymerization of ω-alken-1-ols catalyzed by Group 4 metal complexes becomes possible after treatment with organoaluminium compounds (OAC) R3Al, resulting in the formation of aluminum ω-alkenyloxy complexes, as shown in Scheme 3 in relation to the reaction with iBu3Al. In the subsequent text, adducts of this type are designated by C###-AlR2 , indicating the initial polar comonomer and the organoaluminum moiety in the product of reaction between the comonomer and OAC. The alkoxides CH2=CH(CH2)nOAlR2 dimerize in non-polar medium,[37][39][76][77] which may complicate copolymerization due to the cross-linking of polymer chains (Scheme 3) giving a gel.[78-80] According to the results of DFT modelling, CH2=CH(CH2)4OAlEt2 exists in non-polar media as a trimer (> 90%) at 20°C and as a dimer at 130°C.[77]
A study of the reaction of methyl 10-undecenoate C018, prepared from commercially available 10-undecenoic acid, with various OAC showed that the reaction with 2 equiv. of Bui2AlH gives alkoxide C006 in a quantitative yield (Scheme 4).[81]
According to the generally accepted point of view, the slowing of copolymerization with increasing concentration of CH2=CH(CH2)nOAlR2 is caused by competitive inhibition: coordination of O atom to the metal prevents π-coordination of the olefin (Scheme 5a). According to some studies devoted to the copolymerization of ethylene with ω-alken-1-ols C001 – C006, for equal loadings of the polar comonomer an increase in the distance between the oxygen atom and the C=C bond leads to increasing activity and increasing comonomer incorporation ratio XM, that is, the molar percentage of polar comonomer units in the resulting copolymer: in the case of copolymerization of C004 or C006 with ethylene, the highest XM were 0.9 and 1.6 mol.% for Zr02,[34] 1.0 and 4.0 mol.% for Zr05,[37] 5.0 and 10.0 mol.% for Zr23,[37] 0 and 2.3 mol.% for Zr25,[45] and 0.25 and 1.08 mol.% for Ti39,[62] respectively. Initially, this effect was attributed to decreasing stability of the complex resulting from the simultaneous coordination of the C=C group and O atom to the active site.[34][35][37][45] [61][62] In 2022, O’Hare and co-workers [10] suggested that deactivation may be due to the intramolecular coordination of the already incorporated polar comonomer (Scheme 5b).
Sterically hindered C009 and C012 could not be involved into Zr02/MAO-catalyzed copolymerization without preliminary treatment with OAC, even for [Al]/[Zr] = 5000;[34][35] copolymerization was initiated at [AlMAO]/[Zr] > 104.[34-36][45][46] [57][65] Most likely, high [AlMAO]/[Zr] ratios ensured that the residual Me3Al concentration in MAO was sufficient for the formation of Al alkoxides.[34-36] When the [R3Al] : [ω-alken-1-ol] was > 1, the catalyst activity increased,[37][39] [48] [51] and the efficiency of R3Al increased in the raw Me3Al < Et2AlCl < Et3Al < Bui3Al.[39][41][62] [82] The difference between the R3Al efficiency was demonstrated in a study of the Zr16/MAO-catalyzed copolymerization of ethylene with allyl alcohol C001: in the presence of Bui3Al, XM was 10 mol.%; the use of (nC8H17)3Al afforded a copolymer containing 0.1 mol.% hydroxyl groups; and the products of the reaction of C001 with Me3Al and Et3Al did not undergo copolymerization.[40]
Meanwhile, high [Al]/[M] ratios increased the probability of the formation of bridged alkyl complexes, intermediates of chain termination via chain transfer to aluminum;[51] this transfer was facilitated by the use of sterically less hindered Me3Al and Et3Al.[39-41]
Recently, Wang et al.[44] demonstrated that copolymerization of ethylene with poorly reactive comonomer C003-AlBui2 catalyzed by Zr18/MAO or Zr18/TBF, can be considerably accelerated by adding a third reaction component, a sterically hindered phenol (Scheme 6); this was also accompanied by increasing XM. The putative reaction mechanism is shown in Scheme 6b. The possible role of phenol is to form the mixed-ligand complex C003-Al(OAr)Bui. The less electron-donating oxygen atom of the OAr moiety in this complex is coordinated to the active site less efficiently than the oxygen atom in C003-AlBui2 (Scheme 6b). The most pronounced effect was observed for phenol 6, which can be attributed to additional Cl coordination to Zr or Al.
Analysis of scientific periodicals (see Table 1) indicates that ansa-complexes with –SiMe2– and –CH2CH2– bridges are most active in the series of zirconocenes. It is noteworthy that the use of Zr16/MAO catalyst resulted in the formation of C006-AlBui2 or C006-AlEt2 copolymers containing 36.7 and 16.5 mol.% comonomer with Mw = 121.0 and 7.7 kDa, respectively.[41]This result clearly demonstrates that Bui3Al is the preferable masking reagent that reacts with C006 according to general Scheme 3 . The activity of the –CH2CH2– bridged bis-indenyl complex Zr23/MAO in the copolymerization of C006-MAO reached 104 850 kg mol–1 h–1 (XM up to 5.4 mol.%).[45] In the copolymerization of C004-AlMei2, the activity of Zr23/MAO decreased by three orders of magnitude (30 kg mol–1 h–1).[37] When the tetrahydroindenyl analog Zr25/MAO and C004-MAO were used, ethylene homopolymerization took place without incorporation of the comonomer.[45] The record-high XM value (~ 50 mol.%) was achieved in the copolymerization of ethylene with C004-AlMei2 catalyzed by Zr24/MAO; the resulting low-molecular-weight (Mn = 1.0 kDa) polymer was characterized by an almost alternating microstructure.[51] Thus, zirconocene catalysts make it possible to prepare ethylene copolymers with variable contents of ω-alken-1-ols. At low XM values, the resulting copolymers have mechanical characteristics similar to those of linear low-density polyethylene (LLDPE) with a low surface hydrophobicity, while at high XM, copolymers exhibit elastomeric behavior and improved adhesive properties (see Section 2.4).
Among post-metallocene zirconium complexes, high activities in the copolymerization of C006-AlBui2 were observed for bis(phenoxy imine) complexes Zr27 – Zr29, with XM not exceeding 1.4 mol.%.[50] [61] Higher XM values, 16.5 mol.% for C005 and 5.9 mol.% for C006, were achieved by using a less active (45.3 and 436.2 kg mol–1 h–1) binuclear complex Zr30.[62] Complex Ti39 isostructural to Zr29 exhibited a much lower activity in the copolymerization with C006-AlBui2.[61] In a comparative study of mononuclear (Zr31, Zr32) and binuclear (Zr33, Zr34) post-metallocene complexes in ethylene copolymerization with C004-AlBui2 and C006-AlBui2, mononuclear complexes showed higher performance and provided higher incorporation of comonomers.[64]
Norbornene derivative C013 is a promising polar comonomer. In the copolymerization of ethylene with C013-AlBui2, high activity was found for complexes Zr19, Zr20, and Zr21 (seeTable 1). The introduction of bulky substituents (Pri, But) into the cyclopentadienyl ring of metal complexes resulted in a higher activity towards ethylene copolymerization with C013, but lower XM.[43][73] As the concentration of the polar comonomer increased, the catalyst activity decreased: a 23.5 mol.% incorporation of C013 was attained for Zr19/MAO activity of 32 kg mol–1 h–1.[38] Post-metallocene complexes Ti45–Ti53 had a moderate catalytic activity towards ethylene copolymerization with unprotected C013 (15 – 270 kg mol–1 h–1); the activity increased in the presence of Me/But electron-donating group in the catalyst molecule (Ti46, Ti47). The use of the Et2AlCl cocatalyst in the copolymerization with C013 furnished a copolymer with 22.0 mol.% comonomer content and Mn = 28.8 kDa.[66]
In the series of half-sandwich titanium complexes, high activity in the copolymerization with C004-AlBui2 and C005-AlBui2 (up to 111000 and 381 000 kg mol–1 h–1, respectively, XM = 2.2 – 2.4 mol.%) was found for Ti12/MAO.[54] The high activity of Ti12 was attributed in this study to stabilization of the catalytic site by the SiEt3 electron-donating group in the para-position of the aryloxy ligand. Higher incorporation ratios in the ethylene copolymerization with C005-AlBui2 were achieved by using Ti02/MAO and Ti10/MAO.[55]
In a study of post-metallocene titanium complexes Ti13 – Ti29/MAO in the copolymerization with C005-AlBui2, the complexes Ti16 (~ 10 000 kg mol–1 h–1, 11.2 mol.% comonomer) [65] and Ti22 (5600 – 16 000 kg mol–1 h–1, 2.2 – 4.8 mol.% comonomer) were identified as the most active.[46] It is noteworthy that the most active catalysts contained a Ti atom coordinated to ligands characterized by enhanced electron-donating capacity. The increase in the electron-donating capacity of ligands that form the active site is an effective approach to the design of single-site catalysts for polymerization of ethylene and propylene.* In all probability, the concept of catalyst ‘coordination readiness’ developed as applied to ethylene and propylene copolymers is also applicable to copolymerization of polar comonomers with ethylene.
Recently, Wei et al.[59] reported the development of a catalyst for copolymerization of C005-AlBui2 that was superior in the performance and XM to all currently known Group 4 metal complexes. Owing to the presence of electron-donating N-heterocyclic boryloxy ligand, the half-sandwich complex Ti08 exhibited an activity of up to 300 000 kg mol–1 h–1 (6.9 mol.% comonomer) at 20°C and 4 atm of ethylene; the highest XM of 32.1 mol.% (2 atm of ethylene) corresponded to the activity of 26500 kg mol–1 h–1.
In some cases, the use of silyl ethers of unsaturated alcohols makes it possible to markedly decrease the content of OAC in the reaction mixture, while XM increases. A study of ethylene copolymerization with CH2=CH(CH2)9OSiPri3 (C035) catalyzed by Zr07/MAO gave products with comonomer contents of up to 14.4 mol.% (Mn = 41.9 kDa);[71] under the same conditions, C006-AlBui2 afforded a copolymer with XM ~ 8 mol.% (Mn = 20.8 kDa).[38] The increase in the substituent bulk in the OSiR3 moiety in the presence of the Zr23/MAO catalyst provided a higher XM (up to 0.2 mol.% for C032 with the SiMe3 group and up to 1.2 mol.% for C033 with the SiPh3 group) and prevented the interaction of OSiR3 with OAC, resulting in the formation of aluminum alkoxides, and the hydrolysis of silyl ethers during isolation of the copolymer.[70]
In the copolymerization of ethylene with 5-hydroxymethylnorbornene silyl ethers catalyzed by zirconium ansa-complexes Zr19 – Zr21, the highest XM was observed for (2,2,3-trimethylbutyl)dimethylsilyl ether (C043), and the highest catalyst activity was achieved in the copolymerization of triisopropylsilyl ether (C039).[71-73] Copolymerization of C039 was also carried out using the supported Zr19/MAO@SiO2 catalyst, which gave copolymers with a bimodal molecular weight distribution (MWD).[71] The synthesis of bimodal polyethylenes (PE) characterized by high tensile strength and good molding properties is a relevant trend in modern polyolefin industry. Therefore, preparation of these materials using a one-component catalyst is of obvious practical interest.
There are relatively few papers in scientific literature that address copolymerization of ω-alken-1-ol ethers. Copolymerization experiments were carried out using considerable excess of MAO, and the reaction rate increased with increasing [Al]/[Zr] ratio, which suggests that electrophilic centers of MAO served as masking reagents for the alkoxy groups. Complexes Zr11 and Zr12 provided incorporation ratios of up to 16.0 and 8.2 mol.% for C023 and C024, respectively.[68] The use of ethylene-bridged zirconium bis-indenyl complex Zr23 as a catalyst resulted in the synthesis of copolymers containing 0.9 mol.% C021, 2.3 mol.% C022, and 1.1 mol.% C027.[48][70] As the concentration of comonomer C022 increased from 16.7 to 50 mM, the catalyst activity increased from 1700 to 2600 kg mol–1 h–1.[48] Copolymers of ethylene with ω-alken-1-ol ethers have not found any practical use, apparently, this accounts for the absence of recent studies on the copolymerization of ethers using new metallocene and post-metallocene catalysts.
* See P.V.Ivchenko. Design and synthesis of Group 4 metallocenes, effective precatalysts of the homo- and copolymerization of alkanes. Doctoral Thesis. Moscow, 2014
2.1.2. Copolymerization of ethylene with ω-alkenoic acids and esters
The results of experiments on the copolymerization of ethylene with unsaturated carboxylic acids and their derivatives catalyzed by Group 4 metal complexes are summarized in Table 7.
10-Undecenoic acid (C014) and 5-norbornene-2-carboxylic acid (C015) were tested in the copolymerization with ethylene. In the copolymerization with C014-MAO, the Zr23/MAO catalyst showed activity of 12 200 kg mol–1 h–1 and XM = 0.5 mol.%.[49] The use of Zr23/MAO and C014-AlMe2 afforded a copolymer containing 7.4 mol.% C014. Post-metallocene complex Zr29 possessing a high activity (up to 12 400 kg mol–1 h–1) catalyzed the formation of a low-molecular-weight (Mn = 2.2 kDa) copolymer containing 0.5 mol.% C014.[61] Among the post-metallocene titanium complexes, the highest activity in the copolymerization of ethylene with C014 was found for Ti16 (XM = 2.5 mol.%, Mn = 1.5 kDa).[46] The titanium–magnesium TiCl4@MgCl2/diisobutyl phthalate catalyst had low activity (18 kg mol–1 h–1) and produced a high-molecular-weight (Mn = 1428 kDa) copolymer containing 0.3 mol.% C014.[88] The study by Tan et al.[88] is of particular interest, as the authors implemented the advanced strategy of ‘ionic clusters’, that is, self-organization of the product of reaction between C014 and Et2AlCl, (CH2=CH(CH2)8COO)2AlCl, to give polynuclear species, which then underwent copolymerization. The Ti33/MAO catalyst exhibited an activity of 200 kg mol–1 h–1 in the homogeneous copolymerization, resulting in the formation of copolymer particles with a microsphere morphology.[88] The formation of microspherical polymer particles in the homogeneous reaction considerably facilitates scaling up and industrial use of the catalytic system, owing to the reduced risk of reactor fouling.
The Zr19 – Zr21/MAO-catalyzed copolymerization of ethylene with C015 was carried out using Bui3Al as a cocatalyst.[43][73] An activity of up to 3400 kg mol–1 h–1 and XM of up to 8.9 mol.% were achieved. The reaction of carboxylic acids with OAC is similar to the reaction of ω-alkenols, but a pronounced masking effect of OAC is manifested at [Al]/[C015] > 2, owing to formation of the complex that is depicted in Scheme 7, which shows the reaction of C015 with Bui3Al. A possible function of the second equivalent of Bui3Al is coordination to the carbonyl oxygen atom, which prevents inhibition of the catalytic site.
Copolymerization of ω-alkenoic acid esters with ethylene is addressed in a small number of studies. Most likely, this is due to the lower masking efficiency of OAC for esters. An early study describes copolymerization of ethylene, propylene, and sterically hindered 2,6-dimethylphenyl 10-undecenoate C020 initiated by AlTi3Cl12/Et2AlCl and the subsequent hydrolysis of the reaction product to polycarboxylic acid.[32]
In most studies, precatalysts have been activated using MAO, the masking efficiency of which is questionable.[92] Zuo et al.[82] investigated the effect of various cocatalysts (MAO, Me3Al, Et3Al, Et2AlCl, Bui3Al) in the copolymerization of C018 on the performance of the Ti30/MAO catalyst and the molecular weight of the obtained copolymers; the best result was obtained by using Bui3Al (69 kg mol–1 h–1, Mn = 340.4 kDa).[82] In the Zr02/MAO-catalyzed copolymerization of C017 and C018, the catalyst activity was up to 2940 kg mol–1 h–1 (~ 0.2 mol.% comonomer).[34][35] The highest XM value (1.3 mol.%) was achieved for Bui3Al-treated C018 in the presence of Ti16/MAO (400 kg mol–1 h–1).[46] Post-metallocene complexes Ti58 and Ti59 showed lower activity (234 and 114 kg mol–1 h–1, respectively);[89] the titanium/magnesium Ziegler – Natta catalyst proved to be inert towards the copolymerization involving C018.[88] Among the post-metallocene Ti complexes, higher performance in the ethylene copolymerization with 5-hexen-1-yl acetate C019 was found for phenoxyimine complexes with electron-donating substituents Ti33 – Ti35. The beneficial effect of the electron-donating groups on the catalytic activity was confirmed by the results of DFT modelling that estimated the energy difference between the C=C group and the carbonyl oxygen atom coordinated to the titanium atom (8.8 – 14.3 kcal mol–1).[90] The modelling did not take into account the possible effect of the cocatalyst (OAC) on the coordination.
2.1.3. Copolymerization of ethylene with ω-alkenamines
ω-Alkenamines represent a fairly specific group of polar comonomers the ability of which to copolymerize with ethylene considerably depends on the type of amine (the presence of N – H bonds capable of reacting with OAC) and the nature of substituents on the nitrogen atom. The results of experimental studies of the copolymerization of ethylene with unsaturated amines are summarized in Table 9.
As in the case of CH2=CH(CH2)nOAlR2, copolymerization of ω-alkenamines may be accompanied by the intramolecular coordination of the N atom to the catalytic site after the comonomer incorporation. Marks and co-workers[94] carried out an experimental and theoretical study of the effect of the length of the (CH2)n sequence on the activity of Zr04'/TBF and Zr07'/TBF in the reactions involving C044 and C048. An increase in the (CH2)n length hampered the coordination, which is consistent with experimental data (Zr04': 39 kg mol–1 h–1 for C044, 2600 kg mol–1 h–1 for C048; Zr07': 14 kg mol–1 h–1 for C044, 3400 kg mol–1 h–1 for C048).[94] An increase in the bulk of the substituent at the nitrogen atom did not have a pronounced effect on the activity and XM (Zr04: 1.8 mol.% for C047 and 1.5 mol.% for C048; Zr07': 5.0 mol.% for C047 and 5.0 mol.% for C048).[94] These data contradict the results of earlier studies by Löfgren and co-workers,[91] who showed that in the Zr08/MAO- and Zr23/MAO-catalyzed copolymerization the presence of more bulky substituents (But, Bus, Bn) on the N atom in unsaturated amines increases the catalyst activity (simultaneously, XM decreases). The Zr22/MAO-catalyzed copolymerization of ethylene with ω-alkenamines containing aryl substituents on the N atom (C062 – C064) yielded copolymers containing up to 12.6 mol.% comonomer.[93] This result is attributable to the lower nucleophilicity of the nitrogen atom in arylamines compared to alkylamines.
Of particular interest are early studies of the copolymerization of ethylene with C045 catalyzed by Zr07/MAO[38] and with cyclic amines (C058 – C061, C071, C072) catalyzed by Zr09/MAO.[95] The cited publications describe the preparation of functional polyethylenes in the presence of metallocene catalysts supported on MAO-activated silica, which opens up the possibility of using modern techniques for the production of metallocene LLDPE and for the synthesis of functional polyethylenes.
2.1.4. Copolymerization of ethylene with ω-halogenated α-olefins and other polar comonomers
The results of investigation of ethylene copolymerization with halogenated olefins and polar comonomers other than those mentioned in Sections 2.1.1 – 2.1.3 are summarized in Table 10.
Halogen derivatives of olefins are conventionally considered as a polar comonomers with latent reactivity, as halogen atoms are less prone to coordination to the metal atom in the active site than O and N atoms. However, ethylene copolymers with ω-haloalkenes can be subjected to subsequent organochemical post-modification to introduce a large variety of functional groups.
Ethylene copolymers with ω-bromo- and ω-iodoalkenes (C077 – C079, C083, C084) containing 1.7 mol.% C077, 1.1 mol.% C078, 2.9 mol.% C079, up to 19.8 mol.% C083, and up to 6.1 mol.% C084 were prepared using Zr23/MAO catalyst.[99][100] Catalysis by post-metallocene hafnium complex Hf01 was used to prepare ethylene copolymers containing 1.1 mol.% C080, 2.3 mol.% C081, and 6.3 mol.% C082.[103] The reactivity of CH2=CH(CH2)nHal depended on the nature of the halogen (Cl < Br < I) and increased with increasing length of the (CH2)n sequence.
Polyolefins with side-chain perfluoroalkyl groups were synthesized by Tang and co-workers;[104] in the copolymerization of ethylene with 5-(perfluoro-n-alkyl)norbornenes (C085 – C087), the highest catalytic activity was found for [ONS]-complex Ti26 (up to 1600 kg mol–1 h–1), with incorporation ratios of comonomers being 9.7 mol.% (C085), 15.8 mol.% (C086), and 8.2 mol.% (C087).[104]
Post-metallocene titanium and zirconium complexes Ti54–Ti56 and Zr36 – Zr38 were tested in the copolymerization of ethylene with N-acetyl-O-(ω-alkenyl)-L-tyrosine esters (C073 – C076).[107][108] Titanium complexes showed a higher activity (up to 68.6 kg mol–1 h–1) than zirconium complexes (up to 24.5 kg mol–1 h–1), and the resulting copolymers contained up to 2.6 mol.% comonomers. Ethylene copolymers containing up to 0.7 mol.% 6-tert-butyl-2-(1,1-dimethylhept-6-enyl)-4-methylphenol (C089) were synthesized using Zr25/MAO (activity of up to 10620 kg mol–1 h–1).[105] This same catalyst was also successfully used in the synthesis of copolymers containing ~ 0.25 mol.% 6-hydroxy-2,5,7,8-tetramethyl-2-(but-3-enyl)chromane (C090).[106] Comonomers C089 and C090 are of special interest, as they increase the thermo-oxidative stability of polyethylenes.
Thus, some comonomers require the use of cocatalysts (masking agents), while copolymerization of sterically hindered ω-alkenamines can be accomplished without the use of additional amounts of OAC. The problem of active site deactivation can be solved by designing the ligand environment of the metal atom. Meanwhile, of particular interest are the results obtained by Duchateau and co-workers,[53] who revealed the tolerance of the half-sandwich Ti(III) complex Ti07' to the comonomer concentration while studying copolymerization of ethylene with C006-AliBu2 . Titanium(III) complexes have been barely investigated in the synthesis of functional polyolefins, and good prospects of further research in this direction are quite probable.
2.2. Copolymerization catalyzed by Sc and V complexes
The active site of catalysts based on Sc and V complexes can also be deactivated due to the coordination with a nucleophilic heteroatom of the polar comonomer. Meanwhile, this trend is less pronounced for V complexes than for Sc or Group 4 metal complexes, since in the case of V, the catalytic species are neutral complexes LnV(III)R,[109] the products of the reaction of precatalysts with R3Al or R2AlCl,[110] which form less strong complexes with the functional groups of polar olefins.
Apart from the comonomers mentioned above, that is, C001, C004 – C006, C013, C015, C018, C044, C045, C048, and C090, which were tested in the copolymerization of ethylene catalyzed by Group 4 metal complexes, comonomers C091 – C118 were also investigated in the copolymerization of ethylene initiated by Sc and V complexes.[88][111-126]
2.2.1. Copolymerization of ethylene with polar vinyl monomers catalyzed by Sc complexes
A recent review by Marks and co-workers [27] considers examples of using Sc complexes in ethylene copolymerization with functional α-olefins and norbornene derivatives. Copolymerization with polar vinyl monomers, which are the subject of this review, was conducted using complexes Sc01 – Sc15 as catalysts. The results of these studies are summarized in Table 11.
Rare earth metal complexes were widely investigated in the polymerization of conjugated polar vinyl monomers (acrylates, phosphonates, etc.);[127][128] however, copolymerization of ethylene with non-conjugated polar comonomers has been addressed in relatively few publications.[111-120] Hou and co-workers[112] studied copolymerization of ethylene with polar comonomers containing OPh (C091, C093), SPh (C098), or PPh2 (C110) groups using half-sandwich mononuclear complexes Sc01, Sc12, and Sc15 as catalysts. The resulting copolymers contained up to 24.8 mol.% C093, 73.5 mol.% C098, and 9.5 mol.% C110.[112] Cui and co-workers[116] investigated copolymerization of ethylene with OPh-containing polar comonomer C095 in more detail using half-sandwich complexes Sc05, Sc09, Sc10, and Sc14 as catalysts. Complexes with strained rings (Sc09, Sc10) showed a lower activity (140 and 10 kg mol–1 h–1, respectively) and lower XM than complexes Sc05 and Sc14 (810 and 150 – 2730 kg mol–1 h–1, respectively). The copolymers containing up to 16 mol.% C095 were allowed to react with BBr3 to be converted to bromo derivatives, which were subjected to quaternization by the reaction with N-methylimidazole and pyridine to give polyethylene ionomers.
Methylene- and ethylene-bridged binuclear complexes Sc06 and Sc07 showed a higher activity and provided lower XM in the copolymerization of ethylene with oxygen- (C092, C094, C096, C097), nitrogen- (C100), and sulfur-containing (C099) comonomers compared to mononuclear complexes Sc05.117
The research group headed by T.Marks made the most significant contribution to the study of ethylene copolymerization with ω-alkenamines catalyzed by Sc complexes.[113][129] It was established that the length of the (CH2)n sequence between the double bond and the amino group has a minor effect on the activity of complexes Sc01, Sc02, and Sc03 activated by TBF (Sc01: 200, 290, and 290 kg mol–1 h–1; Sc02: 75, 110, and 130 kg mol–1 h–1; Sc03: 170, 240, and 210 kg mol–1 h–1 for C044, C045, and C048, respectively). In this series, XM increased with decreasing (CH2)n length. The DFT modelling of the Sc01/TBF-catalyzed copolymerization of ethylene with CH2=CH(CH2)nNPrn2 (n = 2, C044; n = 6, C048) [129] revealed a qualitative difference between the mechanisms of incorporation of comonomers: in the case of C044, the preferable mechanism includes simultaneous coordination of the C=C bond and nitrogen atom followed by 1,2- or 2,1-insertion (Scheme 8a), whereas in the case of C048, the insertion at the catalytic site containing the Sc∙∙∙N bond with a second comonomer molecule is preferred (Scheme 8b).[129]
In an early study by Marks and co-workers,[113] in which they actually first hypothesized that the heteroatom directly participates in the active site formation,[113] a specific behavior of binuclear complexes Sc02 and Sc03 was found, in particular, these complexes provided a higher XM in the copolymerization with comonomer C048 with a long (CH2)n chain between the C=C group and the nitrogen atom than complex Sc01. In order to explain this fact, it was hypothesized that –CH=CH2 and the N atom may be coordinated to different atoms of the binuclear catalyst, which facilitates the insertion of the polar comonomer.[113]
Complex Sc01/TBF was also studied in the copolymerization of C013-AlBui2 (activity of up to 2190 kg mol–1 h–1).111 Ethylene copolymers with N-(R)-cis-5-norbornene-endo-2,3-dimethylenes (C103 – C109) were synthesized in the presence of half-sandwich strained complexes Sc03 and Sc08 – Sc11 activated by TBF and Bui3Al. Complex Sc09 showed the highest activity (up to 3330 kg mol–1 h–1), with the maximum XM value (C103) being 31.6 mol.%.[115]
In the copolymerization of ethylene with 2-allylanisole C115 (1 atm, 20°C), the activity of Sc15/TBF reached 1100 kg mol–1 h–1.[120] Ethylene terpolymers with 2-allylanisole analogs C115' – C117 were also prepared in the presence of Sc15/TBF.[119] The Sc15/TBF catalyst was used to synthesize terpolymers of ethylene, 2-allyl-N,N-dimethylaniline C102, and styrenes with a controlled sequence of comonomers.[118]
The Sc01/TBF catalyst was used to prepare copolymers of ethylene with 10-bromo-1-decene (C114), with the highest XM for C114 being 12 mol.%.[114] Of considerable interest are copolymers of ethylene, propylene, and diene monomers (EPDM) involving C114, that is EPDM with side-chain bromoalkyl groups; however, Hou and co-workers [114] restricted themselves only to the synthesis of this type of copolymers, without subsequent functionalization.
Comparison of the performance of catalysts based on Group 4 metals and Sc is difficult, because a relatively small number of polar comonomers have been studied using both types of catalysts. In the copolymerization of ω-alkenamines (C044, C045, C048), Sc complexes were inferior to zirconocenes in the activity; in the copolymerization with unsaturated ethers, both types of catalysts showed low activity. The examples of processes in which the activity of Sc-based catalysts exceeded 1000 kg mol–1 h–1 are few and are mainly limited to functional derivatives of norbornene. Meanwhile, studies of ethylene copolymerization with polar vinyl monomers catalyzed by Sc complexes made it possible to reveal the mechanism of comonomer insertion with additional coordination of the donor atom of the functional group, which is of general importance for the synthesis of functional polyolefins.[27]
2.2.2. Copolymerization of ethylene with polar vinyl monomers catalyzed by V complexes
A promising alternative to the complexes based on Group 4 metals for copolymerization of ethylene with polar vinyl monomers are probably vanadium complexes, which are less susceptible to deactivation caused by binding to a nucleophilic atom of the comonomer. Vanadium complexes usually do not require the use of expensive activators (MAO, perfluoroarylborates), which is an additional advantage over Group 4 metal complexes and Sc. However, V-catalyzed processes are often complicated by the reduction of the active V3+ centers to V2+; in some cases, this problem can be solved by adding oxidants, e.g., CCl3COOEt (ETA). Complexes V01 – V30 were tested in the copolymerization of polar monomers with ethylene; the experimental results are summarized in Table 13.
Copolymerization of ethylene with ω-alken-1-ols (C001, C004, C006) catalyzed by vanadium(III) complexes with [N,O]-bidentate ligands (V09, V10, V11) was studied in 2009 by Mu et al.[122] The efficiency of masking reagents in the copolymerization involving C006 and the activity of V09/Et2AlCl in the presence of ETA as a reactivating agent increased in the series Bui3Al < Et3Al < Me3Al < Et2AlCl. In the presence of V09/Et2AlCl, the highest XM for C001, C004, and C006 were 0.4, 2.7, and 13.9 mol.%, respectively. The complexes with [O,P,O]- and [O,P=O,O]-tridentate ligands V03 – V08 and complexes with [O,P] type ligands V01 and V02 were also investigated in the copolymerization of ethylene with 10-undecen-1-ol (C006) protected by Et2AlCl.[121] The highest XM for C006-AlEtCl amounted to 14.6 mol.% when V05 catalyst was used. A comparative study of complexes V25 – V29 with [N,N] type ligands in the copolymerization with C006-AlEtCl demonstrated high catalytic activity (up to 10 000 kg mol–1 h–1), which depended only slightly on the substituent nature.[125]
Binuclear vanadium complexes (V21–V24) proved to be more active than mononuclear analogs V12–V15, V17–V20 and provided higher XM in the copolymerization of ethylene with C006-AlEtCl, C018, and C112.[123][124] This result can be attributed to the cooperative effect of the two catalytic centers discovered previously by Marks and co-workers, who studied binuclear scandium complexes.[113] However, mononuclear complexes V16 and V20 made it possible to incorporate a large amount of C018 (up to 4.1 mol.%).[123]
Ethylene copolymers with norbornene derivatives (C015-AlEtCl, C118) were prepared using VCl3(THF)3; the activity of this catalytic system did not exceed 210 kg mol–1 h–1 and XM values were 2.1 and 1.5 mol.%, respectively.[88]
2.3. Copolymerization of ethylene catalyzed by Group 10 metal complexes
Copolymerization of ethylene with polar olefins catalyzed by Ni and Pd complexes is addressed in a number of early [9][13-16] [130] and recent[12][17][18] [20-22][24][25] [131][132] reviews. For this reason, we decided to restrict ourselves to a brief account of recent results on this subject reported in 2021 – 2025.[133-152][153-162]
Characteristic features of ethylene polymerization catalysts based on Group 10 metal complexes include lower ‘oxophilicity’ of the catalytic site compared to the catalytic sites formed by early transition metal complexes as well as the migration of the metal – alkyl bond and isomerization of the macromolecular backbone during polymerization (chain-walking polymerization).[163] Group 10 metal complexes are usually inferior in activity to Group 4 metal complexes; however, lower oxophilicity of the reaction center makes it possible to perform masking reagent-free copolymerization with functional comonomers, in particular, in polar solvents. In recent years, polar comonomers C001 – C006, C014, C018, C019, and C112 and comonomers C119 – C147 were investigated in the copolymerization with ethylene catalyzed by Group 10 metal complexes.
2.3.1. Copolymerization of ethylene catalyzed by Ni complexes
In 2021 – 2025, nickel complexes with [N,N], [N,O], and [P,O] type ligands Ni01 – Ni59 were investigated in the copolymerization of ethylene with non-conjugated polar vinyl monomers. The results of these studies are summarized in Table 14.
A comparative study of [N,N]-complexes Ni19 – Ni24, analogs of the Brookhart catalyst, showed that the introduction of F into the ortho-position of the aryl moiety at the ligand N atom considerably influences the catalytic activity and properties of the resulting PE: the presence of F in the para- and meta-positions (Ni20 – Ni22) decreases the activity and the PE molecular weight and increases the branching density, while the presence of F in the ortho-positions (Ni23, Ni24) has a beneficial effect (increase in the activity and Mn and formation of more linear polymer).[140] Meanwhile, copolymerization with methyl 10-undecenoate C018 catalyzed by complexes Ni23 and Ni24 resulted in the lowest XM, while the relatively high activity and Mn were retained. The comparative study of the behavior of [N,N]-complexes Ni16 and Ni17 in the copolymerization of ethylene (30°C, 8 atm, activation with Et2AlCl) with C006, C014, and C018 published in 2025 showed that ortho-MeO substituents in the aryl moieties of the ligand are preferable over ortho-Me groups (activity of up to 1400 kg mol–1 h–1 and XM of up to 1.2 mol.%).[139]
The introduction of additional aryl (Ph, 1-naphthyl, 9-anthracenyl) moieties into the [N,N]-complex Ni06 induced a qualitative change in the catalytic properties: after activation with modified methylaluminoxane (MMAO), Ni06 was no longer able to catalyze the copolymerization of ethylene with C018, while the substituted analogs Ni07 – Ni10 provided the incorporation of 0.18 – 0.44 mol.% comonomer, and the resulting copolymers contained 9.8 – 13.9 branches per 1000 C atoms.[135] Upon the introduction of additional CHxPh3–x substituents (x = 0 – 2) into the para-position of the phenyl groups in complex Ni07 (complexes Ni03 – Ni05), the catalytic activity towards copolymerization with C018 somewhat increased (Ni03, Ni04 in the presence of 1000 equiv. of MAO), while XM decreased twofold, and Mn of the copolymer reached 1140 kDa; complex Ni05/MAO catalyzed homopolymerization in the presence of 0.2 M of the comonomer.[134] The Et2AlCl-activated unsymmetrically substituted [N,N]-complexes Ni11 and Ni12 catalyzed copolymerization of ethylene (20°C, 8 atm) with polar comonomers C006, C014, and C112, exhibiting an activity of 200 – 560 kg mol–1 h–1 and providing XM = 0.2 – 4.3 mol.%.[136] Copolymers with C014 had abnormally high Mn values (~ 2000 kDa according to GPC data). This may be due to cross-linking involving carboxyl groups and residual Al ions: a single precipitation of the polymer in HCl/MeOH is apparently insufficient for complete removal of aluminum.
The polymerization catalysts based on Ni complexes are most often designed using bidentate ligands. However, the possibility of additional intramolecular coordination upon the introduction of a third donor atom into the [N,N] type ligand can qualitatively affect the catalyst behavior, as shown in a recent study in relation to Ni32 and Ni33.[142] In the copolymerization of ethylene with C014, C018, and C112 (40°C, 8 atm), the Ni32/Et2AlCl catalyst showed an activity of 226 – 471 kg mol–1 h–1 and XM = 0.13 – 1.15 mol.%; even 3-butenoic acid C119 was involved in the copolymerization (32.8 kg mol–1 h–1, XM = 0.19 mol.%). The activity of Ni33/Et2AlCl in the reaction with C018 was 466 kg mol–1 h–1, and XM = 0.64 mol.%.
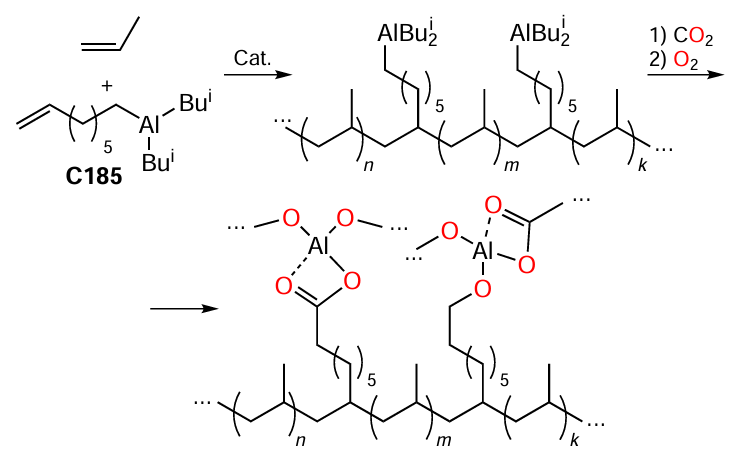
In 2021, Tang and co-workers[133] reported a study of the copolymerization of ethylene with the proton-containing comonomer CH2=CHCH2COOH (C119, 0.2 M, up to 1440 kg mol–1 h–1 activity at 30°C) and other unsaturated carboxylic acids and alcohols catalyzed by tetranuclear [N,O] type complexes Ni57 – Ni59.[133] The DFT modelling of copolymerization indicated the preference of the binuclear mechanism (Fig. 2), which was confirmed experimentally by a study of the catalytic behavior of binuclear compound Ni56. According to the results of modelling, homopolymerization of ethylene takes place on one of the Ni atoms (Ni1) via the classic coordination insertion mechanism. The carboxylate anion CH2=CHCH2COO– is coordinated to the Ni2 atom, and the spatial proximity between Ni1 and Ni2 in complex 18 (see Fig. 2) creates conditions for the insertion of C=C group of the coordinated comonomer into the Ni1–alkyl bond to give adduct 20 (see Fig. 2); the activation energy for this exergonic step is 15.5 kcal mol–1. The resulting metallacyclic adduct undergoes rather easily β-hydride elimination to form Ni1 – H and alkenyl carboxylate coordinated to the Ni2 atom, which then recombines to form the isomeric metallacycle 27 or undergoes ethylene insertion to give adduct 23 (see Fig. 2). The subsequent chain propagation requires ligand exchange between the intramolecularly coordinated carboxylate and CH2=CHCH2COO–, which is driven by the strain in the metallacycle of adduct 23.
In the ethylene copolymerization with C018 (1 M, 30°C, 8 atm), [N,O]-complexes Ni25 – Ni31 showed activities of 53 – 211 kg mol–1 h–1 (XM = 1.6 – 3.3 mol.%) and afforded low-molecular-weight (Mn = 2.1 – 5.3 kDa) and branched (9.9 – 22.8 branches per 1000 C atoms) copolymers.[141]
Particular attention is drawn by the results of studies of the catalytic performance of [N,O] type complex Ni35 supported on OAC-activated mesoporous silica in the copolymerization of ethylene with MeCOO(CH2)4CH=CH2 (C019).[145] The efficiency of OAC as activators decreased in a series iBu3Al > Et3Al > Et2AlCl > EtAlCl2, which was attributed to decreasing electron density on the active site, resulting in deactivation via Ni...O coordination after the comonomer insertion. The Ni35-based supported catalyst was also prepared by direct reaction of the metal complex with mesoporous SiO2 , without pretreatment with OAC. Binding of the metal complex to the support surface was due to the formation of the >C=O∙∙∙H–OSi hydrogen bond.[144] The resulting catalyst initiated homopolymerization of ethylene (40°C, 10 atm) even in the absence of OAC (activity of 720 kg mol–1 h–1). The addition of 2 equiv. of iBu3Al resulted in increase in the activity to 4580 kg mol–1 h–1. In the copolymerization with C019 (1 M and 2 M in toluene) under the same conditions, the Bui3Al-activated catalyst showed activities of 1270 and 1160 kg mol–1 h–1 with XM of 2.1 and 2.8 mol.%, respectively.[144]
A comparative study of [N,O] type complexes with six-membered (Ni34) and five-membered (anilinotropone derivatives Ni36 – Ni41) rings in the copolymerization of ethylene with C019 (0.1 M, 60°C, 8 atm) revealed the highest activity for Ni41 (TOF = 4320 h–1, XM = 0.3 mol.%).[143] At 65°C, Ni41 and Ni34 exhibited TOF = 5610 and 1250 h–1 and provided XM = 0.25 and 0.16 mol.%, respectively; and the resulting copolymers had Mn = 225 and 7 kDa. The results of DFT modelling of the chain propagation and chain termination via β-hydride elimination confirmed the experimental results: the free energy differences between the transition states of the chain propagation and termination were 4.6 and 2 kcal mol–1 for Ni41 and Ni34, respectively.[143]
A promising method for the preparation of a heterogeneous catalyst based on [N,O]-complex Ni42 is based on emulsion copolymerization of styrene or methyl methacrylate (MMA) with the appropriate ligand followed by treatment with [Ni(allyl)Cl]2.[142] The resulting heterogeneous catalysts with microspherical morphology exhibited activity of 259 – 1067 kg mol–1 h–1 and provided XM = 0.3 – 1.5 mol.% in the copolymerization of ethylene with methyl 10-undecenoate C018 (50°C, 8 atm).
Considering the results obtained for ethylene polymerization in an aqueous medium (H2O/toluene/hexan-1-ol, 100 : 1 : 3 v/v/v) in the presence of [N,O] type Ni complexes, compounds Ni43 – Ni45 were chosen for studying copolymerization with polar monomers.[157] These complexes demonstrated fairly high activities (TOF = 1400 – 1180 h–1 at 50°C and 20 atm) towards comonomers of various natures (0.3 – 0.6 M): alcohols C003, C004, and C006, ester C019, ketone C131, and halo derivative C112 (XM = 0.12 – 1.63 mol.%).
Nickel allyl complexes containing [P,O]-ligands, Ni54 and Ni55, showed a moderate activity (40 – 180 kg mol–1 h–1) in the copolymerization of ethylene with ω-chloro-1-alkenes and unsaturated carboxylic acid esters.[152] In the copolymerization with 6-chloro-1-hexene (50°C, 20 atm), [P,O]-complex Ni53 proved to be less active (below 152 kg mol–1 h–1).[151] Complexes Ni51 and Ni52 also showed low activity in the copolymerization of ethylene with allyl acetate C125 (80°C, 8 atm), namely, 1.5 and 2.0 kg mol–1 h–1, XM = 1.1 and 0.7 mol.%, respectively, Mn = 8.7 – 13.7 kDa.[150]
Complexes Ni49 and Ni50 of the [P,O] type had a low activity (9.5 – 26 kg mol–1 h–1) in ethylene copolymerization with C006, C018, and C112 (80°C, 8 atm); when Ni50 was supported on mesoporous SiO2, markedly more active catalysts were obtained (69.5, 91, and 70 kg mol–1 h–1, respectively).[149]
Bimodal polyethylenes are a promising class of plastics possessing mechanical properties and molding behavior.[4] MgO-Supported catalysts based on [P,O] type complexes Ni46 (formation of a low-molecular-weight fraction with higher XM), Ni47 and/or Ni48 (formation of a high-molecular-weight fraction with lower XM) were developed for the synthesis of polar bimodal PE, with C018 being used as the comonomer.[148] In the case of copolymer with Mn = 17.3 kDa and ÐM = 53.9, the catalyst activity was 1620 kg mol–1 h–1 (80°C, 8 atm).
2.3.2. Copolymerization of ethylene catalyzed by Pd complexes
In the 2020s, palladium [N,N]-, [P,N]-, and [P,O]-complexes and [C,O]-carbene complexes Pd01 – Pd19, were studied in ethylene copolymerization with non-conjugated polar monomers. The results of studies are summarized in Table 17.[153-162]
Palladium [N,N]-complexes have been intensively studied since the mid-1990s,[164] with the only study addressing complexes of this structural type in the copolymerization of ethylene with non-conjugated polar monomers being published in 2022.[153] The structurally rigid complex Pd01 and reference catalyst Pd02 proved to be inert in the copolymerization with ethylene and low-reactivity allyl acetate C125 (0.5 M). Furthermore, in the case of Pd01, the addition of 100 and more equivalents of an additional donor (4-MeC6H4CN) triggered a very slow (1 – 4.7 kg mol–1 h–1) reaction to give copolymers (Mn = 7.1 – 38.8 kDa, XM = 0.1 – 0.7 mol.%) that contained 16 to 77 branches per 1000 carbon atoms; the reference catalyst had a negligibly low activity (0.1 kg mol–1 h–1). A beneficial effect of the addition of an extra donor was also observed for other polar allyl comonomers (C129, C132) and C124; however, in all cases, the catalyst activity was lower than 10 kg mol–1 h–1.[153] The results of this study are of certain theoretical interest, demonstrating the conceptual possibility of reactivation of the relatively stable metallacycles formed upon the insertion of allyl type comonomers and C124. However, the reactivation mechanism (competitive inhibition) causes exceptionally low catalyst activity.
In the presence of Na[B(3,5-(CF3)2-C6H3)4], [P,N]-complexes Pd04 – Pd06 catalyzed copolymerization of ethylene with C019 (0.7 M, 60°C, 20 atm) with an activity of 4.2, 6, and 11.4 kg mol–1 h–1 (XM = 1.19, 0.48, and 1.14 mol.%, respectively) to give low-molecular-weight products.[153]
In the copolymerization with comonomer C127 (N-Boc-allylamine), [P,O]-complex Pd12 showed a moderate activity (80 kg mol–1 h–1 at 8 atm).[161] In the copolymerization of ethylene with allyl acetate C125 (80°C, 8 atm), complexes Pd09 and Pd10 proved to have low activities (2.5 and 4.5 kg mol–1 h–1, XM = 1.1 and 0.7 mol.%, respectively, Mn = 7.7 and 3.4 kDa). At equal XM values, the products of Pd-catalyzed copolymerization had much lower Tm than the copolymers produced in the presence of isostructural Ni complexes.[150] Polar comonomers C137 and C138, synthesized by the reaction of cyclopenta-1,3-diene — maleic anhydride adduct with oleyl or cinnamyl alcohol, respectively, and their trans-isomers C139 and C140 were tested in the copolymerization with ethylene catalyzed by [P,O]-complexes Pd11 and Pd12.[156] Trans-isomers showed higher activity and XM (up to 2040 kg mol–1 h–1 and 22.4 mol.% at 8 atm and 80°C).
Comonomer C147 deserves special attention as an example of non-conjugated polar monomer prepared by chemical fixation of CO2 , that is, by the reaction of butadiene with CO2. This reaction, known since the late-1970s,[165] was recently optimized by Beller and coworkers[166] (Scheme 9). [P,O] type complexes Pd11'', Pd13', Pd14, and Pd18 were introduced into the ethylene copolymerization with C147 where they demonstrated moderate activities.[155] Complexes Pd07 and Pd08 with mixed type ligands (NCN-carbene–O) were found to be even less active; however, catalysis by these complexes resulted in an order of magnitude higher XM .
Of certain interest are the results of the studies of ethylene copolymerization with allyl acetate C125 or n-butyl allyl ether C129 and CO catalyzed by [P,O]-complex Pd16. The catalyst activities were 2 and 43 kg mol–1 h–1, respectively; XM for CO and C129 were 0.34 and 0.58 mol.%.[162]
The studies of [P,O] type complexes Pd11 – Pd13, Pd15, and Pd17 in the copolymerization of ethylene with polar comonomers, 2-azabicyclo[2.2.1]hept-5-en-3-one derivatives C144 – C146, revealed low reactivity of C144 and C145; in the case of C146 (90°C, 8 atm), complexes Pd11 and Pd15 proved to be most active (up to 269 and 142 kg mol–1 h–1, respectively).[158] In the copolymerization of 3-oxobutanoic acid derivatives C126 and C134 with ethylene (80°C, 8 atm), complex Pd12 showed an activity of 150 – 420 kg mol–1 h–1, providing XM of up to 2.3 and 9.5 mol.%, respectively.[160] The resulting copolymers (Mn = 88 – 162 kDa) were subjected to post-modification by Michael addition [CH2=CHC(O)OCH2CH2S)2], amination [N(CH2CH2NH2)3], or metallation (Bu2Mg or Et2Zn) to give cross-linked polymers.
The introduction of CH=CH moieties into the polymer backbone is a method for ‘programming’ the chemical recycling of polyolefins using catalytic metathesis. Coates and co-workers [159] proposed an original approach to the synthesis of this type of polyolefins using polar comonomers C141 – C143, which contain molecular groups that enable retro-Diels – Alder reaction in the copolymer (Scheme 10).[159] Complexes Pd11' or Pd13' were used in the copolymerization, and the best results were achieved for Pd13' and comonomer C142, which formed a copolymer that eliminated dimethyl furan-2,5-dicarboxylate at ~ 180°C. The unsaturated PE obtained in this way were used in the synthesis of polyethers (see Section 2.4). In 2024, Li and Jian,[157] who studied the Pd11 – Pd13- and Pd15-catalyzed copolymerization of ethylene with C141, reported XM of up to 42 mol.%.
2.4. Properties of ethylene copolymers and prospects for their practical application
The introduction of polar comonomers into PE markedly affects the physical properties and mechanical characteristics of the polymer. The presence of long hydrocarbon chains between functional groups and the backbone naturally decreases the degree of crystallinity and related characteristics: melting point Tm and melting enthalpy ΔHm (Refs [41][44] [48][50][53] [57-59][61][62][64][68][69] [75] [88-90] [96][97][102][104][105] [113][121][123][144]). However, in some experiments, the incorporation of a minor (< 0.1 mol.%) amount of a comonomer with long (CH2)n chain (e.g., C006) resulted in a slight increase in Tm,[36] which was attributed to suppression of the formation of long-chain branches in the presence of the polar comonomer in the reaction mixture. Detailed information on the copolymer microstructure can be gained using the successive self-nucleation and annealing (SSA) method.[167] Fig. 3 shows the thermograms obtained by this method and plots of the (CH2)n sequence length distribution for ethylene copolymer with C006.[63] The differences in the number, positions, and areas of peaks attest to differences in the crystallite dimensions caused by the presence of (CH2)n sequences of various lengths in copolymer macromolecules.
The presence of branches with terminal polar groups and the relative content of these branches affect the rheological behavior of copolymer melts. An important rheological characteristic of polymer melts is the relaxation time, which reflects the rate at which the system returns to equilibrium after deformation (shear). An increase in the relaxation time indicates the presence of interactions between macromolecules, while short relaxation times are characteristic of polymers with low Mn values (or, more generally, low lengths of interacting macromolecular sequences). A study of the ethylene copolymer with C006 (Mn = 2.3 – 6 kDa) revealed a decrease in the relaxation time compared to that of PE (Mn = 3.7 kDa) for low comonomer content (~ 2 mol.%), caused by increasing molecular mobility of shorter (CH2)n sequences in the copolymer. Meanwhile, an increase in the content of C006 in the copolymer to 5.6 mol.% brought about an increase in the relaxation time due to the formation of hydrogen bonds between macromolecules.[63] In all probability, these interactions also account for the increase in complex viscosity and activation energy for viscous flow with increasing content of the comonomer.[63]
The introduction of polar groups into the PE side chain markedly affects the surface properties of the copolymer. For example, for the copolymer of ethylene with C006, the contact angle decreased from 105° (for parent PE) to 95 and 90° for copolymers containing 0.5 and 1.1 mol.% comonomer, respectively.[57] The copolymers of ethylene with isobutylene (10.9 mol.%) and C011 (6 mol.%) had contacts angles of 111 and 81°, respectively.[58] For the copolymer with tyrosine derivative C073 (2.65 mol.%), the contact angle was 48.5°.[108]
The effect of short-chain branches with polar functional groups on the mechanical properties of ethylene copolymers depends on the comonomer content, the nature of the substituent, and the length of the (CH2)n sequence in the side chain. For relatively low comonomer contents (less than 1 mol.%) and equal Mn, the influence of the chemical nature of the comonomer is manifested as the appearance of additional chemical interactions (hydrogen bonds or Coulomb attraction forces giving ion clusters), which result in decreasing elasticity. For example, for equal Mn values (~ 40 kDa) and tensile strengths σt , ethylene copolymer with 5-hexen-1-ol C004 (0.36 mol.%) had a substantially lower relative elongation at break ε than ethylene copolymer with 5-hexen-2-one C131 (0.18 mol.%).[73] In relation to copolymers of ethylene and 9-decen-1-ol C005 (Mn 74 – 99 kDa), it was shown that increase in the comonomer content from 6.9 to 20.4 mol.% leads to elastomeric behavior of the comonomers: σt decreases from 34 to 1.1 MPa and ε increases from 630 to 1200.[59] On further increase in the comonomer content to 32.1 mol.%, the copolymer becomes brittle.[59]
In some cases, the presence of bulky moieties in the side chain resulted in increasing elasticity and self-healing properties; this effect was demonstrated for ethylene copolymers with 2-allylanisole C115 (Mn = 40 – 550 kDa, ÐM = 1.6 – 2.0),[120] terpolymers with substituted 2-allylanisole C115' and fused 2-allylanisole analogs (C116, C117),[119] (Mn = 110 – 355 kDa, ÐM = 1.5 – 1.9), and for terpolymers of ethylene, comonomer C102, and substituted styrenes (Mn = 66 – 130 kDa, ÐM = 1.6 – 1.9).[118] The content of ethylene in these copolymers was 50 – 70 mol.%.
A promising method for the synthesis of polymers possessing self-healing and shape memory properties is cross-linking of copolymers containing unsaturated alcohols (e.g., C006) with the product of reaction of 4,4'-dithiodiphenylamine with isophorone diisocyanate (Scheme 11).[126] This line of research is new and has been little studied.
In some cases, the effect of charged polar groups can considerably change the mechanical properties of PE. Ethylene copolymer with C004 containing 5.5 mol.% side-chain (CH2)4OH groups had ε = 900% (σt = 13.7 MPa) and a yield strength of ~ 5 MPa (characteristics important for molding similar to the LLDPE properties), whereas copolymers with the (CH2)4R+ Br– groups [R = N-(N'-methyl)imidazolium, N-pyridyl] containing ~5 mol.% comonomer had ε = 500 and 573% at σt = 15.2 and 17.9 MPa, respectively; the yield strength for these copolymers was ~ 6.5 MPa. At higher contents of (CH2)4R+ Br– groups (16 mol.%), the copolymers behaved as elastomers.[116]
Terpolymers composed of ethylene, hexene, and N-methylimidazolium-functionalized norbornene were obtained from the appropriate copolymers containing 5-iodomethyl-2-norbornene C149.[168] As shown in Scheme 12, the physicochemical properties of the copolymer depend on the backbone structure and the nature of substituents: the introduction of 1-hexene increases the elasticity, the norbornane moieties increase the strength, and ionic groups enable binding between the macromolecules. This study resulted in the preparation of a new type of elastomers characterized by high tensile strength (up to 13.7 MPa) and elastic recovery (up to 96%).[168]
Polyethylene molding is usually accomplished by extrusion or die casting. 3D Printing is barely applicable to standard types of PE due to fast and non-uniform crystallization of the polymer, resulting in shrinkage and deformation of the product on cooling, which restricts diffusion and decreases the binding strength between the layers. The nonpolar nature of PE also reduces the adhesion between the product and the support.[169] Fig. 4 vividly shows the results of a study aimed at solving this problem: the manufacture of high-quality filaments suitable for 3D printing is made possible by using the product of copolymerization of ethylene with C018 in the presence of two-component supported catalysts based on Ni46 and Ni48; the copolymer has a bimodal MWD with various comonomer contents in the low- and high-molecular-weight fractions.
Ultrahigh molecular weight polyethylenes (Mn up to 726.7 kDa) containing 0.2 – 4.9 mol.% OH groups were obtained by the copolymerization of ethylene with C006-AlBui2 catalyzed by supported Ti02/MMAO/SiO2.[56] The morphology of polymer particles was suitable for the subsequent fabrication of fibers by gel spinning followed by heat drawing. The resulting fibers were not inferior in their characteristics to fibers made of commercial ultrahigh molecular weight polyethylene (UHMWPE) and markedly exceeded them in terms of creep resistance (Table 19).
Copolymers of ethylene with C014 prepared using ionic cluster strategy (prepolymerization of C014-AlEtCl followed by ethylene polymerization) substantially improved the mechanical properties of PE and poly(ethylene terephthalate) (PETP) blends, resulting from recycled packaging waste.[88]
The introduction of nitrogen-containing heterocycles into the PE side chain led to an increase in the photo-oxidative stability of polymers.[95]
In order to produce polyolefins possessing enhanced thermo-oxidative stability, O’Hare and co-workers[99] proposed introduction of phosphonate groups into the side chain. The introduction of OP(OPri)2 (130°C, 48 h) and OP(OPh)2 (180°C, 72 h) side groups into ethylene copolymers with ω-bromo-1-undecene C084 (up to 6.1 mol.% comonomer) by the Michaelis–Arbuzov reaction gave materials with T50% = 492 and 506°C, respectively (Fig. 5, for LLDPE, T50% = 355°C). The composites consisting of 80 mass% LLDPE, 10 mass% Al(OH)3 , and 10 mass % copolymers containing side-chain phosphonate groups had T50% = 473 – 475°C.
To increase the thermo-oxidative stability, side chains containing phenolic moieties were also introduced into PE macromolecules. The oxidation induction time at 200°C for the copolymer of ethylene with C089 was 18 – 72 min (1 min for PE).[105] The ethylene copolymer with alkenyl tocopherol derivative C090 (0.2 mol.%) had an oxidation induction temperature of 244°C (210°C for PE).[106]
A possible (although controversial, considering the issue of microplastics[170]) way for solving the problem of environmental pollution by PE waste is to decrease the photo-oxidative stability of the polymer. The incorporation of keto groups into the PE backbone and polar groups into side chains (copolymerization with CO and functional olefins) substantially decreases the stability and increases the hydrophilicity of PE.[162]
A promising practical application of cationic PE ionomers prepared by copolymerization of ethylene with ω-haloalkanes followed by post-modification is based on the bactericidal effect of ammonium salts against S. aureus and E. coli, which was recently demonstrated [100][161] in relation to copolymers containing N-methylimidazolium moieties. A much lower antimicrobial activity was inherent in the copolymers of ethylene with N-Boc-allylamine[161] and in copolymers of ethylene with C146 treated with HCl and containing ammonium and carboxylate moieties.[158] An alternative approach to PE with antibacterial properties is based on the reactions of ethylene copolymers with C014 with Ag+, Zn2+, or Cu2+ salts; materials containing Ag+ ions regularly exhibited the greatest effect.[161]
A promising application for polyethylene ionomers is the development of ion exchange membranes. In 2011, Professor Chung’s research team developed membranes of this type based on CH2=CH(CH2)nN(SiMe3)2 copolymers (n = 4, 9; C148 and C049).[171] A film sample (50 μm-thick) composed of the copolymerization product of ethylene with C148 and 4-butenylstyrene (0.2 mol.%) after thermal cross-linking, hydrolysis, and exhaustive quaternization contained 28 mol.% [(CH2)4NMe3]+Cl– groups and showed a Cl– ion conductivity of ~ 102 mS cm–1.[171] Polyethylene ionomers are also promising for the manufacture of membranes for alkaline anion exchange fuel cells, which have been intensively studied in recent years,[172] as was shown by Cao et al.,[101] who considered membranes fabricated from the products of reaction of the copolymer of ethylene and C083 with Me2N(CH2)6NMe2 and Me3N.[101] The resulting membranes proved to be resistant to alkalis (up to 1680 h at 80°C in 1 M NaOH) and had high hydroxide and bicarbonate conductivities.
According to UV spectroscopy and cyclic voltammetry, ethylene copolymers with polar monomer C062 containing C6H4NPh2 groups had HOMO and LUMO with relative energies of –5.45 and –1.97 eV, respectively, which made them promising for the fabrication of the hole-conducting layer for organic light-emitting diodes using aluminum tris(8-hydroxyquinoline) (λem = 524 nm).[97] Ethylene copolymers with C063 or C064, containing o-tolyl and 1-naphthyl groups, which possessed a higher oxidation stability than ethylene copolymer with C062, were synthesized in a more recent study.[93]
Another promising trend is the development of composite materials in which a polar copolymer acts as a compatibilizer between an inorganic filler and a polyethylene matrix. The product of reaction of MCM-41 (mesoporous silica with cylindrical oriented pores, pore diameter of 1.8 – 3.3 nm) with C014-AlBui2 was subjected to Zr01/MAO-catalyzed copolymerization with ethylene in order to change the pore diameter and gas permeability of the material as a result of partial filling of the pores with the resulting copolymer.[86][87] The obtained materials (7.9 – 10.3 mass % MCM-41) were used to fabricate gas permeable membranes by melt compression.[86] In a later study using the same monomer and catalyst, nano-sized MCM-41 particles were employed, and the rheological behavior and mechanical characteristics of the resulting composites were studied in detail; the strength of the composite melt was found to increase with increasing content of the polar comonomer.[85] Montmorillonite-based composites were obtained by introducing polar comonomer C065, containing ammonium ions and acetyl moieties, between the layers of inorganic filler followed by treatment with MAO and Zr25; copolymerization was carried out at 60°C and 1 atm.[98] The resulting composites were characterized by high stability because of chemical binding of PE to the surface of montmorillonite.
The products of thermolysis of ethylene copolymer with C142 were subjected to cross-metathesis with 2-hydroxyethyl acrylate (in the presence of Hoveyda – Grubbs catalyst, 2nd generation, HG2) and to hydrogenation to give macromonomers, which were then transesterified to give polyesters with extended PE sequences (Scheme 13).[159] The obtained copolymers had Tm = 127.4 – 133.9°C and ΔHm = 26.3 – 35.9 cal g–1 (for HDPE, Tm = 136.7°C and ΔHm = 47.8 cal g–1) and higher elasticity compared to HDPE. Ethenolysis of polymers with higher contents of C=C groups (HG2 catalyst) afforded mixtures of α,ω-dienes.[157]
3. Copolymers of propylene with polar vinyl monomers
3.1. Copolymerization of propylene catalyzed by Group 4 metal complexes
Many Group 4 metal complexes effectively catalyze polymerization of propylene; in particular, catalysts of this type are widely used to produce isotactic polypropylene[173] and polypropylene-based elastomers.[174] As in the case of copolymerization involving ethylene, copolymerization of carboxylic acid derivatives, alcohols, and amines requires the use of OAC as masking reagents. Meanwhile, particularly in the copolymerization with propylene, monomers with latent reactivity (haloalkenes, alkenylboranes) have been widely used without organoaluminum masking reagents. Quite a few catalysts and comonomers mentioned in Section 2 were also studied in the copolymerization with propylene. The structural formulas of comonomers and precatalysts presented below supplement the list of structures considered in the previous Sections; the results of investigation of propylene copolymerization with polar monomers reported in numerous publications [10][31][32][37][39] [70][76][78][81][91][101][175-194] [195-207] are summarized in Table 20.
Analysis of the scientific periodicals devoted to the copolymerization of propylene with polar comonomers [10][31][32][37][39] [70][76][78][81][91][101][175-194] [195-207] distinguishes three periods: (1) evaluation of the prospects of using polar comonomers with existing catalytic systems (Ziegler – Natta catalysts and simple metallocenes; late 1980s – 1990s), (2) use of conventional single-site catalysts (rac-forms of ansa-zirconocenes, 1990s – 2000s), (3) search for effective single-site catalysts, monomers, new approaches, and applications for new materials (currently).
Early experiments on the copolymerization of polar vinyl monomers using single-site catalysts revealed a number of trends. Classic Ziegler – Natta catalysts (exemplified by TiCl3 and AlTi3Cl12, as late-generation donor-containing titanium magnesium catalysts are hardly applicable) showed poor performance.[31][32][175, 177, 178, 206]
When single-site catalysts are used, MAO shows low efficiency as a masking reagent for ω-alkenols and ω-alkenylcarboxylic acids compared to Me3Al (Ref. 37) or Bui3Al.[39] The use of equivalent amounts of Bui3Al for binding reactive monomers resulted in the formation of copolymers with higher Mn;[189] In all probability, this is due to the suppression of chain transfer to Al. Hagihara et al.[76] found that in the copolymerization with C002, chain transfer to Al is promoted by using Me3Al and results in the formation of characteristic terminal groups (Scheme 14).[76] This type of chain termination is more pronounced in the copolymerization of lower unsaturated alcohols (e.g., C002) that are able to form intramolecular complexes with the unstrained metallacycle. Consequently, the use of Bui3Al as a masking reagent results in the formation of random copolymers, while in the presence of a tenfold excess of Me3Al, low-molecular-weight polymers containing characteristic >CHMeCH2CH2OH terminal groups are formed.[76] Similar terminal groups were also detected in the copolymerization with CH2=CHCH2X (X = OH, NH2 , SH); NH- and SH-acids reacted with R3Al similarly to unsaturated alcohols.[191]
Among early studies, the paper by Paavola et al.[190] deserves particular attention. A broad range of copolymers characterized by Mn = 6.6 – 55.5 kDa, ÐM = 1.9 – 2.0, and XM of up to 2 mol.% were obtained by Zr10/МАО-catalyzed copolymerization of C006. For Zr23/МАО, it was shown that the rate constant for C006-AlBui2 consumption differs from the rate constant for chain propagation during propylene homopolymerization by less than an order of magnitude.208 When Zr10/ММАО was used together with 2,6-di-tert-butyl-4-methylphenol (butylated hydroxytoluene, BHT) to bind Me3Al, catalyst activities of up to 10 000 and 18500 kg mol–1 h–1, respectively, were achieved in the copolymerization of propylene with C004 and C006.[193] The copolymerization constants for propylene (rP) and comonomers (rC) were 9.01 and 0.72, respectively (C004-AlBui2) and 7.32 and 0.33, respectively (C006-AliBu2). The rP × rC004 and rP × rC006 values equal to 6.49 and 2.42, respectively, reflect the tendency towards the formation of polypropylene blocks, which is more pronounced for the copolymer with shorter comonomer C004.[193]
Most of studies of propylene copolymerization with polar monomers included experiments at low (1 – 2 atm) monomer pressures and a temperature of 25°C. In 2022, Duchateau and co-workers[197] investigated copolymerization of propylene an C006-AlBui2 at elevated pressure (5 atm) and temperature that are used in the polyolefin industry; complex Zr10 demonstrated the most promising characteristics.[197] However, attempts to use a Zr10-based copolymerization catalyst supported on silica were unsuccessful. In a later study,[10] the same research group investigated Hf05/МАО-catalyzed copolymerization of propylene and Et3Al- or Bui3Al-treated C004. The oligomeric (trimeric at 20°C and dimeric at elevated temperature) nature of ROAlR'2 was responsible for decreasing comonomer conversion and XM (since after incorporation of one alkenyl moiety of an oligomeric complex, the other moieties remained idle), and the copolymerization efficiency was increased by introduction of BuOAlR2.[77] Another substantial factor that restricts the use of Bui3Al as a masking reagent is the possibility of hydroalumination at elevated temperatures (> 100°C) found in the same study (Scheme 15).
Like in the copolymerization of ethylene, the best results were achieved by using comonomers that directly react with OAC such as unsaturated alcohols.[188] Alkenyl-substituted oxazolines [188] and sterically unhindered ethers proved to be poorly reactive comonomers.[78] A comparative study of the reactions of ethers CH2=CH(CH2)8OR, C021, C150, C027, C032, and C033, with the complex Cp2ZrMe(μ-Me)B(C6F5)3 demonstrated that the presence of sterically hindered substituents R (CPh3, SiPh3) prevents the coordination of oxygen to the Zr atom.[70] Meanwhile, the results of copolymerization experiments using Zr23/MAO catalysts indicated relatively low reactivity of these comonomers. The Hf04/TBF catalytic system proved to be much more effective; upon the introduction of C159, the activity substantially decreased (by an order of magnitude for 150 equiv. of the comonomer added), while Mn of the polymer increased by a large factor (up to 0.9 × 106 Da).[207] According to DFT modelling of the copolymerization mechanism, the increase in Mn was attributed to the reversible intramolecular Hf ∙∙∙O coordination, which prevents chain termination by the β-hydride elimination mechanism (intermediate Pxx is 5.8 kcal mol–1 more stable than Pxβ-H, Fig. 6). The decrease in the activity was explained by the difference between the ΔG≠ values for propylene insertion in intermediates P5re and Pxx (14.6 and 18.4 kcal mol–1, respectively).[207]
Tertiary ω-alkenamines are a promising type of comonomers. Apart from steric factors, the reactivity of these comonomers is influenced by the nature of substituents at the N atom: when the Hf04/Bui3Al/TBF catalyst was used, comonomers C169 and C101 with NMe2 and NEt2 terminal groups proved to be inactive; comonomer C046 with the NPri2 group did react, with copolymer Mn decreasing with increasing comonomer concentration; and when comonomer C170 with the NPh2 terminal group was used, Mn virtually did not change (60 – 77.1 kDa) even after a threefold increase of the molar content of C170 in the reaction product.195 In 2020, Marks and co-workers 196 described propylene copolymerization with CH2=CH(CH2)nNPrn2 [n = 2 (C044), 3 (C045), 6 (C048)] and CH2=CH(CH2)6NPri2 (C168) catalyzed by Zr07'/TBF and Zr22'/TBF. Comonomers C044 and C045 in concentrations of 0.012 М virtually deactivated both catalysts. As the concentration of comonomer C048 increased from 0.012 to 0.1 mol L–1, the activity of Zr07'/TBF decreased by an order of magnitude (4208 vs 431 kg mol–1 h–1); an even more pronounced dependence of the activity on the comonomer concentration was observed for Zr22'/TBF (465 and 15 kg mol–1 h–1 for [C048] = 0.012 and 0.05 mol L–1, respectively). The stereoregularity of the obtained isotactic (Zr07'/TBF) and syndiotactic (Zr22'/TBF) copolymers proved to be higher than the stereoregularity of the parent polypropylene (PP): mmmm = 82.3 – 83.7% vs 59.5% and rrrr = 76.6 – 78.9% vs 66.3%.196 The copolymerization experiments with 1-octene in the presence of R3N also revealed an increase in the stereoregularity: most likely, reversible Zr∙∙∙N coordination increases the stereoselectivity of coordination and monomer incorporation in some way. A slight increase in the stereoselectivity was also observed for the Zr07/ММАО-12-catalyzed propylene copolymerization with ω-alkenylpyrrole C155.198 In the copolymerization of C155 in the presence of the same catalyst, the introduction of 1 mol.% comonomer induced an increase in the activity, which is generally not typical of reactions involving polar monomers.199, 209
A number of studies report unexpected and somewhat discouraging results. Eisen and co-workers 192 described copolymerization of propylene with CH2=CH(CH2)8NHC(O)CF3 (C161) catalyzed by Zr23/MAO ([Al]/[Zr] = 200 : 1) to give random copolymers without the use of masking reagents. In the cited study, the choice of amides was substantiated by the fact that they cause lower deactivation of the catalytic site, which casts some doubts, in view of high donor properties of amides in comparison with other carboxylic acid derivatives (fundamental study by Gutmann 210). Eisen and co-workers 192 also reported data on the propylene copolymerization with C006 catalyzed by complexes Zr41 and Ti63; the reactions gave an atactic polymer with a low comonomer incorporation ratio.
The possibility of using ω-halogenated α-olefins in the coordination (со)polymerization was demonstrated back in 1965.211 Study of the reactions of various types of R – Hal with OAC showed than only primary halogen derivatives can be applied as comonomers. The TiCl3/R3Al catalyst was found to benefit from addition of an extra donor (pyridine).178 More recently, Zhang et al.181 prepared the propylene copolymer with C084 and propylene terpolymer with C084 and 4-butenylstyrene using the TiCl3/Et2AlCl catalyst, which exhibited a very low activity (~ 10 g gTiCl3–1). In 2024, O’Hare and co-workers[10] published the results of a comparative study of the catalytic behaviours of Zr23, Zr10, Zr18, and Ti02 in the propylene copolymerization with ω-bromo-1-alkenes to give isotactic, syndiotactic, and atactic copolymers, with the highest reactivity found for comonomer C084.[10]
A comparative study of the catalytic activity of Zr23/Bui3Al/TBF and Hf04/Bui3Al/TBF in the propylene copolymerization with ω-halogen-substituted 1-butene and 1-undecene indicated a higher activity for zirconocene compared to the post-metallocene Hf complex. The reactivity of comonomers increased with increasing length of the (CH2)n fragment between the C=C bond and the halogen atom and decreased in the series I > Br > Cl.202 A 1H NMR spectroscopy study of the mixtures of Hf04/BF with CH2=CH(CH2)2Hal [Hal = Cl (C174), Br (C111), I (C175)] indicated the formation of complexes with the Hf...Hal bond for C174 and C111 and no iodine coordination to the Hf atom, which correlates with experimental results: among 4-halo-1-butenes, only iodo derivative C175 proved to be capable of being incorporated into the growing polymer chain.212
ω-Alkenylboranes (borates) are another type of comonomers with latent reactivity. There are few examples of copolymerization of propylene with these comonomers. Propylene copolymers with alkenylborane C180 were obtained using TiCl3/Et2AlCl.179 In the presence of Zr42/MAO/BHT catalyst, diester C181 and diamide C186 formed copolymers (XM of up to 3.8 mol.%) with mmmm = 85 – 90%.203
The compound CH2=CH(CH2)6AliBu2 (C185) can also be classified as having latent reactivity. Back in 2002, Shiono and co-workers 204 proposed to use C185 as a comonomer; Zr08- and Zr18-catalyzed copolymerization of propylene and C185 in the presence of TBF followed by oxidation and hydrolysis resulted in a product containing side-chain (CH2)6OH groups.204 In 2024, O’Hare and co-workers [10] showed experimentally that the use of C185 in industry (at elevated temperatures) may be complicated by hydroalumination (Scheme 16).[10]
Wang et al.206 used Zr10/МАО-catalyzed copolymerization of propylene with CH2=CH(CH2)nSiMeCl2 (n = 2, 4, 6) followed by hydrolysis to obtain polypropylene with long-chain branches. The formation of copolymers was complicated by the reaction of MAO with Si – Cl groups during the copolymerization, and by gelation during the hydrolysis; the prospects for practical application of the proposed approach are questionable.
Scandium and vanadium complexes have been barely studied in the propylene copolymerization with non-conjugated polar vinyl monomers. Et2AlCl-aactivated VOCl3 showed a very low activity in the copolymerization of propylene, ethylene, and C020.[32]
3.2. Copolymerization of propylene catalyzed by Group 10 metal complexes
Catalysts based on Group 10 metals generally exhibit low stereoselectivity in propylene polymerization;19 that is why propylene copolymerization with non-conjugated polar vinyl monomers has been addressed in much fewer publications compared to ethylene copolymerization. The latest achievements in this field were summarized in 2021.23 The present Section considers the results of studies published in 2020 – 2025.
Single-component catalysts based on Ni complexes were not used in the copolymerization of propylene with non-conjugated polar vinyl monomers in the 2020s. In 2025, Chen et al.213 reported the development of a complex catalytic system for the synthesis of polar high-impact polypropylene using [N,N]-complexes Ni13 or Ni14 and Ziegler – Natta catalysts. The deposition of both types of catalysts (1 and 10 μmol, respectively) on a polar support (Table 24) afforded a ‘mixed’ catalyst, which was then used in the polymerization of ethylene to give branched PE (the major contribution to PE formation was made by the Ni catalyst) and then in the isotactic polymerization of propylene in the presence of Bui3Al, which deactivated Ni catalyst and activated the Ziegler – Natta catalyst. This two-step copolymerization resulted in the formation of a material with enhanced σt and impact resistance (see Section 3.5).
[P,O]-complexes Pd20 – Pd22 were of low activity in the copolymerization of propylene with allyl acetate C125 (0.19 – 0.49 kg molcat–1 h–1); for copolymers with XM = 0.85, 1.82, and 0.05 mol.%, the contents of isotactic triads mm were 0.51, 0.65, and 0.74%, respectively; in the copolymerization with allyl chloride, Pd20 and Pd22 were even less active (0.08 and 0.25 kg molcat–1 h–1, respectively).214 The very fact of isotacticity is certainly of interest, but practical application of these catalysts is out of the question. Low activities (0.21 – 1.8 kg molcat–1 h–1) in the copolymerization of propylene with 5-norbornene-2-carboxylic acid esters C118 and C133 were also found for catalysts Pd23 – Pd25.215
3.3. Post-modification of propylene copolymers and polypropylene ionomers
In a review published in 2014,216 non-conjugated dienes and ω-alkylstyrenes were mainly considered as comonomers with latent reactivity. The presence of CH=CH2 groups in the side chain is an obvious and commercialized advantage of rubbers, which are not the subject of this review. Meanwhile, a number of examples of successful post-modification of propylene copolymers with monomers containing reactive functional groups with heteroatoms can be found in scientific periodicals.
In early stages of research, copolymers of propylene with alkenylborane C180 prepared using AlTi3Cl12/Et2AlCl were converted to polyols and polyiodo derivatives in high yields;179, 216 however, the same copolymers can also be synthesized by copolymerization of propylene with OAC-protected alkenols and ω-iodo-1-alkenes (see Table 10 ). In a later study, of copolymers involving arylboronic acid diester C181 and diamide C186, deprotection to give terminal phenolic moieties was performed by treating the copolymer with HCl/MeOH.203
Propylene copolymers with ω-halogen-substituted α-olefins are promising starting compounds for post-modification. Scheme 17a shows examples of replacement of halogen atoms in copolymers of this type using S-nucleophiles (including the synthesis of graft copolymer with ε-caprolactone).32, 217 The polymerization of L-lactide initiated by SCH2CH2OH-functionalized polypropylene (PP) afforded graft copolymers containing up to 70 mass % poly(L-lactide) (Scheme 17b).217
In 2024, O’Hare and co-workers 10 reported the results of a study devoted to post-modification of propylene copolymers with C084 using various N-, O-, S-, and P-nucleophiles (Scheme 18).10
Post-modification is also possible for polyols. Polypropylene copolymer with C006 was treated with 2,6-di-tert-butylphenol derivatives (Scheme 19) to increase the antioxidant properties of PP.194
Polypropylene ionomers are copolymers containing side-chain charged groups such as carboxylate anion (CO2–, early study 32) or ammonium ions (more recent studies). A general approach to ionomers containing ammonium ions is based on reactions of propylene — ω-halo-1-alkene copolymers with amines, e.g., the reaction of the propylene — C083 copolymer with Et3N and N-methylimidazole (Scheme 20) 218 or the reaction of the propylene — C084 copolymer with NMe3 and NMe2(n-C16H33).181
The reactions of the copolymer of propylene and C083 with Me2N(CH2)6NMe2 and Me3N gave cross-linked quaternized materials with anion exchange properties.101 An alternative approach to polypropylene ionomers containing ammonium ions is based on the acid hydrolysis of a propylene copolymer with C148.177
In 2022, Lin and co-workers 205 proposed using CH2=CH(CH2)6AliBu2 (C185) for the synthesis of anionic polypropylene ionomers containing Al carboxylates.205 In the presence of a supported catalyst based on new complex Zr040, activities of up to 2.5 × 105 kg mol–1 h were achieved. The resulting copolymer was treated with CO2 and then with O2 to give ionomers containing 0.01 – 0.09 mol.% Al carboxy/alkoxy derivatives (Scheme 21) with promising mechanical characteristics (see Section 3.5).
In 2024, Wang et al.219 described anionic ionomers synthesized using the ionic cluster strategy. Ionic clusters were formed during the copolymerization of propylene with [CH2=CH(CH2)COO]2AlCl catalyzed by commercial titanium-magnesium Ziegler – Natta catalyst. The comonomer was obtained by the reaction of 10-undecenoic acid C014 with Et2AlCl. The highest activity of 10 600 kg mol–1 h–1 was attained at 60°C (8 atm), XM = 0.12 mol.%.
3.4. Properties of propylene copolymers and prospects of their practical application
The properties of propylene copolymers with polar vinyl monomers depend on the comonomer nature, copolymer composition, and chain microstructure, including distribution of the units and stereoregularity. Stereoregularity is determined, first of all, by the nature of the catalyst. It is commonly known that C1-symmetric rac-forms of ansa-zirconocenes can catalyze isotactic polymerization, and in the early stages of research, particularly these complexes were used in the synthesis of functional PP.
For example, copolymerization of propylene with 10-undecenoic acid amides C066 – C070 furnished isotactic copolymers with Mn = 6.8 – 20.5 kDa and ÐM = 2.0 – 2.3.91 The comonomer incorporation into PP macromolecule resulted in a regular decrease in Тm of the copolymer (148°C for isotactic PP; 136 – 146°C for copolymer with the comonomer content of 0.96 – 0.04 mol.%).91 Even early studies noted the importance of removing traces of inorganic impurities from copolymers synthesized using a substantial excess of OAC, which markedly decreases the melting enthalpy of the polymer.189 The tendency towards decreasing Тm was also observed for PP ionomers.218
When the comonomer content is low (< 5%), phase transitions in functional PP are usually determined by the melting and crystallization processes of polypropylene segments. In the case of block copolymers and graft copolymers, the second melting point may appear at high comonomer contents: for example, graft copolymer of PP and L-lactide (70 mol.%) has two Тm amounting to 124 and 141°C, which are characteristic of PP and poly(L-lactide), respectively.217
As a rule, copolymers of propylene with polar vinyl monomers have lower σt, Et, and greater elasticity (relative elongation at break ε) than isotactic polypropylene (iPP). These values depend on the chemical structure and content of the comonomer. Table 25 presents the results of tensile tests for iPP and copolymers with C062 containing (CH2)6-p-C6H4NPh2 moieties.195 As can be seen, the introduction of ~ 1 and ~ 12 mol.% comonomer induced a considerable decrease in σt (from 39 to 22 MPa), a critical drop of Et (from 773 to 40 MPa), and a more than 40-fold increase in ε.
Molding and processing of PP products require increasing the thermo-oxidative stability of the polymer. In the production of polyolefins, this is attained by adding antioxidants, derivatives of sterically hindered phenols, to the melt. However, low-molecular-weight antioxidants are washed out from the polymer on exposure to solvents, heat, and strong electromagnetic fields. The first experiments on the synthesis of copolymers of propylene and C089, containing a phenolic moiety, were carried out back in 1994; the resulting materials were stable at 110°C for 400 – 700 h (in the case of iPP, the first signs of oxidation appear as soon as after 6 h).184 In 2015, Chung and co-workers 194 proposed using PP containing sterically hindered phenolic moieties for the manufacture of films in metalllized polymer capacitors.194 A pronounced increase in the thermal stability of iPP was also achieved by introducing Ph2N groups into the side chain: for iPP, the temperature of the onset of weight loss in air Tр was 280°C, whereas the copolymer containing 1.1 mol.% comonomer C062 had Tр = 350°C.195 A substantial increase in the thermo-oxidative stability was also observed for the copolymer of propylene with ω-alkenylpyrrole C155.198
The first study dealing with the adhesive properties of functional iPP was published in 2004;189 the copolymer with C006 (0.4 mol.%) exhibited fairly high (up to 420 N m–1) peel strength from an aluminum surface (although it was inferior in this characteristic to graft copolymers of iPP and maleic anhydride and acrylic acid). In a recent study by Duchateau’s research group,220 the terpolymer of propylene with 1-hexene and hexen-1-ol (C004), synthesized in the presence of the Hf05/МАО catalyst, containing < 0.5 mol.% hydroxyl groups was proposed as a hot-melt adhesive for iPP/Al and iPP/steel pairs. In a number of experiments, the adhesive strength using these copolymers exceeded 16 MPa (steel) and reached almost 8 MPa (Al).220 A fairly high adhesive efficiency was also found for the reaction products of the copolymer of propylene and C084 with N-ethylethanolamine and N,N-diethanolamine (Fig. 7).10
The use of copolymerization of propylene with polar monomers is also of obvious interest for the manufacture of composites. The Zr23/МАО-catalyzed in situ copolymerization of propylene with C006 in the presence of glass fiber provided a stronger binding between iPP and the filler.221, 222 The use of C004 copolymers as bitumen modifiers was recently studied by Duchateau and co-workers.223, 224 The copolymers showed high efficiency in the manufacture of road surfacing materials using recycled rubber crumbs.
Historically, copolymers of propylene with polar vinyl monomers have been assigned to a specific group of copolymers, so-called ionomers, polymer materials with a hydrocarbon backbone and slight contents of charged side groups (carboxylates, ammonium ions). The introduction of even minor amounts of comonomers with charged groups leads to significant changes in the characteristics of copolymers. Back in 1989, Landoll and Breslow 175 showed that copolymers of propylene and 10-undecenoic acid (as the anion) have the activation energy for viscous flow Ea of ~ 48 kcal mol–1 (for iPP, it is ~ 10 kcal mol–1), which may markedly facilitate thermoforming.
The effect of charged substituents [(CH2)4NH3+]Cl– in the iPP backbone on the mechanical properties of polymers obtained by copolymerization of propylene and C148 followed by acid hydrolysis (Mn = 181 – 195 kDa, ÐM = 2.15 – 2.33) is depicted in Table 26; the introduction of ammonium groups into the macromolecule resulted in a considerable increase in the strength of the material.177
Powder X-ray diffraction study of polypropylene ionomers obtained using CH2=CH(CH2)6AlBui2 (C185) in the solid state and in the melt indicated the presence of ionic clusters.205 At low concentration (< 0.1 mol.%), these clusters had little effect on the crystallinity and Tm, but they crucially improved the rheological behaviour important for thermoforming such as melt strength, shear thinning, and extensional strain hardening.205, 225 The PP foam samples manufactured from polypropylene ionomers were not inferior in their characteristics to iPP-based samples with long-chain branches.226
Propylene copolymers synthesized using ionic cluster strategy by copolymerization of propylene and C014-AlEtCl are also promising materials for the manufacture of polymer composites.219 After treatment with HCl, these copolymers acted as effective compatibilizers markedly improving the mechanical characteristics of recycled plastics (PETP/HDPE) and the quality of 3D-printed products based on iPP and talc.
Films based on ionomers with [(CH2)9NMe2R]+ terminal groups (R = Me, n-C16H33) obtained by hot pressing of copolymers with C084 followed by quaternization showed a low tendency towards swelling in aqueous solutions and a linear temperature dependence of the hydroxide conductivity, but an insufficient chemical stability in an NaOH solution.181 Further enhancement of characteristics of conducting membranes for fuel cells was achieved through cross-linking by the (CH2)9NMe2+(CH2)6NMe2+(CH2)9 moieties. The resulting materials demonstrated the hydroxide and bicarbonate conductivities of up to 140 and 35 mS cm–1, respectively, and high stability to the action of alkalis (up to 70 days without swelling or conductivity loss).101
Apart from changing the mechanical properties, adhesion characteristics, and hydrophilicity, copolymerization with polar vinyl monomers endows iPP with conceptually new properties. For example, copolymers with C062 possessed blue luminescence, with the absorption (excitation, λex) and fluorescence (λem) maxima being at 340 nm and 468 – 494 nm, respectively, while an increase in the C062 content in the copolymer induced a red shift of λem.195 Luminescence properties were also inherent in the copolymer with C156 containing a carbazole moiety, which proved the formation of carbazole associates and created conditions for UV-initiated oxidative cross-linking.199
In conclusion of the Section, mention should be made of polymer materials with mechanical characteristics superior to those of polyolefins (Table 27) that are prepared using two-component catalysts and the comonomer [CH2=CH(CH2)8CO2]2AlCl.213 The higher impact strength of these materials, as well as the presence of polar comonomers in the macromolecules, allows these copolymers to be considered as a promising base for composites with inorganic fillers and glass fiber.
4. Copolymers of 1-butene and higher α-olefins with polar vinyl monomers
4.1. Synthesis and properties of homopolymers of polar vinyl monomers
The synthesis of homopolymers of functional α-olefins is addressed in a relatively small number of papers. The first isotactic homopolymers of CH2=CH(CH2)nNR2 (n = 2, 3, 5, 9; R = Me, Et, Pri) and CH2=CH(CH2)nOSiMe3 (n = 3, 9) were synthesized using TiCl3/R3Al catalyst back in 1967.227 Poly(penten-4-ol) and poly(10-undecenol) obtained by hydrolysis of silyl ethers had Tm = 300°C (dec.) and 134°C, respectively. The homopolymer of C020-AliBuCl was obtained in the late 1980s using TiCl3/Bui2AlCl.228, 229 In early studies, monomers with latent reactivity resulting from the reaction of non-conjugated dienes with 1 equiv. of 9-borabicyclononane (9-BBN), C178 – C180, were also used (TiCl3/Et2AlCl catalyst).230 The oxidation of homopolymer C180 afforded poly(octen-1-ol) characterized by high thermal stability (Tm = 110°C, 3% mass loss at 300°C). The homopolymer of C020 prepared using the TiCl3/R2AlCl catalyst was hydrolyzed to polycarboxylic acid, which was treated with N,N'-carbonyl-bis-imidazole to give reactive imidaziolides,231 which were allowed to react with phenols and aromatic amines.232
The homopolymerization of C046, C029, and diene polar monomer C158 (Scheme 21) catalyzed by Zr03/NBF and Zr25'/NBF was studied in 1992.233 In the last-mentioned case, cyclopolymerization took place to give low-molecular-weight products; a polymer with Mn = 46 kDa and ÐM = 3.1 was obtained using Hf06/NBF (Scheme 22). The TON values for Zr03/NBF were from 80 (C046) to 280 (C158).233
The Zr03/NBF catalyst was also studied in the homopolymerization of ω-alkenamines C169, C101, C046, and C170; The highest polymerization rate was observed for sterically hindered monomer C046.234 Homopolymerization of C046 was performed using catalysts based on complexes Zr04', Zr21', Zr25', Zr22, and Zr23'; the last-mentioned catalyst provided isotacticity mmmm = 99.1%. The resulting homopolymers of C046 had Tm = 85 – 115°C.234 In a recent theoretical study,235 the high activity of monomer C046 was attributed to the absence of Zr∙∙∙NPri2 coordination at the catalytic site, whereas the Zr∙∙∙NMe2 coordination is preferred over the Zr coordination to the C=C bond (ΔG = 3.8 kcal mol–1). It was shown in the same study that polymerization of CH2=CHCH2X (X = OR, NR2 , etc.) is, in principle, possible for half-sandwich Ti(III) and Zr(III) complexes; however, this hypothesis has not yet been experimentally confirmed.
In 2010, Schulze et al.80 synthesized the homopolymer of 10-undecenol C006-AlBui2 using Ti02, Zr01, and Zr17/MAO. Catalysis by chiral Zr17/MAO resulted in the formation of homopolymers with mmmm of up to 83%, Mn of up to 28 kDa, and Tm = 119 – 126°C.236 An alternative approach to the 10-undecenol homopolymer is based on the polymerization of C035 catalyzed by post-metallocene complex Zr35/dMAO (the product had Mn = 8.3 – 20.9 kDa, mmmm > 95%) followed by treatment with [Bu4N]F.237
In a study of homopolymerization of C091, C098, and their structural analogues with longer (CH2)n sequences between the CH2=CH group and the donor heteroatom catalyzed by Sc12 – Sc15/TBF, syndiotactic homopolymers were obtained.112 The formation of syndiotactic polymers was due to intramolecular coordination of the heteroatom; the stereocontrol mechanism was investigated in detail using DFT modelling.
In 2022, Liu and Xu 238 reported the results of their study of homopolymerization of S-containing polar monomers C187 – C200 catalyzed by complexes Sc16 and Sc17. The TBF-activated complex Sc16 showed a higher performance and catalyzed the formation of syndiotactic homopolymers (for C192, rrrr = 86%).
4.2. Coordination copolymerization of 1-butene and higher α-olefins
The coordination copolymerization of 1-butene and higher α-olefins with polar vinyl monomers is addressed in a relatively small number of papers.
4-Methyl-1-pentene (4M1P) was studied in 1999 by Waymouth’s research group;239 the authors conducted copolymerization of 4M1P with C046 catalyzed by NBF-activated Zr23' and Zr03; the copolymerization constants r1 and r2 were 1 and 3, respectively (Zr23') and 0.5 and 5, respectively (Zr03). The Zr23'/NBF-catalyzed copolymerization of 1-hexene with C046 was characterized by r1 = 0.9 and r2 = 1.1, i.e., a highly random copolymer was formed.239 Complex Zr23' catalyzed the formation of the isotactic copolymer. It is of certain interest to compare the properties of homopolymers of 4M1P and C046 with the properties of copolymers. The introduction of NiPr2 polar groups into the side chain substantially increased the thermal stability of the polymer. The methanol solubility of the copolymer containing 4M1P (2.5%) as the hydrochloride is of certain interest.
In 2009, Lohse and co-workers 79 studied Hf07/NBF-catalyzed copolymerization of 1-tetradecene and 1-octene with 10-undecen-1-ol C006-AlOctn2 and silyl ether C173 containing the bulky SiMe2tBu substituent. The authors were unable to obtain copolymers with C006-AlOctn2. In the case of C173, random copolymers with a polar comonomer content of up to 23 mol.% were formed; the reaction products contained both OSiMe2But and OH groups. The Zr01/МАО-catalyzed (104 equiv.) copolymerization of 1-hexene with C004-AlEt2 afforded a product containing 3.1 mol.% comonomer.240
To increase the thermo- and photo-oxidative stability of isotactic poly(1-butene), a study of the copolymerization of 1-butene with eugenol C160-AlBui2 catalyzed by a Bui3Al-activated titanium-magnesium catalysts was undertaken in 2020.241 The resulting copolymers contained 0.19 – 0.62 mol.% comonomer and had an isotactic index of 91.8 – 94.3%. The 1-butene copolymerization with pentafluorophenyl 10-undecenoate C160-AlEt2 resulted in the formation of copolymers with 0.03 – 0.59 mol.% comonomer and isotactic index of 77.6 – 92%.242 These copolymers were converted to polymers containing methoxylated poly(ethylene glycol) moieties mPEG350, mPEG500, mPEG750, and mPEG2000.
Post-metallocene complexes Hf04, Hf08 – Hf10 activated by TBF effectively catalyzed copolymerization of 4-methyl-1-pentene, 1-hexene, or 1-octene with sterically hindered ether C151 in the absence of masking reagents (Table 28).243 The copolymerization products had higher Mn values compared to the corresponding homopolymers of α-olefins. Jian and co-workers 243 attributed this fact to suppression of β-hydride transfer by interaction of the catalytic sites with the oxygen atom of C151.
Relatively recent publications address Hf04/TBF-catalyzed copolymerization of 1-butene with 11-iodo-1-undecene C083 (Ref. 244) and 6-iodo-1-hexene C113.245 The copolymer of 1-butene with C083 (1.24 mol.%) was treated with N-methylimidazole to give the corresponding ionomers with the BF4−, Tf2N−, or PF6− counter-ions.244 Copolymers with C113 (0.38 and 1.31 mol.%) were converted to polymers containing side-chain SCH2CH(OH)CH2OH groups.245
Ansa-zirconocenes Zr07’ and Zr22' activated by TBF catalyzed the copolymerization of 1-hexene and ether C159 in the absence of masking reagents, while Zr1'/TBF and Zr35/TBF proved to be inactive.207 In the case of Hf04/TBF, Mn increased from 179.1 kDa [poly(1-hexene)] to 1119.2 kDa (copolymer containing 10 mol.% C159), while the activity decreased twofold.207
In 2023, Zhang et al.168 used Ti64/MAO to synthesize the terpolymer of ethylene, 1-hexene (14.7 – 21.2 mol.%), and 5-iodomethyl-2-norbornene C149 (3.6 – 7.4 mol.%), which was converted to ionomers with MsO−, TfO–, and Tf2N− counter-ions by treatment with N-methylimidazole followed by ion exchange.168
In 2024, Nifant’ev and co-workers 246 carried out copolymerization of 1-hexene with polar olefins in the presence of ansa-complexes Zr43 – Zr45, representatives of so-called ‘heterocenes’,247 sandwich complexes with η5-ligands containing a fused electron-donating heterocyclic moiety (thiophene, pyrrole, indole). 10-Undecenoic acid derivatives C006 and C162 (pretreated with Bui3Al) and C034 and C066 were used in the copolymerization without masking reagents. The precatalysts were activated in two steps (successive treatment with 20 equiv. of Bui3Al and 20 equiv. of modified methylaluminoxane ММАО-12. The best results were obtained for C006-AlBui2 and precatalyst Zr43; the highly random isotactic copolymers with comonomer content of up to 32.2 mol.% were obtained.
The copolymer of 8-bromo-1-octene (C081) and 4-methylpentene was obtained back in 1965 using the TiCl3/OAC catalyst.178 Copolymers of C084 and 4-methylpentene with comonomer content of 4.2 – 41.4 mol.% and Mn = 15.9 – 39.8 kDa were prepared in 2016 (TiCl3/Et2AlCl catalyst).248 Hot-pressed films were then treated with Me3N in order to modify the surface with ammonium groups (see Section 4.3.2).
In 2020, copolymers of 1-hexene with haloalkenes C078, C081, and C111 – C113 were obtained using the Sc18/TBF catalyst, the TOF of which did not exceed 100 h–1, and XM depended on the length of the (CH2)n sequence, being in the range from 0.04 mol.% (C111) to 1.22 mol.% (C114).249
Complexes Ni02 and Ni60 – Ni64 activated by 500 equiv. of Et2AlCl were studied in 2024 in the copolymerization of 1-octene with C018.250 At 25°C, complex Ni02 showed very low performance, while Ni60 – Ni64 had a moderate performance (TOF = 105 – 273 h–1, XM = 2.0 – 3.0 mol.%). In 2021, Osakada and co-workers 251 investigated copolymerization of 1-decene and comonomers derived from acrylic acid (C205) and acrolein (C206) containing no conjugated C=C bonds. Complexes Pd26 and Pd27 in the presence of Na[B(3,5-(CF3)2C6H3)4] were used as catalysts. The copolymerization proceeded at a very low rate (TOF ~ 1 h–1) and was accompanied by isomerization of the carbon skeleton to give macromolecules containing up to 50% units resulting from 1,10-insertion of 1-decene.
In recent years, homopolymerization of polar vinyl monomers has found use in the synthesis of PE and PE-based composites. In 2023, Chen and co-workers 137 proposed using the ionic cluster strategy mentioned above for the preparation of PE composites, namely, Ni13- or Ni14-catalyzed homopolymerization of the product of the reaction of C014 with Et2AlCl, (CH2=CH(CH2)8COO)2AlCl, in the presence of a filler to give heterogeneous active species and the subsequent ethylene polymerization. Depending on the type of filler (fly ash, wood flour, nanoclay, carbon nanotubes, Al2O3, TiO2), the composites formed in situ had enhanced mechanical characteristics and specific properties (microwave absorption, gas impermeability, electrical conductivity, fire resistance, etc.) compared to composites produced by extrusion. When catalyst mixtures Ni13 – Ni15 were used, the ionic cluster strategy made it possible to control the structure of the supported catalyst particles and obtain in-reactor PE mixtures with improved mechanical properties.138
4.3. Cationic co-oligomerization
Oligomers of higher α-olefins are used as bases of polyolefin motor oils and lubricants and in the production of fuel additives.252 The large-scale oligomerization processes are based on the use of electrophilic (acid) catalysis;253, 254 However, a high degree of structural homogeneity of oligomers is achieved only when metallocene catalysts are used.255 – 257 Coordination (co)oligomerization of polar vinyl monomers has not yet been studied. In recent years, only two studies dealing with the preparation of co-oligomers of α-olefins with ω-alkenols catalyzed by AlCl3 have been reported by N.Bahri-Laleh’s research group.258, 259 Co-oligomerization of 1-decene and decen-1-ol (C005) carried out for 1.5 h at 50°C gave a product with Mn = 1.85 kDa and ÐM = 1.5 (2.55 molar ratio of 1-decene and C005) and the kinematic viscosity at 40°C of 206 cSt.258 The reaction of 1-decene, 1-octene, and 1-hexene with the corresponding ω-alkenols C005, 7-octen-1-ol (C207), and C004 in the presence of AlCl3 resulted in the formation of co-oligomers containing 4 to 5 OH groups per molecule and characterized by Mn = 1.5 – 2.1 kDa, ÐM = 1.3 – 1.4, and kinematic viscosity at 40°C of 145 – 205 cSt.259
4.4. Properties of copolymers of higher α-olefins and prospects of their practical application
Isotactic poly(1-butene) has a unique set of mechanical properties and is widely used to manufacture high-pressure tanks, pipes, and food packaging.260 Copolymerization of 1-butene with polar monomers could probably expand the range of characteristics of this material; however, the results of studies along this this line are reported only in few publications. It was shown 241 that copolymers of 1-butene and eugenol have higher thermo-oxidative stability; however, the introduction of a polar comonomer even in minor amounts markedly decreases the crystallinity of the polymer and hampers the phase transition of the tetragonal form II to hexagonal form I, which may considerably complicate the extrusion and die casting of the products.261 The opposite effect was observed for poly(1-butenes) containing methylated poly(ethylene glycol) (mPEG) moieties: for these copolymers, the II → I phase transition was facilitated compared to that in the homopolymer,242 which may enable the future use of these copolymers as components accelerating the phase transition during molding.
The positively charged N-methylimidazolium moieties with the BF4−, Tf2N−, or PF6− counter-ions in poly(1-butene) ionomers also had a beneficial effect on the dynamics of the II → I phase transition.244 The presence of hydroxyl groups in the copolymer prepared from 1-butene with C113 facilitated the II → I phase transition, but this was observed when the comonomer content reached ~ 1.3 mol.%.245 As regards the practical use of 1-butene copolymers with polar monomers, it is fundamentally important that in the presence of polar groups, this phase transition can be accomplished at elevated temperature. However, the Hf04/TBF catalytic system did not provide a high isotactic index of the (co)polymers, and a relevant area of further studies of functional polybutenes is to look for catalysts that give rise to copolymers with isotactic index of 98% and more.
Li and co-workers 248 reported the results of studying films based on Me3N-quaternized copolymers of 11-bromo-1-undecene (C084) and 4-methylpentene as anion conductive membranes. In comparison with membranes based on polypropylene ionomers,181 the reported materials had a higher hydroxide conductivity, but were markedly inferior to iPP-based products in the mechanical characteristics; however, these studies were not further developed.
The mechanical properties of copolymers of higher linear α-olefins with polar vinyl monomers have been little studied due to the amorphous nature of these copolymers. Karimi and co-workers 240 assumed that copolymers of 1-hexene with C004 could find use for modification of the polyolefin surface and as adhesives; however, no further studies along this line were undertaken. The results of studies of α-olefin copolymerization with sterically hindered unsaturated ethers C151 (Ref. 243) and C159,207 resulting in the formation of ultrahigh- molecular-weight copolymers, may be of certain practical interest. Copolymers of this type may be used as polyolefin drug reducing agents and viscosity reducing additives for the pipeline transportation of hydrocarbons.
Nifant’ev and co-workers 246 studied the dependence of Tg of the copolymers of 1-hexene and C006 on the percentage of comonomers and the adhesive properties of the resulting materials. The Tg value was found to follow a linear dependence on the weight content of C006 according to the Fox equation, which allowed Tg of the homopolymer of C006 to be estimated as –3.5°С. Meanwhile, previously, it was shown that homopolymer C006 does not have a Tg.236 Examination of the adhesive properties of the copolymers of 1-hexene and C006 revealed high copolymer adhesion to a steel surface, but insufficiently high toughness.246
Co-oligomers of 1-decene and C005 (~ 6 OH groups per molecule) were post-modified by treatment with CH2=CHCOCl and cross-linked on exposure to visible light.258 The resulting films demonstrated high biocompatibility with L929 fibroblast cells.
The functional co-oligomers of α-olefins and ω-alkenols with various chain lengths prepared in a similar way also exhibited high biocompatibility. The functional co-oligomer of 1-hexene and hexen-1-ol was used to fabricate a composite with halloysite characterized by higher surface hydrophilicity and biocompatibility and a lower tendency for swelling compared to the poly(1-hexene)-based material.259
5. Conclusion
Fig. 8 shows a diagram that reflects the number of publications devoted to the top 7 polar monomers.
Lead comonomers are polar α-olefins of natural origin, that is, 10-undecen-1-ol C006, 10-undecenoic acid C014, and methyl 10-undecenoate C018; the fourth most advanced compound is 9-decen-1-ol C005. This fact can be attributed not only to the advantage of presence of a long hydrocarbon chain between the C=C bond and the polar group, but also to the ready availability of 10-undecenoic acid, which is obtained from renewable raw materials, namely castor oil.262 The number of publications devoted to the copolymerization of 9-decen-1-ol C005 is much lower, but in view of the progress in the development of effective catalysts for the cross-metathesis of methyl oleate,263 – 265 9-decenoic acid derivatives may find wide application in the synthesis of functional polyolefins even in the near future. 10-Hexen-1-ol C004 is in the fifth place in the list shown in Fig. 8. The use of ω-halogen-substituted α-olefins (sixth and seventh places) as comonomers seems promising at the first glance, as the post-functionalization of the corresponding copolymers may give materials with advantageous characteristics. However, the very idea of using these copolymers does not comply with the green chemistry principles, post-modification of polymers in solution is hardly applicable in the industrial production of polyolefins, and, hence, this research area is rather of theoretical interest.
A structural feature of lead polar comonomers C004 – C006, C014, and C018 is the presence of the acidic OH group, which can react with cationic catalytic sites formed by Group 4 metal complexes. In order to avoid these reactions, polar comonomers are treated with OAC (see Scheme 3). Scandium complexes have been barely studied in the copolymerization of ethylene with C004 – C006, C014, and C018. Vanadium complexes are inferior in activity to catalysts based on Group 4 metal complexes, but they do not require the use of expensive cocatalysts, МАО and perfluoroalkylborates, with Et2AlCl being a universal masking and activating reagent for these complexes.121, 125 Ni and Pd complexes proved to have low activity in the copolymerization of ethylene and C004 – C006, C014, and C018. Only Group 4 metal complexes can provide a high degree of isotacticity in the copolymerization of propylene and higher α-olefins with polar monomers.
Fig. 9 presents the structural formulas of some precatalysts that demonstrated high activity (> 104 kg mol–1 h–1) in the copolymerization of ethylene (Fig. 9a), propylene, and higher α-olefins (Fig. 9b) with comonomers C004 – C006, C014, and C018. Except for synthetically available complexes V25 – V29, the complexes depicted in Fig. 9 are metallocene and post-metallocene precatalysts for (со)polymerization of ethylene, propylene, and 1-butene developed in the 1990s. According to our estimate, precatalysts Ti01 – Ti64, Zr01 – Zr45, and Hf01 – Hf10 tested in the copolymerization of polar monomers that we mentioned in this review represent only a minor portion (at best, a few percent) of the total number of Group 4 metal complexes studied in the (со)polymerization of ethylene, propylene, and higher olefins. The elaboration of these catalysts remains relevant, and, in our opinion, the key trends in the development of metallocene catalysts can be extrapolated to the copolymerization of olefins with polar comonomers.
Presumably, to provide high performance of catalysts towards OAC-treated comonomers C004 – C006, C014, C018, and their analogues, it is important that precatalysts be capable of forming active species upon activation with small amounts of МАО. This implies enhanced stability of catalytic sites and their ability to coordinate and incorporate ethylene, propylene, and higher α-olefins at comparable rates. One way to address this problem is the introduction of electron-donating groups into the corresponding η5-ligand molecules: this approach was implemented in relation to complexes Zr46 and Zr47 for the synthesis of polypropylene elastomers,266, 267 heterocenes for the synthesis of ethylene and 1-octene copolymers 268 and poly(1-octene),269 complex Zr43 for the synthesis of copolymers of α-olefins with non-conjugated dienes,270 and complexes Ti65 – Ti67 for the (со)polymerization of ethylene.271 This assumption is also confirmed by heterocene Zr43 used in the copolymerization of 1-hexene 246 and 1-butene 272 with C006-AlBu2i. In our opinion, further study of metallocenes with donor η5-ligands is a promising trend for the design of effective catalysts for the copolymerization of ethylene and α-olefins with readily available polar vinyl monomers.
Functional polyolefins can find use as compatibilizers of polymer composites. In some cases, the introduction of small amounts of polar comonomers provided a qualitative improvement of the mechanical characteristics of polyolefins, an increase in the thermo-oxidative stability, and an increase in surface hydrophilicity. The use of polar polyolefins as adhesives also appears promising. Meanwhile, large-scale implementation of functional polyolefins requires further development of supported single-site catalysts for copolymerization that could be implemented at existing PE and PP production plants.
In our opinion, an attractive arrangement for the production and application of functional polyolefins, first of all, from the practical standpoint, is to use relatively small amounts (0.2 – 1%) of available polar monomers (including those obtained from renewable raw materials) in the copolymerization of ethylene, propylene, and 1-butene catalyzed by single-site catalysts, Group 4 metal derivatives (including prospective ones that have not been previously studied in the copolymerization of polar monomers, see Fig. 9c, and their analogues). Ziegler – Natta catalysts can also be effective in the production of polyolefins for construction purposes, which was confirmed by recent research.213
Funding
This study was supported by the Russian Science Foundation, No 21-73-30010P.
Conflict of interest
The authors declare that there are no conflicts of interest to declare in this paper.
6. List of abbreviations and symbols
ÐM — polydisperity, Mw and Mn ratio,
ΔHm — melting enthaply,
ε — relative elongation at break,
Mn — number-average molecular weight,
Mw — weight-average molecular weight,
mmmm — isotactic index of polyolefin, content of isotactic pentads,
rrrr — syndiotactic index of polyolefin, content of syndiotactic pentads,
Tg — glass transition temperature,
Tm — melting point,
XС — degree of crystallinity,
XM — comonomer incorporation ratio,
σt — tensile strength,
BF — B(C6F5)3,
BHT — 2,5-di-tert-butyl-4-methylphenol,
DFT — density functional theory,
DIBP — diisobutyl phthalate,
ETA — ethyl trichloroacetate CCl3COOEt,
Hal — halogen,
iPP — isotactic polypropylene,
LLDPE — linear low-density polyethylene;
МАО — methylaluminoxane,
ММАО — modified methylaluminoxane,
МСМ-41 — mesoporous silica gel with cylindrical oriented pores,
4M1P — 4-methylpent-1-ene,
mPEG — methoxylated poly(ethylene glycol),
NBF — [PhNMe2H][B(C6F5)4],
OAC — organoaluminum compound,
PE — polyethylene,
PP — polypropylene,
SSA — successive self-nucleation and annealing,
TBF — [Ph3C][B(C6F5)4],
UHMWPE — ultra-high molecular weight polyethylene,
ZNC — Zigler – Natta catalyst.
References
































![Copolymerization of ethylene with bicyclo[2.2.1]hept-5-ene-2-methanol: A facile route to hydroxyl functional poly(ethylene)s](/storage/images/resized/bRyGpdm98BkAUYiK1YFNpl5Z7hPu6Gd87gbIeuG3_small_thumb.webp)












![Copolymerization of Ethylene with Functionalized Olefins by [ONX] Titanium Complexes](/storage/images/resized/iLiQsFqFaSEx6chlGQ5fbAwF6VYU3WWa08hkss0g_small_thumb.webp)




![Alternating Copolymerization of Ethylene and 5-Hexen-1-ol with [Ethylene(1-indenyl)(9-fluorenyl)]-zirconium Dichloride/Methylaluminoxane as the Catalyst](/storage/images/resized/bRyGpdm98BkAUYiK1YFNpl5Z7hPu6Gd87gbIeuG3_small_thumb.webp)
![Ethylene (co-)polymerization by long-lifetime half-sandwich zirconium catalyst bearing a [SSO]-carborane ligand](/storage/images/resized/voXLqlsvTwv5p3iMQ8Dhs95nqB4AXOG7Taj7G4ra_small_thumb.webp)












![[O−NSR]TiCl3-Catalyzed Copolymerization of Ethylene with Functionalized Olefins](/storage/images/resized/bRyGpdm98BkAUYiK1YFNpl5Z7hPu6Gd87gbIeuG3_small_thumb.webp)







![Copolymerization of Ethylene with iPr3Si-Protected 5-Hexen-1-ol with an [OSSO]-Type Bis(phenolato) Dichloro Zirconium(IV) Complex](/storage/images/resized/yNSijlgQghQF53VZuyFLA30CKDe4j3HK74Vtpnxa_small_thumb.webp)
![Ethylene/Polar Monomer Copolymerization by [N, P] Ti Complexes: Polar Copolymers with Ultrahigh-Molecular Weight](/storage/images/resized/iLiQsFqFaSEx6chlGQ5fbAwF6VYU3WWa08hkss0g_small_thumb.webp)











































![Novel vanadium(III) complexes with tridentate phenoxy‐phosphine [O,P(O),O] ligands: Synthesis, characterization, and catalytic behavior of ethylene polymerization and copolymerization with 10‐undecen‐1‐ol](/storage/images/resized/bRyGpdm98BkAUYiK1YFNpl5Z7hPu6Gd87gbIeuG3_small_thumb.webp)
![Copolymerizations of ethylene with α-olefin-ω-ols by highly active vanadium(III) catalysts bearing [N,O] bidentate chelated ligands](/storage/images/resized/GDnYOu1UpMMfMMRV6Aqle4H0YLLsraeD9IP9qScG_small_thumb.webp)




























































![Polar Activation in Copolymerization of Propylene and 6-tert-Butyl-[2-(1,1-dimethylhept-6-enyl)]-4-methylphenol over a Racemic [1,1'-(Dimethylsilylene)bis(.eta.5-4,5,6,7-tetrahydro-1- indenyl)]zirconium Dichloride/Methylalumoxane Catalyst System](/storage/images/resized/iLiQsFqFaSEx6chlGQ5fbAwF6VYU3WWa08hkss0g_small_thumb.webp)



![Synthesis of Various Functional Propylene Copolymers Usingrac-Et[1-Ind]2ZrCl2/MAO as the Catalyst System](/storage/images/resized/bRyGpdm98BkAUYiK1YFNpl5Z7hPu6Gd87gbIeuG3_small_thumb.webp)















![Propene Polymerization with Stereospecific Metallocene Dichloride−[Ph3C][B(C6F5)4] Using ω-Alkenylaluminum as an Alkylation Reagent and as a Functional Comonomer](/storage/images/resized/iLiQsFqFaSEx6chlGQ5fbAwF6VYU3WWa08hkss0g_small_thumb.webp)


